Antimony selenosulfide (Sb2(S,Se)3) is a promising photovoltaic absorber material for both outdoor and indoor application scenarios. Nevertheless, the performance of Sb2(S,Se)3 solar cells remains constrained by the severe interface trap-induced nonradiative recombination. Interface engineering has been recognized as an effective approach to suppress recombination and boost charge transport. In this work, we introduce an organic modifier (O-BDT) between Sb2(S,Se)3 absorber and hole transport layer. The theoretical and experimental results evidence that O-BDT can simultaneously passivates interface defects and optimizes the energy-level alignment, leading to a significantly reduced voltage loss. Finally, the O-BDT modified solar cell achieves a power conversion efficiency (PCE) of 8.01% under AM 1.5G illumination. Moreover, the device delivers a PCE of 19.04% under 1000 lux, 3312 K LED lighting, among the best list of IPVs based on antimony chalcogenide compounds.
Just Accepted manuscripts are peer-reviewed and accepted for publication. They are posted online prior to technical editing formatting for publication and author proofing.
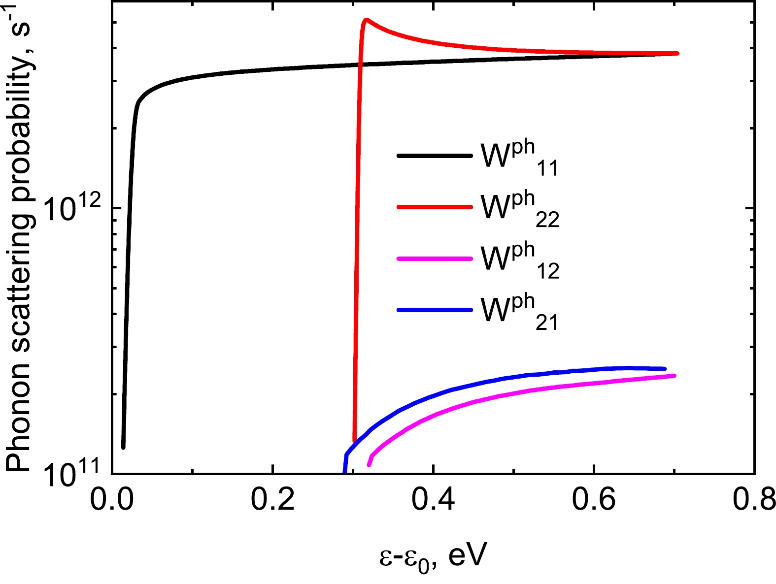
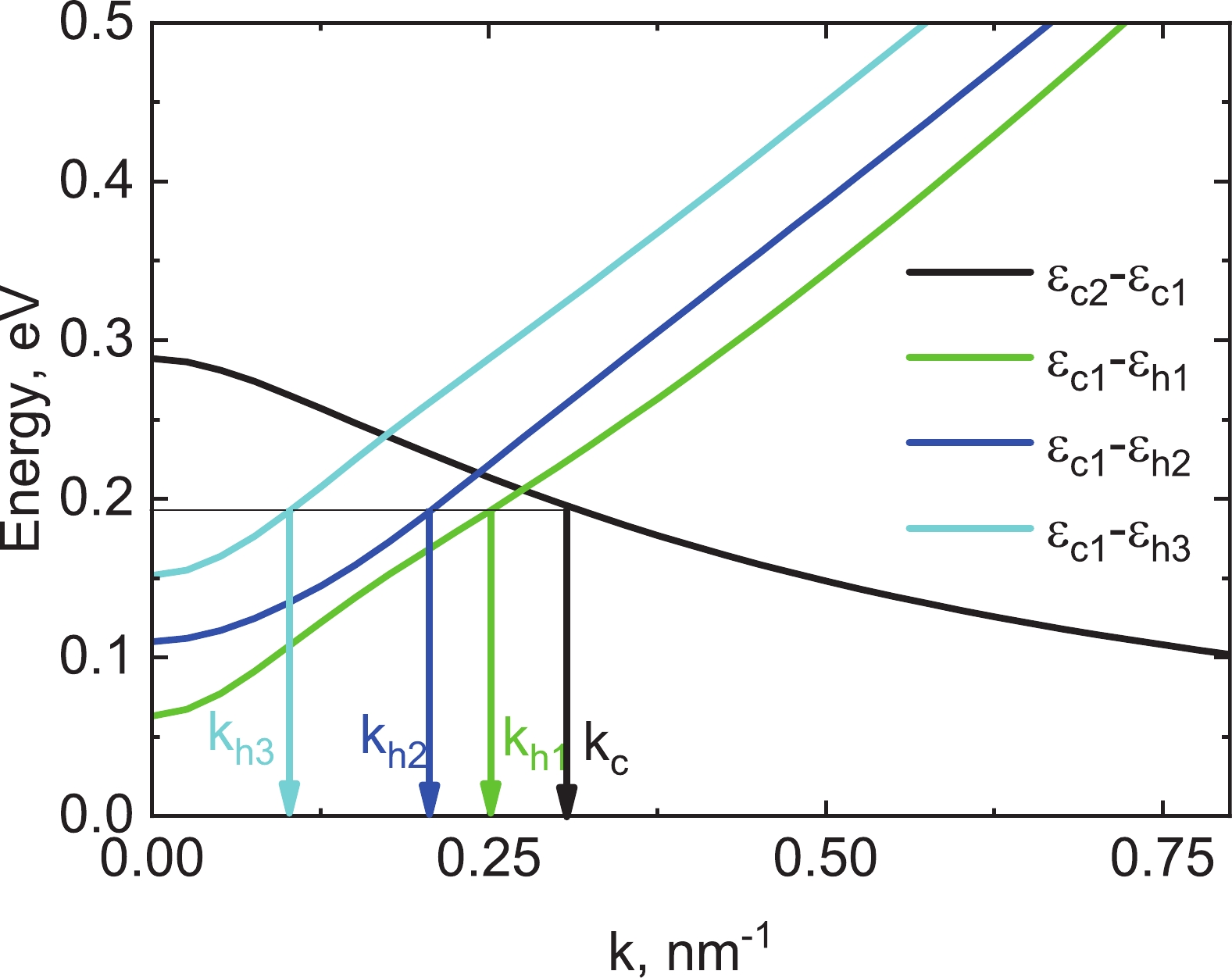
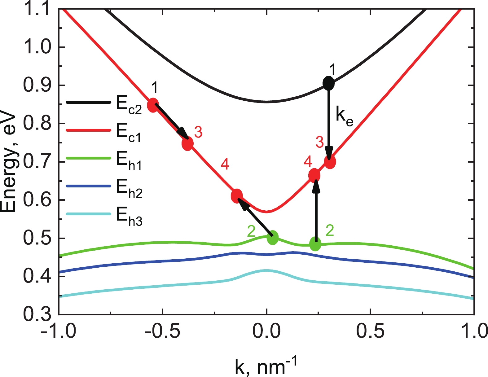
Impact ionization probabilities were calculated in a CdHgTe quantum well, where the distance between electron subbands is close to the band gap energy. This band structure enables impact ionization with small momentum transfer for electrons in the second subband. The study demonstrates that such processes increase the impact ionization probability by approximately two orders of magnitude compared to the impact ionization probability for electrons in the first subband, for which transitions with small momentum changes are impossible. The probability of single impact ionization during the electron energy loss due to optical phonon emission is estimated. Experimental methods for detecting impact ionization in this structure are discussed.
To study MEMS power detection chips more accurately, a thermo-electromechanical coupling model is proposed in this work. The fringing capacitance is included in the model, further refining the expression for the parallel-plate capacitance. Moreover, the squeeze-film damping and thermoelastic damping are considered in the second-order differential equation to study the cantilever vibration. It is found that the squeeze-film damping is the dominant damping of the system, and the cantilever beam exhibits linear expansion with increasing temperature. A dual-channel microwave detection chip is fabricated and measured, and the return loss reaches its minimum of -66.46 dB at 9 GHz, indicating optimal impedance matching at the central frequency. Moreover, the measured sensitivity is approximately 65.6 fF/W. Critically, the measured resonant frequency of the cantilever beam is 115.7 kHz, which is orders of magnitude lower than the input signal frequency. This large separation ensures that the sensor operates in a stable, non-resonant regime, thereby guaranteeing linearity and reliability. These findings demonstrate the excellent microwave performance of the power sensor fabricated in this work, providing valuable insights for optimizing the design of MEMS microwave power detection chips.
