ARTICLES
Jinou Dong1, Xueqin Zhao1, Licheng Fu1, Yilun Gu1, Rufei Zhang1, Qiaolin Yang1, Lingfeng Xie1 and Fanlong Ning1, 2, 3,
Corresponding author: Fanlong Ning, ningfl@zju.edu.cn
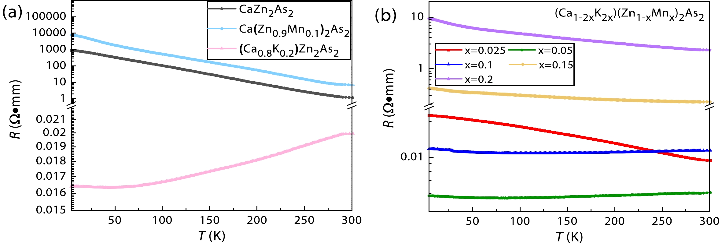
Abstract: We have successfully synthesized a novel diluted magnetic semiconductor (Ca1?2xK2x)(Zn1?xMnx)2As2 with decoupled charge and spin doping. The substitutions of (Ca2+, K+) and (Zn2+, Mn2+) in the parent compound CaZn2As2 (space group P
Key words: CaZn2As2, ferromagnetic ordering, Curie temperature, diluted magnetic semiconductor
| [1] |
Hoefflinger B. ITRS: The International Technology Roadmap for Semiconductors. In: Chips 2020, Springer, 2012, 161 doi: 10.1007/978-3-642-23096-7_7
|
| [2] |
Chappert C, Fert A, Van Dau F N. The emergence of spin electronics in data storage. In: Nanoscience and Technology: A Collection of Reviews from Nature Journals, 2010, 147
|
| [3] |
Ohno H. Making nonmagnetic semiconductors ferromagnetic. Science, 1998, 281, 951 doi: 10.1126/science.281.5379.951
|
| [4] |
Dietl T. A ten-year perspective on dilute magnetic semiconductors and oxides. Nat Mater, 2010, 9, 965 doi: 10.1002/chin.201116222
|
| [5] |
Zhao J H, Li Y Q, Xiong P. A pioneer in magnetic semiconductors — Professor Stephan von Molnár. J Semicond, 2021, 42, 010302 doi: 10.1088/1674-4926/42/1/010302
|
| [6] |
Dietl T, Bonanni A, Ohno H. Families of magnetic semiconductors—an overview. J Semicond, 2019, 40, 080301 doi: 10.1088/1674-4926/40/8/080301
|
| [7] |
Hao Y, Wu H Q, Yang Y C, et al. Preface to the special issue on beyond Moore: Resistive switching devices for emerging memory and neuromorphic computing. J Semicond, 2021, 42, 010101 doi: 10.1088/1674-4926/42/1/010101
|
| [8] |
Zhao G Q, Deng Z, Jin C Q. Advances in new generation diluted magnetic semiconductors with independent spin and charge doping. J Semicond, 2019, 40, 081505 doi: 10.1088/1674-4926/40/8/081505
|
| [9] |
Matsukura F, Ohno H, Dietl T. III-V ferromagnetic semiconductors. In: Handbook of Magnetic Materials. Amsterdam: Elsevier, 2002, 1 doi: 10.1016/s1567-2719(09)60005-6
|
| [10] |
Ohno H. Ferromagnetic semiconductor heterostructures. J Magn Magn Mater, 2004, 272, 1 doi: 10.1016/j.jmmm.2003.12.961
|
| [11] |
Ohno H, Shen A, Matsukura F, et al. (Ga, Mn)As: A new diluted magnetic semiconductor based on GaAs. Appl Phys Lett, 1996, 69, 363 doi: 10.1063/1.118061
|
| [12] |
