Atomically thin MoSe2 layers, as a core member of the transition metal dichalcogenides (TMDs) family, benefit from their appealing properties, including tunable band gaps, high exciton binding energies, and giant oscillator strengths, thus providing an intriguing platform for optoelectronic applications of light-emitting diodes (LEDs), field-effect transistors (FETs), single-photon emitters (SPEs), and coherent light sources (CLSs). Moreover, these MoSe2 layers can realize strong excitonic emission in the near-infrared wavelengths, which can be combined with the silicon-based integration technologies and further encourage the development of the new generation technologies of on-chip optical interconnection, quantum computing, and quantum information processing. Herein, we overview the state-of-the-art applications of light-emitting devices based on two-dimensional MoSe2 layers. Firstly, we introduce recent developments in excitonic emission features from atomically thin MoSe2 and their dependences on typical physical fields. Next, we focus on the exciton-polaritons and plasmon-exciton polaritons in MoSe2 coupled to the diverse forms of optical microcavities. Then, we highlight the promising applications of LEDs, SPEs, and CLSs based on MoSe2 and their heterostructures. Finally, we summarize the challenges and opportunities for high-quality emission of MoSe2 and high-performance light-emitting devices.
Applying pressure has been evidenced as an effective method to control the properties of semiconductors, owing to its capability to modify the band configuration around Fermi energy. Correspondingly, structural evolutions under external pressures are required to analyze the mechanisms. Herein high-pressure structure of a magnetic doped semiconductor Ba(Zn0.95Mn0.05)2As2 is studied with combination of in-situ synchrotron X-ray diffractions and diamond anvil cells. The materials become ferromagnetic with Curie temperature of 105 K after further 20% K doping. The title material undergoes an isostructural phase transition at around 19 GPa. Below the transition pressure, it is remarkable to find lengthening of Zn/Mn?As bond within