Field-effect transistors based on ferroelectrics have attracted intensive interests, because of their non-volatile data retention, rewritability, and non-destructive read-out. In particular, polymeric materials that possess ferroelectric properties are promising for the fabrications of memory devices with high performance, low cost, and large-area manufacturing, by virtue of their good solubility, low-temperature processability, and good chemical stability. In this review, we discuss the material characteristics of ferroelectric polymers, providing an update on the current development of ferroelectric field-effect transistors (Fe-FETs) in non-volatile memory applications.
This work presents a comparative study of n-SnS and p-SnS active layers for increased solar cell efficiency. Tin sulphide thin films of various thicknesses having p-type and n-type conductivity were fabricated by thermal evaporation. Both type of films had the same (113) orientation of the crystal planes with a constant tensile strain of ~ 0.003 and ~ 0.011, respectively. The persistent photocurrent was observed in all n-SnS and p-SnS samples with the current’s time decay constant decreasing with increasing film thickness. Hole mobility of thicker p-SnS films was found to be greater than the electron mobility in n-SnS samples, with mobility (both hole and electron) showing an increasing trend with film thickness. The optimum absorber layer thickness for both p- and n-SnS layers should have a high value of diffusion length for a given absorption coefficient and band-gap.
We investigate the effect of AlN/AlGaN superlattices (SLs) on crystal and optical properties of AlGaN epitaxial layers. The result indicates that the crystal quality of AlGaN layers is consistent within a wide range of SLs thicknesses, while the optical properties are opposite. With SLs thickness decreasing from 20/44 to 17/36 and 15/29 nm, the full-width at half maximum of X-ray rocking curves for (0002)- and (
High-quality AlN layers with low-density threading dislocations are indispensable for high-efficiency deep ultraviolet light-emitting diodes (UV-LEDs). In this work, a high-temperature AlN epitaxial layer was grown on sputtered AlN layer (used as nucleation layer, SNL) by a high-yield industrial metalorganic vapor phase epitaxy (MOVPE). The full width half maximum (FWHM) of the rocking curve shows that the AlN epitaxial layer with SNL has good crystal quality. Furthermore, the relationships between the thickness of SNL and the FWHM values of (002) and (102) peaks were also studied. Finally, utilizing an SNL to enhance the quality of the epitaxial layer, deep UV-LEDs at 282 nm were successfully realized on sapphire substrate by the high-yield industrial MOVPE. The light-output power (LOP) of a deep UV-LED reaches 1.65 mW at 20 mA with external quantum efficiency of 1.87%. In addition, the saturation LOP of the deep UV-LED is 4.31 mW at an injection current of 60 mA. Hence, our studies supply a possible process to grow commercial deep UV-LEDs in high throughput industrial MOVPE, which can increase yield, at lower cost.
A series of erbium ion-doped TiO2 (Er3+-TiO2) films were prepared by a sol-gel dip/spin coating method, and the effect of the dosage of erbium ion (0–2.0 mol%), the films coating layers (1–5 layers), and calcination temperature (400–700 °C) on the film structure and photocatalytic activity were investigated in detail. The films were characterized by means of X-ray diffraction (XRD), scanning electron microscopy (SEM), thermal analysis (TG-DTG) and UV–Vis diffusive reflectance spectra (DRS). The results showed that the films were composed of anatase, and no other TiO2 phases (rutile and brookite). With the increase of the erbium ion dosage, the crystal size decreased. Erbium ion doping could enhance the thermal stability of TiO2 and inhibit the increase of the crystallite size. Meanwhile doping of erbium ions gave rise to three typical absorption peaks within the range of visible light (400–700 nm), locating at 490, 523, and 654 nm, attributed to the transition of 4f electrons. The higher calcination temperature led to higher crystallinity and bigger crystal grains. The photocatalytic performance of the films was evaluated by degradation of methyl orange solution under simulated solar light. The highest quality film we prepared was with 4 layers, 1.0 mol% dosage of erbium ion, and the calcination temperature of 500 °C. With this film, the degradation percentage of 7.8 mg/L methyl orange solution was up to 53.3% under simulated solar light after 6 h photoreaction.