Jungwirth T, Sinova J, Ma?ek J, et al. Theory of ferromagnetic (III, Mn)V semiconductors. Rev Mod Phys, 2006, 78, 809 doi: 10.1103/revmodphys.78.809
|
| [13] |
?uti? I, Fabian J, Das Sarma S. Spintronics: fundamentals and applications. Rev Mod Phys, 2004, 76, 323 doi: 10.1103/revmodphys.76.323
|
| [14] |
Chen L, Yang X, Yang F H, et al. Enhancing the curie temperature of ferromagnetic semiconductor (Ga, Mn)As to 200 K via nanostructure engineering. Nano Lett, 2011, 11, 2584 doi: 10.1021/nl201187m
|
| [15] |
Dietl T, Ohno H, Matsukura F, et al. Zener model description of ferromagnetism in zinc-blende magnetic semiconductors. Science, 2000, 287, 1019 doi: 10.1126/science.287.5455.1019
|
| [16] |
Guo S L, Ning F L. Progress of novel diluted ferromagnetic semiconductors with decoupled spin and charge doping: Counterparts of Fe-based superconductors. Chin Phys B, 2018, 27, 097502 doi: 10.1088/1674-1056/27/9/097502
|
| [17] |
Zhao K, Deng Z, Wang X C, et al. New diluted ferromagnetic semiconductor with Curie temperature up to 180 K and isostructural to the ‘122’ iron-based superconductors. Nat Commun, 2013, 4, 1442 doi: 10.1038/ncomms2447
|
| [18] |
Chen B J, Zhao K, Deng Z, et al. (Sr, Na)(Zn, Mn)2As2: A diluted ferromagnetic semiconductor with the hexagonal CaAl2Si2 type structure. Phys Rev B, 2014, 90, 155202 doi: 10.1103/physrevb.90.239906
|
| [19] |
Deng Z, Zhao K, Gu B, et al. Diluted ferromagnetic semiconductor Li(Zn, Mn)P with decoupled charge and spin doping. Phys Rev B, 2013, 88, 081203 doi: 10.1103/physrevb.88.081203
|
| [20] |
Deng Z, Jin C Q, Liu Q Q, et al. Li(Zn, Mn)As as a new generation ferromagnet based on a I–II–V semiconductor. Nat Commun, 2011, 2, 422 doi: 10.1038/ncomms1425
|
| [21] |
Ding C, Man H Y, Qin C, et al. (La1– xBa x)(Zn1– xMn x)AsO: A two-dimensional 1111-type diluted magnetic semiconductor in bulk form. Phys Rev B, 2013, 88, 041102 doi: 10.1103/physrevb.88.041102
|
| [22] |
Han W, Zhao K, Wang X C, et al. Diluted ferromagnetic semiconductor (LaCa)(ZnMn)SbO isostructural to "1111" type iron pnictide superconductors. Sci China Phys Mech Astron, 2013, 56, 2026 doi: 10.1007/s11433-013-5320-1
|
| [23] |
Gu B, Maekawa S. Diluted magnetic semiconductors with narrow band gaps. Phys Rev B, 2016, 94, 155202 doi: 10.1103/physrevb.94.155202
|
| [24] |
Zhao K, Chen B J, Zhao G Q, et al. Ferromagnetism at 230 K in (Ba0.7K0.3)(Zn0.85Mn0.15)2As2 diluted magnetic semiconductor. Chin Sci Bull, 2014, 59, 2524 doi: 10.1007/s11434-014-0398-z
|