Zn/MnAs layers, since chemical bonds are generally shortened with applying pressures. Accompanied with the bond stretch, interlayer As?As distances become shorter and the As?As dimers form after the phase transition. With further compression, Zn/Mn?As bond becomes shortened due to the recovery of isotropic compression on the Zn/MnAs layers.
The detrimental effect of imprint, which can cause misreading problem, has hindered the application of ferroelectric HfO2. In this work, we present results of a comprehensive reliability evaluation of Hf0.5Zr0.5O2-based ferroelectric random access memory. The influence of imprint on the retention and endurance is demonstrated. Furthermore, a solution in circuity is proposed to effectively solve the misreading problem caused by imprint.
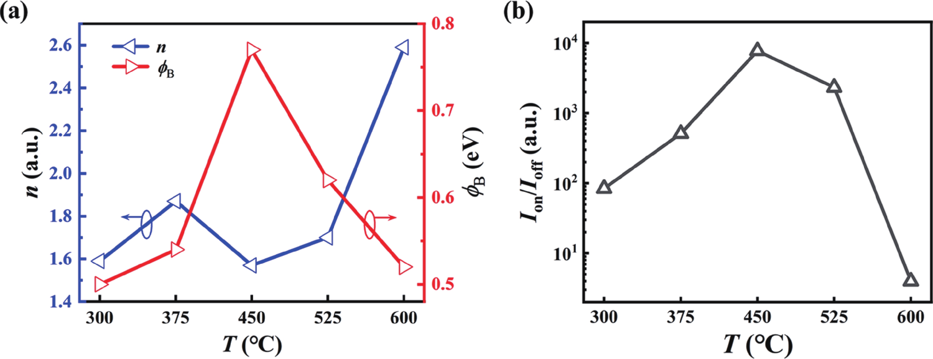
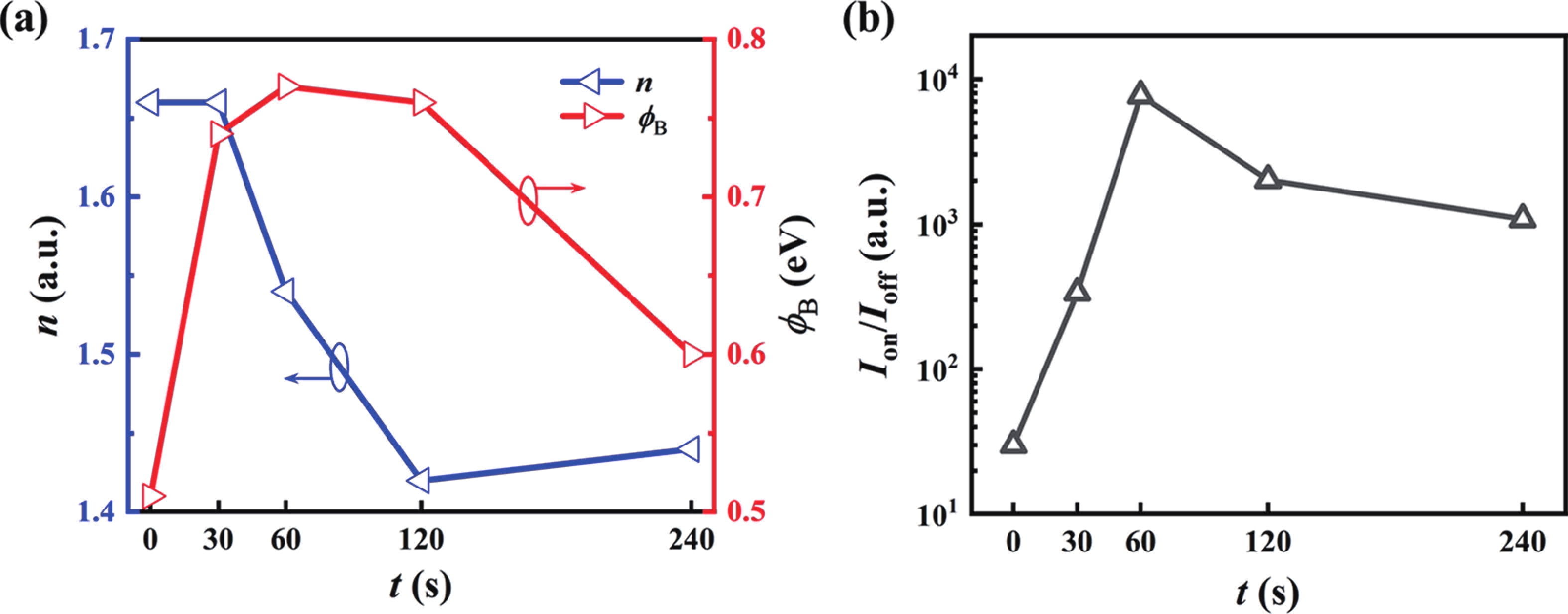
A nitrogen-polarity (N-polarity) GaN-based high electron mobility transistor (HEMT) shows great potential for high-frequency solid-state power amplifier applications because its two-dimensional electron gas (2DEG) density and mobility are minimally affected by device scaling. However, the Schottky barrier height (SBH) of N-polarity GaN is low. This leads to a large gate leakage in N-polarity GaN-based HEMTs. In this work, we investigate the effect of annealing on the electrical characteristics of N-polarity GaN-based Schottky barrier diodes (SBDs) with Ni/Au electrodes. Our results show that the annealing time and temperature have a large influence on the electrical properties of N-polarity GaN SBDs. Compared to the N-polarity SBD without annealing, the SBH and rectification ratio at ±5 V of the SBD are increased from 0.51 eV and 30 to 0.77 eV and 7700, respectively, and the ideal factor of the SBD is decreased from 1.66 to 1.54 after an optimized annealing process. Our analysis results suggest that the improvement of the electrical properties of SBDs after annealing is mainly due to the reduction of the interface state density between Schottky contact metals and N-polarity GaN and the increase of barrier height for the electron emission from the trap state at low reverse bias.