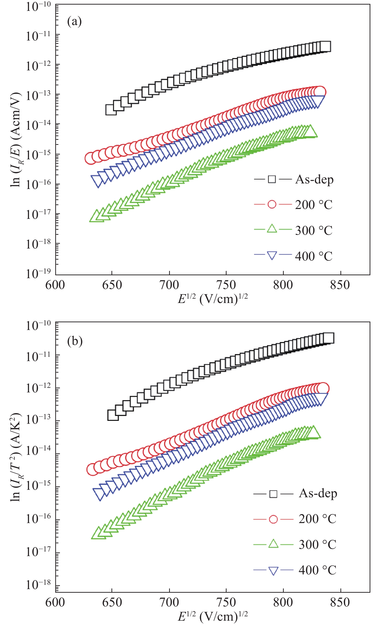
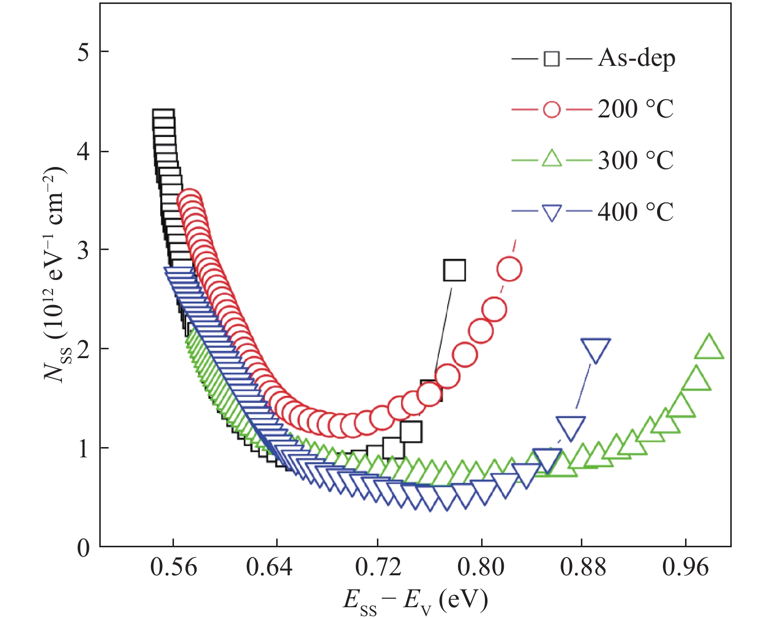
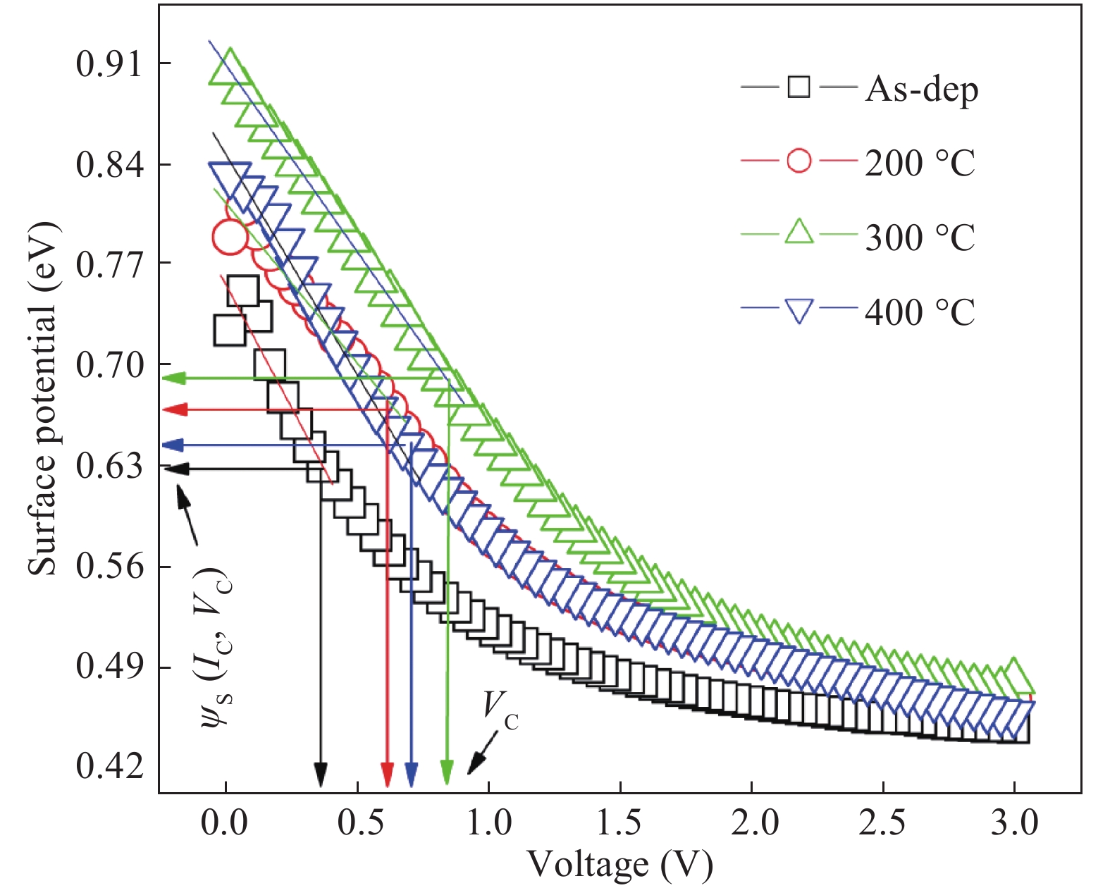
The electrical and current transport properties of rapidly annealed Dy/p-GaN SBD are probed by I–V and C–V techniques. The estimated barrier heights (BH) of as-deposited and 200 °C annealed SBDs are 0.80 eV ( I–V)/0.93 eV (C–V) and 0.87 eV (I–V)/1.03 eV (C–V). However, the BH rises to 0.99 eV (I–V)/ 1.18 eV(C–V) and then slightly deceases to 0.92 eV (I–V)/1.03 eV (C–V) after annealing at 300 °C and 400 °C. The utmost BH is attained after annealing at 300 °C and thus the optimum annealing for SBD is 300 °C. By applying Cheung’s functions, the series resistance of the SBD is estimated. The BHs estimated by I–V, Cheung’s and ΨS–V plot are closely matched; hence the techniques used here are consistency and validity. The interface state density of the as-deposited and annealed contacts are calculated and we found that the NSS decreases up to 300 °C annealing and then slightly increases after annealing at 400 °C. Analysis indicates that ohmic and space charge limited conduction mechanisms are found at low and higher voltages in forward-bias irrespective of annealing temperatures. Our experimental results demonstrate that the Poole–Frenkel emission is leading under the reverse bias of Dy/p-GaN SBD at all annealing temperatures.
A reverse biased p–n junction diode with proper resonant cavity and boundary conditions is able to generate rf power and shows normal DC and small signal properties designed with semiconductor materials like 4H-SiC, GaAs, InP, Si-based DDR IMPATT structure at Ka band with dark condition. But when it is exposed to optical illumination through a proper optical window for both top mounted (TM) and flip chip (FC) configuration, it shows the influence on the oscillator performances in that band of frequency. The simulated results are analyzed for 36 GHz window frequency in each of the diodes and relative differences are found in power output and frequency of all these diodes with variable intensities of illumination. Finally it is found that optical control has immense effect in both FC and TM mode regarding the reduction of output power and shifting of operating frequency from which optimization is done for the best optically sensitive material for IMPATT diode.