| [25] |
Guo S L, Man H Y, Wang K, et al. Ba(Zn, Co)2As2: A diluted ferromagnetic semiconductor with n-type carriers and isostructural to 122 iron-based superconductors. Phys Rev B, 2019, 99, 155201 doi: 10.1103/physrevb.99.155201
|
| [26] |
Gu Y L, Zhang H J, Zhang R F, et al. A novel diluted magnetic semiconductor (Ca, Na)(Zn, Mn)2Sb2 with decoupled charge and spin dopings. Chin Phys B, 2020, 29, 057507 doi: 10.1088/1674-1056/ab892e
|
| [27] |
He H, Tyson C, Bobev S. Eight-coordinated arsenic in the zintl phases RbCd4As3 and RbZn4As3: Synthesis and structural characterization. Inorg Chem, 2011, 50, 8375 doi: 10.1021/ic2009418
|
| [28] |
Zhao K, Chen B J, Deng Z, et al. (Ca, Na)(Zn, Mn)2As2: A new spin and charge doping decoupled diluted ferromagnetic semiconductor. J Appl Phys, 2014, 116, 163906 doi: 10.1063/1.4899190
|
| [29] |
Ding C, Qin C, Man H Y, et al. NMR investigation of the diluted magnetic semiconductor Li(Zn1– xMn x)P (x = 0.1). Phys Rev B, 2013, 88, 041108 doi: 10.1103/physrevb.88.041108
|
| [30] |
Sun F, Li N N, Chen B J, et al. Pressure effect on the magnetism of the diluted magnetic semiconductor (Ba1– xK x)(Zn1– yMn y)2As2 with independent spin and charge doping. Phys Rev B, 2016, 93, 224403 doi: 10.1103/physrevb.93.224403
|
| [31] |
Nagata S, Keesom P H, Harrison H R. Low-dc-field susceptibility of CuMn spin glass. Phys Rev B, 1979, 19, 1633 doi: 10.1103/physrevb.19.1633
|
| [32] |
Monod P, Préjean J J, Tissier B. Magnetic hysteresis of CuMn in the spin glass state. J Appl Phys, 1979, 50, 7324 doi: 10.1063/1.326943
|
| [33] |
Prejean J J, Joliclerc M J, Monod P. Hysteresis in CuMn: The effect of spin orbit scattering on the anisotropy in the spin glass state. J Phys France, 1980, 41, 427 doi: 10.1051/jphys:01980004105042700
|
| [34] |
Sangeetha N S, Pandey A, Benson Z A, et al. Strong magnetic correlations to 900 K in single crystals of the trigonal antiferromagnetic insulators SrMn2As2 and CaMn2As2. Phys Rev B, 2016, 94, 094417 doi: 10.1103/physrevb.94.094417
|
| [35] |
Yu S, Zhao G Q, Peng Y, et al. A substantial increase of Curie temperature in a new type of diluted magnetic semiconductors via effects of chemical pressure. APL Mater, 2019, 7, 101119 doi: 10.1063/1.5120719
|
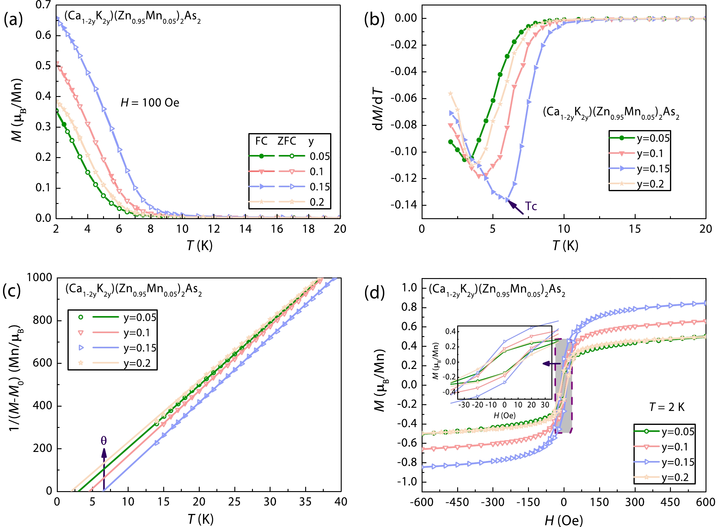
Table 1. The Curie temperature TC, the Weiss temperature θ, the effective moment Meff , the saturation moment Msat and the coercive field Hc for (Ca1?2xK2x)(Zn1?xMnx)2As2.