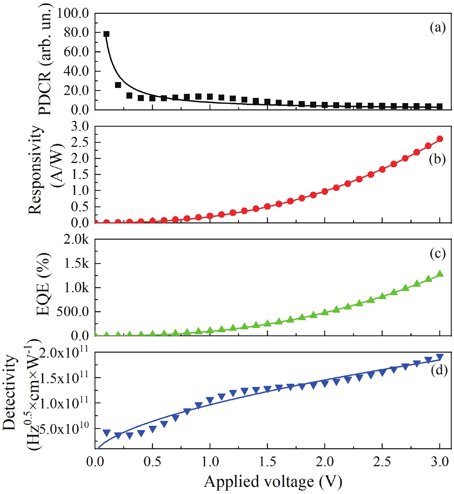
High-speed solar-blind short wavelength ultraviolet radiation detectors based on κ(ε)-Ga2O3 layers with Pt contacts were demonstrated and their properties were studied in detail. The κ(ε)-Ga2O3 layers were deposited by the halide vapor phase epitaxy on patterned GaN templates with sapphire substrates. The spectral dependencies of the photoelectric properties of structures were analyzed in the wavelength interval 200–370 nm. The maximum photo to dark current ratio, responsivity, detectivity and external quantum efficiency of structures were determined as: 180.86 arb. un., 3.57 A/W, 1.78 × 1012 Hz0.5?cm?W?1 and 2193.6%, respectively, at a wavelength of 200 nm and an applied voltage of 1 V. The enhancement of the photoresponse was caused by the decrease in the Schottky barrier at the Pt/κ(ε)?Ga2O3 interface under ultraviolet exposure. The detectors demonstrated could functionalize in self-powered mode due to built-in electric field at the Pt/κ(ε)-Ga2O3 interface. The responsivity and external quantum efficiency of the structures at a wavelength of 254 nm and zero applied voltage were 0.9 mA/W and 0.46%, respectively. The rise and decay times in self-powered mode did not exceed 100 ms.
The high critical electric field strength of Ga2O3 enables higher operating voltages and reduced switching losses in power electronic devices. Suitable Schottky metals and epitaxial films are essential for further enhancing device performance. In this work, the fabrication of vertical Ga2O3 barrier diodes with three different barrier metals was carried out on an n–-Ga2O3 homogeneous epitaxial film deposited on an n+-β-Ga2O3 substrate by metal?organic chemical vapor deposition, excluding the use of edge terminals. The ideal factor, barrier height, specific on-resistance, and breakdown voltage characteristics of all devices were investigated at room temperature. In addition, the vertical Ga2O3 barrier diodes achieve a higher breakdown voltage and exhibit a reverse leakage as low as 4.82 ×10?8 A/cm2 by constructing a NiO/Ga2O3 heterojunction. Therefore, Ga2O3 power detailed investigations into Schottky barrier metal and NiO/Ga2O3 heterojunction of Ga2O3 homogeneous epitaxial films are of great research potential in high-efficiency, high-power, and high-reliability applications.
High-quality bonding of 4-inch GaAs and Si is achieved using plasma-activated bonding technology. The influence of Ar plasma activation on surface morphology is discussed. When the annealing temperature is 300 ℃, the bonding strength reaches a maximum of 6.2 MPa. In addition, a thermal stress model for GaAs/Si wafers is established based on finite element analysis to obtain the distribution of equivalent stress and deformation variables at different temperatures. The shape variation of the wafer is directly proportional to the annealing temperature. At an annealing temperature of 400 ℃, the maximum protrusion of 4 inches GaAs/Si wafers is 3.6 mm. The interface of GaAs/Si wafers is observed to be dense and defect-free using a transmission electron microscope. The characterization of interface elements by X-ray energy dispersion spectroscopy indicates that the elements at the interface undergo mutual diffusion, which is beneficial for improving the bonding strength of the interface. There is an amorphous transition layer with a thickness of about 5 nm at the bonding interface. The preparation of Si-based GaAs heterojunctions can enrich the types of materials required for the development of integrated circuits, improve the performance of materials and devices, and promote the development of microelectronics technology.
Quantum key distribution (QKD), rooted in quantum mechanics, offers information-theoretic security. However, practical systems open security threats due to imperfections, notably bright-light blinding attacks targeting single-photon detectors. Here, we propose a concise, robust defense strategy for protecting single-photon detectors in QKD systems against blinding attacks. Our strategy uses a dual approach: detecting the bias current of the avalanche photodiode (APD) to defend against continuous-wave blinding attacks, and monitoring the avalanche amplitude to protect against pulsed blinding attacks. By integrating these two branches, the proposed solution effectively identifies and mitigates a wide range of bright light injection attempts, significantly enhancing the resilience of QKD systems against various bright-light blinding attacks. This method fortifies the safeguards of quantum communications and offers a crucial contribution to the field of quantum information security.