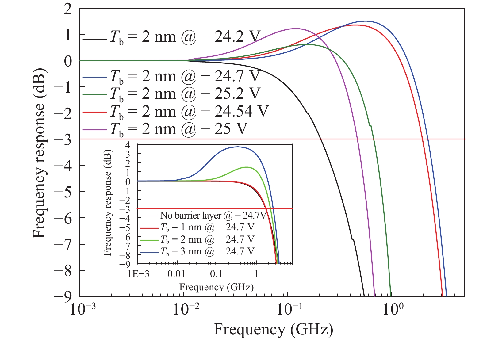
This study presents a theoretical investigation of a novel Ge/Si tunneling avalanche photodiode (TAPD) with an ultra-thin barrier layer between the absorption and p+ contact layer. A high-frequency tunneling effect is introduced into the structure of the barrier layer to increase the high-frequency response when frequency is larger than 0.1 GHz, and the ?3 dB bandwidth of the device increases evidently. The results demonstrate that the avalanche gain and ?3 dB bandwidth of the TAPD can be influenced by the thickness and bandgap of the barrier layer. When the barrier thickness is 2 nm and the bandgap is 4.5 eV, the avalanche gain loss is negligible and the gain-bandwidth product of the TAPD is 286 GHz, which is 18% higher than that of an avalanche photodiode without a barrier layer. The total noise in the TAPD was an order of magnitude smaller than that in APD without barrier layer.
SiNx/SiOx passivation and double side P-diffusion gettering treatment have been used for the fabrication of c-Si solar cells. The solar cells fabricated have high open circuit voltage and short circuit current after the double P-diffusion treatment. In addition to better surface passivation effect, SiNx/SiOx layer has lower reflectivity in long wavelength range than conventional SiNx film. As a consequence, such solar cells exhibit higher conversion efficiency and better internal quantum efficiency, compared with conventional c-Si solar cells.
The high power and low internal loss 1.06 μm InGaAs/GaAsP quantum well lasers with asymmetric waveguide structure were designed and fabricated. For a 4000 μm cavity length and 100 μm stripe width device, the maximum output power and conversion efficiency of the device are 7.13 W and 56.4%, respectively. The cavity length dependence of the threshold current density and conversion efficiency have been investigated theoretically and experimentally; the laser diode with 4000 μm cavity length shows better characteristics than that with 3000 and 4500 μm cavity length: the threshold current density is 132.5 A/cm2, the slope efficiency of 1.00 W/A and the junction temperature of 15.62 K were achieved.
A broadband thyristor laser based on InGaAs/GaAs asymmetric quantum well (AQW) is fabricated by metal organic chemical vapor deposition (MOCVD). The 3-μm-wide Fabry–Perot (FP) ridge-waveguide laser shows an S-shape I?V characteristic and exhibits a flat-topped broadband optical spectrum coverage of ~27 nm (Δ?10 dB) at a center wavelength of ~1090 nm with a total output power of 137 mW under pulsed operation. The AQW structure was carefully designed to establish multiple energy states within, in order to broaden the gain spectrum. An obvious blue shift emission, which is not generally acquired in QW laser diodes, is observed in the broadening process of the optical spectrum as the injection current increases. This blue shift spectrum broadening is considered to result from the prominent band-filling effect enhanced by the multiple energy states of the AQW structure, as well as the optical feedback effect contributed by the thyristor laser structure.
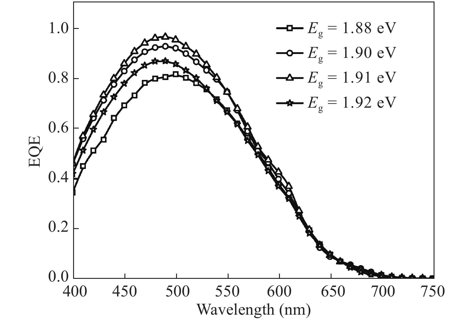
The impact of the optical band gap (Eg) of a p-type hydrogenated nanocrystalline silicon layer on the short-circuit current density (Jsc) of a thin-film silicon solar cell is assessed. We have found that the Jsc reaches maximum when the Eg reaches optimum. The reason for the Jsc on Eg needs to be clarified. Our results exhibit that maximum Jsc is the balance between dark current and photocurrent. We show here that this dark current results from the density of defects in the p-layer and the barrier at the interface between p- and i-layers. An optimum cell can be designed by optimizing the p-layer via reducing the density of defects in the p-layer and the barrier at the p/i interface. Finally, a 6.6% increase in Jsc was obtained at optimum Eg for n–i–p solar cells.