| x | TC (K) | θ (K) | Meff (μB/Mn) | Msat (μB/Mn) | Hc (Oe) |
| 0.05 | 3 | 4 | 3.91 | 0.47 | 9 |
| 0.1 | 5 | 7 | 2.92 | 0.28 | 10 |
| 0.15 | 6 | 9 | 2.28 | 0.15 | 40 |
| 0.2 | 7 | 8 | 1.89 | 0.06 | 60 |
DownLoad: CSV
Table 2. The Curie temperature TC, the Weiss temperature θ, the effective moment Meff , the saturation moment Msat and the coercive field Hc for (Ca1?2yK2y)(Zn0.95Mn0.05)2As2.
| y | TC (K) | Meff (μB/Mn) | Msat (μB/Mn) | Hc (Oe) | |
| 0.05 | 3 | 4 | 3.91 | 0.47 | 10 |
| 0.1 | 4 | 5 | 3.83 | 0.64 | 10 |
| 0.15 | 6 | 7 | 3.81 | 0.82 | 10 |
| 0.2 | 3 | 2 | 3.94 | 0.48 | 10 |
DownLoad: CSV
| [1] |
Hoefflinger B. ITRS: The International Technology Roadmap for Semiconductors. In: Chips 2020, Springer, 2012, 161 doi: 10.1007/978-3-642-23096-7_7
|
| [2] |
Chappert C, Fert A, Van Dau F N. The emergence of spin electronics in data storage. In: Nanoscience and Technology: A Collection of Reviews from Nature Journals, 2010, 147
|
| [3] |
Ohno H. Making nonmagnetic semiconductors ferromagnetic. Science, 1998, 281, 951 doi: 10.1126/science.281.5379.951
|
| [4] |
Dietl T. A ten-year perspective on dilute magnetic semiconductors and oxides. Nat Mater, 2010, 9, 965 doi: 10.1002/chin.201116222
|
| [5] |
Zhao J H, Li Y Q, Xiong P. A pioneer in magnetic semiconductors — Professor Stephan von Molnár. J Semicond, 2021, 42, 010302 doi: 10.1088/1674-4926/42/1/010302
|
| [6] |
Dietl T, Bonanni A, Ohno H. Families of magnetic semiconductors—an overview. J Semicond, 2019, 40, 080301 doi: 10.1088/1674-4926/40/8/080301
|
| [7] |
Hao Y, Wu H Q, Yang Y C, et al. Preface to the special issue on beyond Moore: Resistive switching devices for emerging memory and neuromorphic computing. J Semicond, 2021, 42, 010101 doi: 10.1088/1674-4926/42/1/010101
|
| [8] |
Zhao G Q, Deng Z, Jin C Q. Advances in new generation diluted magnetic semiconductors with independent spin and charge doping. J Semicond, 2019, 40, 081505 doi: 10.1088/1674-4926/40/8/081505
|
| [9] |
Matsukura F, Ohno H, Dietl T. III-V ferromagnetic semiconductors. In: Handbook of Magnetic Materials. Amsterdam: Elsevier, 2002, 1 doi: 10.1016/s1567-2719(09)60005-6
|
| [10] |
Ohno H. Ferromagnetic semiconductor heterostructures. J Magn Magn Mater, 2004, 272, 1 doi: 10.1016/j.jmmm.2003.12.961
|
| [11] |
Ohno H, Shen A, Matsukura F, et al. (Ga, Mn)As: A new diluted magnetic semiconductor based on GaAs. Appl Phys Lett, 1996, 69, 363 doi: 10.1063/1.118061
|
| [12] |
Jungwirth T, Sinova J, Ma?ek J, et al. Theory of ferromagnetic (III, Mn)V semiconductors. Rev Mod Phys, 2006, 78, 809 doi: 10.1103/revmodphys.78.809
|
| [13] |
?uti? I, Fabian J, Das Sarma S. Spintronics: fundamentals and applications. Rev Mod Phys, 2004, 76, 323 doi: 10.1103/revmodphys.76.323
|
| [14] |