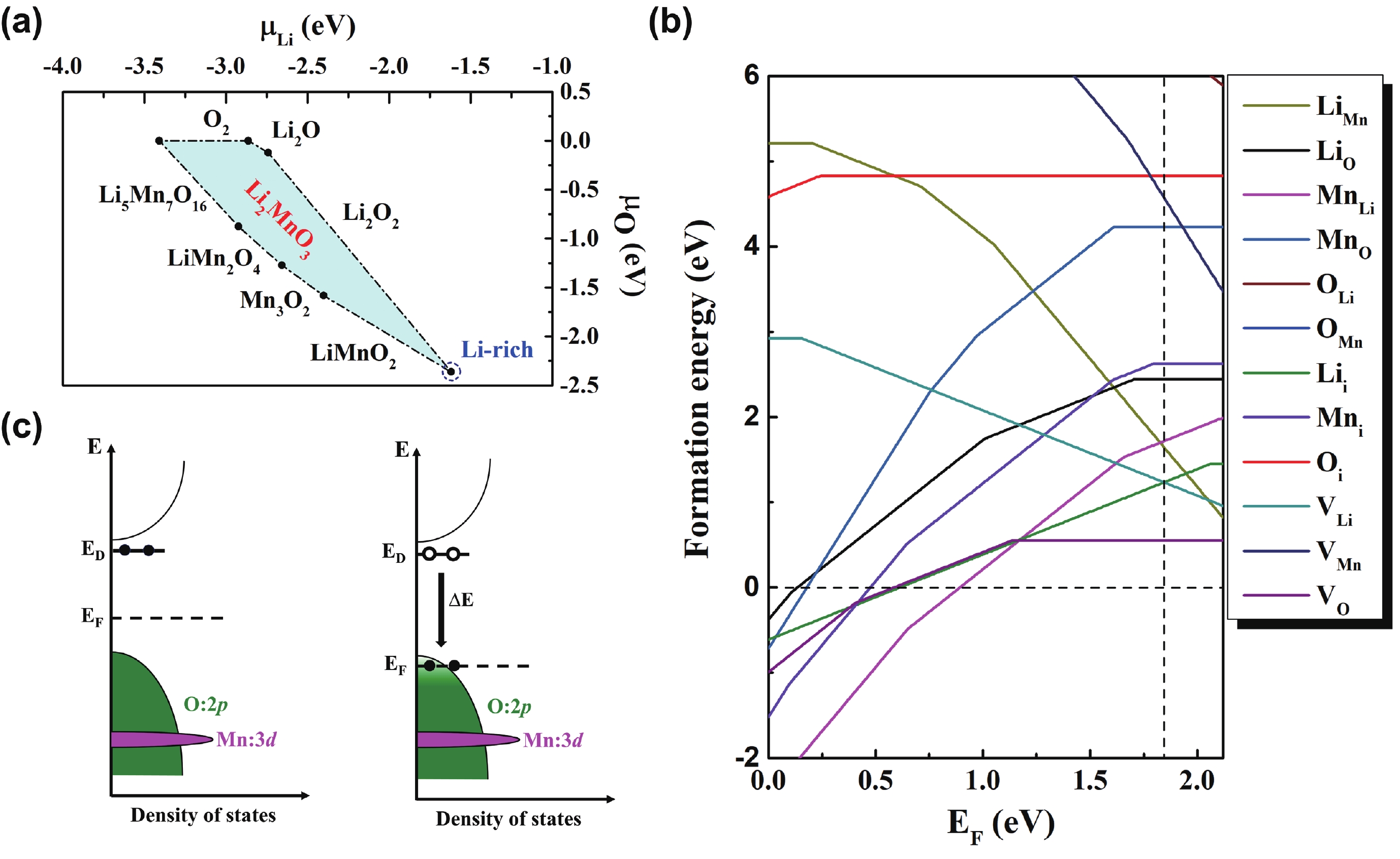
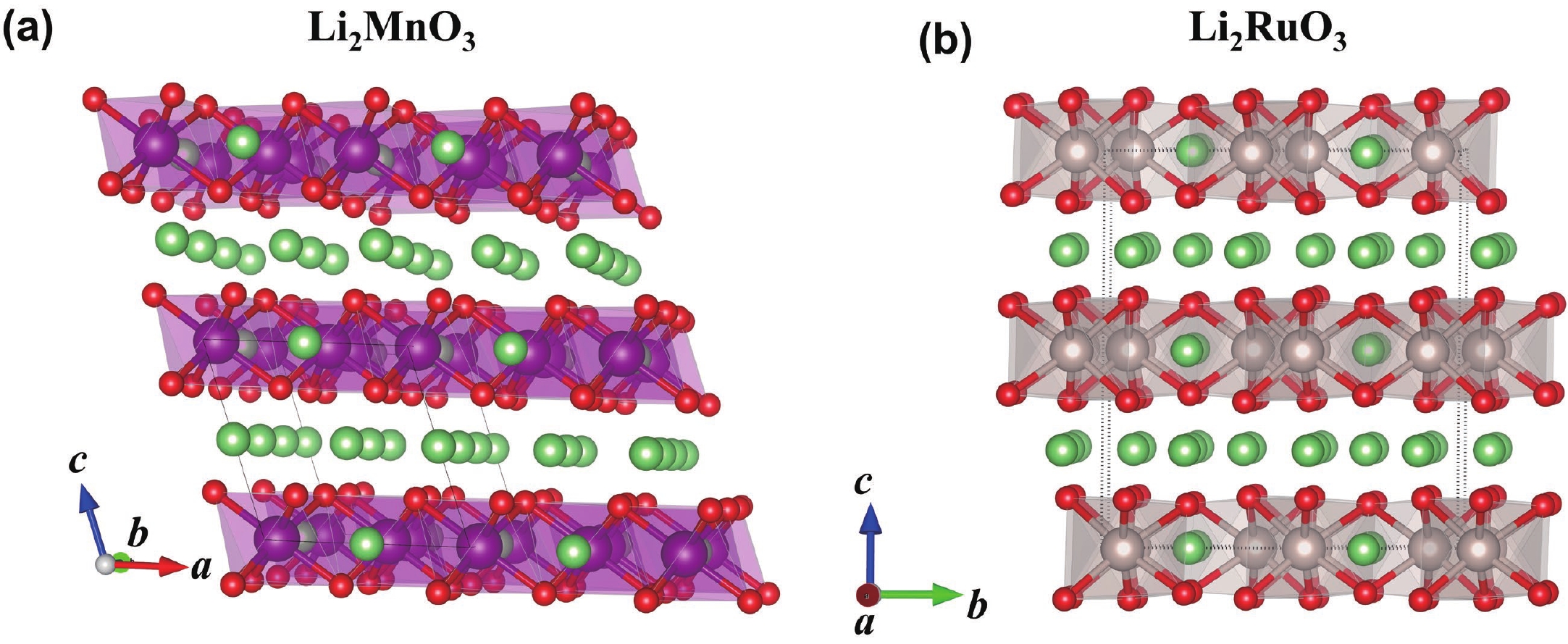
Li2MnO3 and Li2RuO3 represent two prototype Li-rich transition metal (TM) oxides as high-capacity cathodes for Li-ion batteries, which have similar crystal structures but show quite different cycling performances. Here, based on the first-principles calculations, we systematically studied the electronic structures and defect properties of these two Li-rich cathodes, in order to get more understanding on the structural degradation mechanism in Li-rich TM oxides. Our calculations indicated that the structural and cycling stability of Li2MnO3 and Li2RuO3 depend closely on their electronic structures, especially the energy of their highest occupied electronic states (HOS), as it largely determines the defect properties of these cathodes. For Li2MnO3 with low-energy HOS, we found that, due to the defect charge transfer mechanism, various defects can form spontaneously in its host structure as Li ions are extracted upon delithiation, which seriously deteriorates its structural and cycling stability. While for Li2RuO3, on the other hand, we identified that the high-energy HOS prevents it from the defect formation upon delithiation and thus preserve its cycling reversibility. Our studies thus illustrated an electronic origin of the structural degradation in Li-rich TM oxides and implied that it is possible to improve their cycling performances by carefully adjusting their TM components.