The concept of the memristor was proposed by Leon Chua in 1971, along with some electro-magnetic interpretations according to quasi-static expansion of Maxwell’s equations. In 2003, Chua included the memristor into a four-element torus that has infinite circuit elements. This paper uses the quasi-static method to interpret every circuit element in the torus. Two examples are also provided to show how topologic structure of an element affects its electrical properties by affecting the dominant electro-magnetic field components. Additionally, it is proved that the circuit elements in the torus, except the resistive, capacitive and inductive elements, cannot exist independently. Moreover, the incorrectness in Chua’s interpretation of the memristor, that the memristor cannot be interpreted with the transient quasi-static method due to its memory property, is pointed out. Finally, the limitations of the electro-magnetic interpretation method are discussed.
We demonstrate an optical filter based on multistage second-order microring resonators (MRs) with box-like spectral responses. Compared with single-stage high-order optical filters with the same number of MRs, the demonstrated structure has comparable performances in the aspects of passband flatness, rolling-off slope and insertion loss. Moreover, the architecture relaxes the fabrication tolerance, electrical wiring and tuning difficulty since there are only two MRs in each stage. We experimentally demonstrate this kind of optical filter with five stages, which shows a 3-dB bandwidth of ~17 GHz, a rolling-off slope of ~5 dB/GHz and an on-chip insertion loss of ~6 dB.
An improved single-π equivalent circuit model for on-chip inductors in the GaAs process is presented in this paper. Considering high order parasites, the model is established by comprising an improved skin effect branch and a substrate lateral coupling branch. The parameter extraction is based on an improved characteristic function approach and vector fitting method. The model has better simulation than the previous work over the measured data of 2.5r and 4.5r on-chip inductors in the GaAs process.
This work presents a reconfigurable mixed-signal system-on-chip (SoC), which integrates switched-capacitor-based field programmable analog arrays (FPAA), analog-to-digital converter (ADC), digital-to-analog converter, digital down converter , digital up converter, 32-bit reduced instruction-set computer central processing unit (CPU) and other digital IPs on a single chip with 0.18 μm CMOS technology. The FPAA intellectual property could be reconfigured as different function circuits, such as gain amplifier, divider, sine generator, and so on. This single-chip integrated mixed-signal system is a complete modern signal processing system, occupying a die area of 7 × 8 mm 2 and consuming 719 mW with a clock frequency of 150 MHz for CPU and 200 MHz for ADC/DAC. This SoC chip can help customers to shorten design cycles, save board area, reduce the system power consumption and depress the system integration risk, which would afford a big prospect of application for wireless communication.
The paper reports the fabrication and characterization of a novel Au/PVP/ZnO/Si/Al semiconductor heterojunction (HJ) diode. Both inorganic n type ZnO and organic polyvinyl pyrrolidone (PVP) layers have grown by sol–gel spin-coating route at 2000 rpm. The front and back metallic contacts are thermally evaporated in a vacuum at pressure of 10-6 Torr having a diameter of 1.5 mm and a thickness of 250 nm. The detailed analysis of the forward and reverse bias current-voltage characteristics has been provided. Consequently, many electronic parameters, such as ideality factor, rectification coefficient, carrier concentration, series resistance, are then extracted. Based upon our results a non-ideal diode behavior is revealed and ideality factor exceeds the unity (n > 4). A high rectifying (~4.6 × 10 4) device is demonstrated. According to Cheung-Cheung and Norde calculation models, the barrier height and series resitance are respectively of 0.57 eV and 30 kΩ. Ohmic and space charge limited current (SCLC) conduction mechanisms are demonstrated. Such devices will find applications as solar cell, photodiode and photoconductor.