Chen L, Yang X, Yang F H, et al. Enhancing the curie temperature of ferromagnetic semiconductor (Ga, Mn)As to 200 K via nanostructure engineering. Nano Lett, 2011, 11, 2584 doi: 10.1021/nl201187m
|
| [15] |
Dietl T, Ohno H, Matsukura F, et al. Zener model description of ferromagnetism in zinc-blende magnetic semiconductors. Science, 2000, 287, 1019 doi: 10.1126/science.287.5455.1019
|
| [16] |
Guo S L, Ning F L. Progress of novel diluted ferromagnetic semiconductors with decoupled spin and charge doping: Counterparts of Fe-based superconductors. Chin Phys B, 2018, 27, 097502 doi: 10.1088/1674-1056/27/9/097502
|
| [17] |
Zhao K, Deng Z, Wang X C, et al. New diluted ferromagnetic semiconductor with Curie temperature up to 180 K and isostructural to the ‘122’ iron-based superconductors. Nat Commun, 2013, 4, 1442 doi: 10.1038/ncomms2447
|
| [18] |
Chen B J, Zhao K, Deng Z, et al. (Sr, Na)(Zn, Mn)2As2: A diluted ferromagnetic semiconductor with the hexagonal CaAl2Si2 type structure. Phys Rev B, 2014, 90, 155202 doi: 10.1103/physrevb.90.239906
|
| [19] |
Deng Z, Zhao K, Gu B, et al. Diluted ferromagnetic semiconductor Li(Zn, Mn)P with decoupled charge and spin doping. Phys Rev B, 2013, 88, 081203 doi: 10.1103/physrevb.88.081203
|
| [20] |
Deng Z, Jin C Q, Liu Q Q, et al. Li(Zn, Mn)As as a new generation ferromagnet based on a I–II–V semiconductor. Nat Commun, 2011, 2, 422 doi: 10.1038/ncomms1425
|
| [21] |
Ding C, Man H Y, Qin C, et al. (La1– xBa x)(Zn1– xMn x)AsO: A two-dimensional 1111-type diluted magnetic semiconductor in bulk form. Phys Rev B, 2013, 88, 041102 doi: 10.1103/physrevb.88.041102
|
| [22] |
Han W, Zhao K, Wang X C, et al. Diluted ferromagnetic semiconductor (LaCa)(ZnMn)SbO isostructural to "1111" type iron pnictide superconductors. Sci China Phys Mech Astron, 2013, 56, 2026 doi: 10.1007/s11433-013-5320-1
|
| [23] |
Gu B, Maekawa S. Diluted magnetic semiconductors with narrow band gaps. Phys Rev B, 2016, 94, 155202 doi: 10.1103/physrevb.94.155202
|
| [24] |
Zhao K, Chen B J, Zhao G Q, et al. Ferromagnetism at 230 K in (Ba0.7K0.3)(Zn0.85Mn0.15)2As2 diluted magnetic semiconductor. Chin Sci Bull, 2014, 59, 2524 doi: 10.1007/s11434-014-0398-z
|
| [25] |
Guo S L, Man H Y, Wang K, et al. Ba(Zn, Co)2As2: A diluted ferromagnetic semiconductor with n-type carriers and isostructural to 122 iron-based superconductors. Phys Rev B, 2019, 99, 155201 doi: 10.1103/physrevb.99.155201
|
| [26] |
Gu Y L, Zhang H J, Zhang R F, et al. A novel diluted magnetic semiconductor (Ca, Na)(Zn, Mn)2Sb2 with decoupled charge and spin dopings. Chin Phys B, 2020, 29, 057507 doi: 10.1088/1674-1056/ab892e
|
| [27] |
He H, Tyson C, Bobev S. Eight-coordinated arsenic in the zintl phases RbCd4As3 and RbZn4As3: Synthesis and structural characterization. Inorg Chem, 2011, 50, 8375 doi: 10.1021/ic2009418
|
| [28] |