Sb2S3 has attracted increasing attention for next-generation photovoltaics due to its excellent materials and optoelectronic properties, especially a suitable bandgap (~1.75 eV) for indoor photovoltaics and silicon-based tandem solar cells. However, the highest power conversion efficiency (PCE) report thus far for Sb2S3 solar cells is 8.26%, lagging far behind its theoretical efficiency limit (~28%). This study aims to scrutinize the important roles of hole transport layers (HTLs) in near-intrinsic Sb2S3 solar cells. It is found that the device efficiencies of both of p-type Sb2S3 and n-type Sb2S3 based planar solar cells are significantly enhanced with the incorporation of Spiro-OMeTAD HTL, further confirmed by the SCAPS simulation. The specific roles of HTL on promoting the interface hole extraction in Sb2S3 solar cells are elucidated. Then the performance optimization is conducted by systematically optimizing key parameters of Sb2S3 absorbers, such as absorber thickness, defect density, and doping concentration. Furthermore, several typical inorganic HTL candidates for replacing Spiro-OMeTAD were explored for Sb2S3 solar cells, revealing that the Cu2O HTL based device exhibits a highest PCE of 23.09%. This work highlights the necessity of HTLs for devices based on near-intrinsic Sb2S3 and provides valuable insights for further enhancing the performance of Sb2S3 solar cells.
Integrating electrochromic (EC) and photochromic (PC) functions within a single material system holds great significance for the development of next-generation intelligent responsive materials. Traditional organic photochromic materials are all small molecules and oligomers, which require the photochemical response of specific photosensitive groups. However, PEDOT:PSS, a classic electrochromic polymer, has never been reported to exhibit photochromic properties due to the absence of photosensitive groups. Herein, we report for the first time the photochromic properties of PEDOT:PSS films, demonstrating their simultaneous capability of multi-field coupling response in the aspects of light, electricity and chemistry. The composite film undergoes a rapid color change from light blue to dark blue under ultraviolet light irradiation. This is attributed to the transformation process from the bipolarons state to the polarons state in the PEDOT:PSS, induced by photogenerated electrons as confirmed by EPR and Raman analyses. Furthermore, the developed hydrogel system enhances charge separation, yielding a 30.1% relative transmittance change and month-long stability. This work fills the long-standing gap in the understanding of the photochromic and electrochromic mechanisms of PEDOT:PSS, providing fundamental insights into carrier dynamics at organic-inorganic interfaces and laying the foundation for the development of multi-mode stimuli-responsive devices.