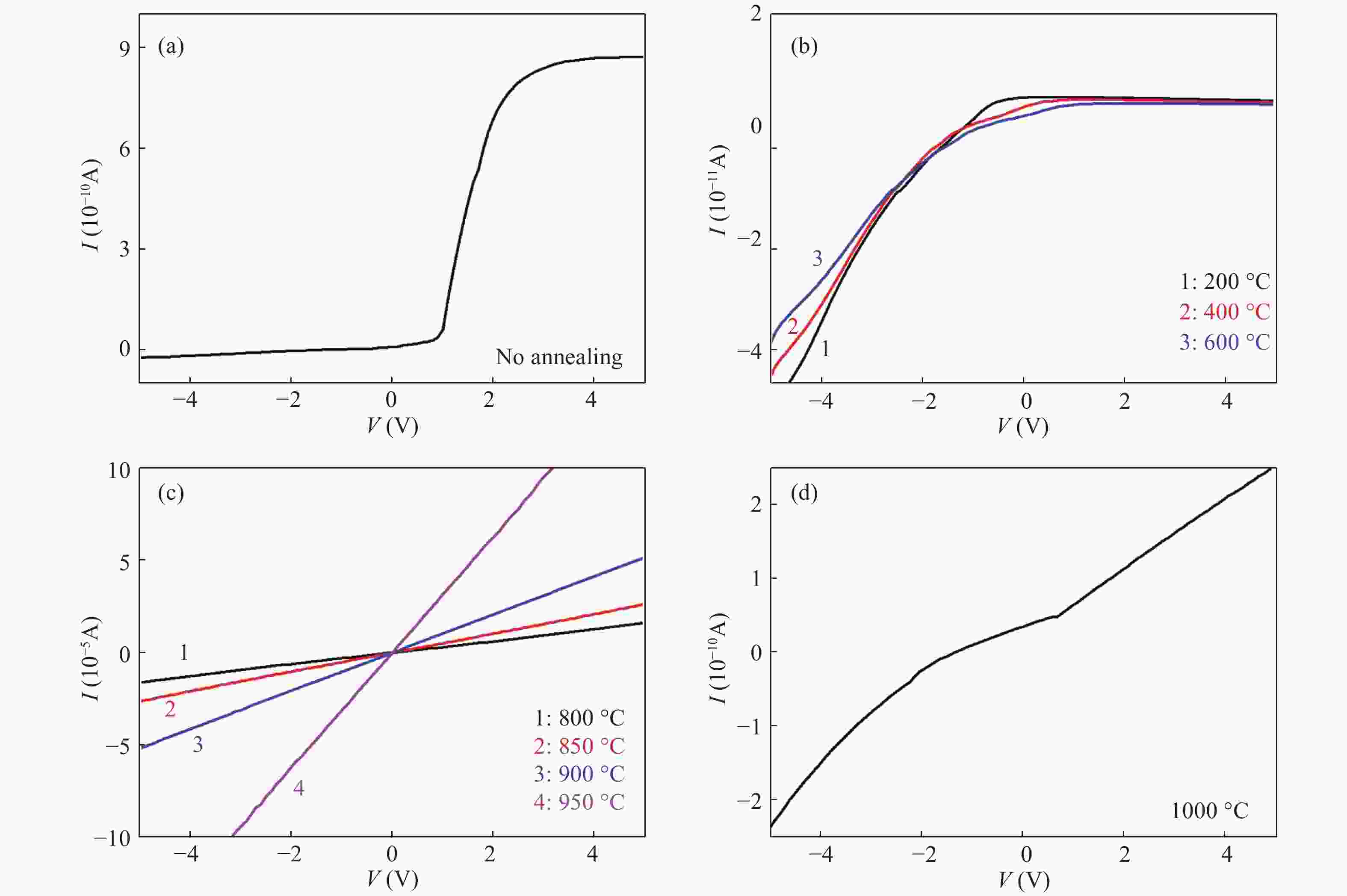
The Ti/Al/Ni/Au metals were deposited on undoped AlN films by electron beam evaporation. The influence of annealing temperature on the properties of contacts was investigated. When the annealing temperatures were between 800 and 950 °C, the AlN–Ti/Al/Ni/Au contacts became ohmic contacts and the resistance decreased with the increase of annealing temperature. A lowest specific contacts resistance of 0.379 Ω·cm 2 was obtained for the sample annealed at 950 °C. In this work, we confirmed that the formation mechanism of ohmic contacts on AlN was due to the formation of Al–Au, Au–Ti and Al–Ni alloys, and reduction of the specific contacts resistance could originate from the formation of Au 2Ti and AlAu2 alloys. This result provided a possibility for the preparation of AlN-based high-frequency, high-power devices and deep ultraviolet devices.