Zhao K, Chen B J, Deng Z, et al. (Ca, Na)(Zn, Mn)2As2: A new spin and charge doping decoupled diluted ferromagnetic semiconductor. J Appl Phys, 2014, 116, 163906 doi: 10.1063/1.4899190
|
| [29] |
Ding C, Qin C, Man H Y, et al. NMR investigation of the diluted magnetic semiconductor Li(Zn1– xMn x)P (x = 0.1). Phys Rev B, 2013, 88, 041108 doi: 10.1103/physrevb.88.041108
|
| [30] |
Sun F, Li N N, Chen B J, et al. Pressure effect on the magnetism of the diluted magnetic semiconductor (Ba1– xK x)(Zn1– yMn y)2As2 with independent spin and charge doping. Phys Rev B, 2016, 93, 224403 doi: 10.1103/physrevb.93.224403
|
| [31] |
Nagata S, Keesom P H, Harrison H R. Low-dc-field susceptibility of CuMn spin glass. Phys Rev B, 1979, 19, 1633 doi: 10.1103/physrevb.19.1633
|
| [32] |
Monod P, Préjean J J, Tissier B. Magnetic hysteresis of CuMn in the spin glass state. J Appl Phys, 1979, 50, 7324 doi: 10.1063/1.326943
|
| [33] |
Prejean J J, Joliclerc M J, Monod P. Hysteresis in CuMn: The effect of spin orbit scattering on the anisotropy in the spin glass state. J Phys France, 1980, 41, 427 doi: 10.1051/jphys:01980004105042700
|
| [34] |
Sangeetha N S, Pandey A, Benson Z A, et al. Strong magnetic correlations to 900 K in single crystals of the trigonal antiferromagnetic insulators SrMn2As2 and CaMn2As2. Phys Rev B, 2016, 94, 094417 doi: 10.1103/physrevb.94.094417
|
| [35] |
Yu S, Zhao G Q, Peng Y, et al. A substantial increase of Curie temperature in a new type of diluted magnetic semiconductors via effects of chemical pressure. APL Mater, 2019, 7, 101119 doi: 10.1063/1.5120719
|
Article views: 2251 Times PDF downloads: 50 Times Cited by: 0 Times
Received: 14 January 2022 Revised: 26 February 2022 Online: Uncorrected proof: 21 April 2022Accepted Manuscript: 21 April 2022Published: 01 July 2022
| Citation: |
Jinou Dong, Xueqin Zhao, Licheng Fu, Yilun Gu, Rufei Zhang, Qiaolin Yang, Lingfeng Xie, Fanlong Ning. (Ca,K)(Zn,Mn)2As2: Ferromagnetic semiconductor induced by decoupled charge and spin doping in CaZn2As2[J]. Journal of Semiconductors, 2022, 43(7): 072501. doi: 10.1088/1674-4926/43/7/072501
****
J O Dong, X Q Zhao, L C Fu, Y L Gu, R F Zhang, Q L Yang, L F Xie, F L Ning. (Ca,K)(Zn,Mn)2As2: Ferromagnetic semiconductor induced by decoupled charge and spin doping in CaZn2As2[J]. J. Semicond, 2022, 43(7): 072501. doi: 10.1088/1674-4926/43/7/072501
|
| [1] |
Hoefflinger B. ITRS: The International Technology Roadmap for Semiconductors. In: Chips 2020, Springer, 2012, 161 doi: 10.1007/978-3-642-23096-7_7
|
| [2] |
Chappert C, Fert A, Van Dau F N. The emergence of spin electronics in data storage. In: Nanoscience and Technology: A Collection of Reviews from Nature Journals, 2010, 147
|
| [3] |
Ohno H. Making nonmagnetic semiconductors ferromagnetic. Science, 1998, 281, 951 doi: 10.1126/science.281.5379.951
|
| [4] |
Dietl T. A ten-year perspective on dilute magnetic semiconductors and oxides. Nat Mater, 2010, 9, 965 doi: 10.1002/chin.201116222
|
| [5] |
Zhao J H, Li Y Q, Xiong P. A pioneer in magnetic semiconductors — Professor Stephan von Molnár. J Semicond, 2021, 42, 010302 doi: 10.1088/1674-4926/42/1/010302
|
| [6] |
Dietl T, Bonanni A, Ohno H. Families of magnetic semiconductors—an overview. J Semicond, 2019, 40, 080301 doi: 10.1088/1674-4926/40/8/080301
|
| [7] |
Hao Y, Wu H Q, Yang Y C, et al. Preface to the special issue on beyond Moore: Resistive switching devices for emerging memory and neuromorphic computing. J Semicond, 2021, 42, 010101 doi: 10.1088/1674-4926/42/1/010101
|
| [8] |
Zhao G Q, Deng Z, Jin C Q. Advances in new generation diluted magnetic semiconductors with independent spin and charge doping. J Semicond, 2019, 40, 081505 doi: 10.1088/1674-4926/40/8/081505
|
| [9] |
Matsukura F, Ohno H, Dietl T. III-V ferromagnetic semiconductors. In: Handbook of Magnetic Materials. Amsterdam: Elsevier, 2002, 1 doi: 10.1016/s1567-2719(09)60005-6
|
| [10] |
Ohno H. Ferromagnetic semiconductor heterostructures. J Magn Magn Mater, 2004, 272, 1 doi: 10.1016/j.jmmm.2003.12.961
|
| [11] |
Ohno H, Shen A, Matsukura F, et al. (Ga, Mn)As: A new diluted magnetic semiconductor based on GaAs. Appl Phys Lett, 1996, 69, 363 doi: 10.1063/1.118061
|
| [12] |
Jungwirth T, Sinova J, Ma?ek J, et al. Theory of ferromagnetic (III, Mn)V semiconductors. Rev Mod Phys, 2006, 78, 809 doi: 10.1103/revmodphys.78.809
|
| [13] |
?uti? I, Fabian J, Das Sarma S. Spintronics: fundamentals and applications. Rev Mod Phys, 2004, 76, 323 doi: 10.1103/revmodphys.76.323
|
| [14] |
Chen L, Yang X, Yang F H, et al. Enhancing the curie temperature of ferromagnetic semiconductor (Ga, Mn)As to 200 K via nanostructure engineering. Nano Lett, 2011, 11, 2584 doi: 10.1021/nl201187m
|
| [15] |
Dietl T, Ohno H, Matsukura F, et al. Zener model description of ferromagnetism in zinc-blende magnetic semiconductors. Science, 2000, 287, 1019 doi: 10.1126/science.287.5455.1019
|
| [16] |
Guo S L, Ning F L. Progress of novel diluted ferromagnetic semiconductors with decoupled spin and charge doping: Counterparts of Fe-based superconductors. Chin Phys B, 2018, 27, 097502 doi: 10.1088/1674-1056/27/9/097502
|
| [17] |
Zhao K, Deng Z, Wang X C, et al. New diluted ferromagnetic semiconductor with Curie temperature up to 180 K and isostructural to the ‘122’ iron-based superconductors. Nat Commun, 2013, 4, 1442 doi: 10.1038/ncomms2447
|
| [18] |
Chen B J, Zhao K, Deng Z, et al. (Sr, Na)(Zn, Mn)2As2: A diluted ferromagnetic semiconductor with the hexagonal CaAl2Si2 type structure. Phys Rev B, 2014, 90, 155202 doi: 10.1103/physrevb.90.239906
|
| [19] |
Deng Z, Zhao K, Gu B, et al. Diluted ferromagnetic semiconductor Li(Zn, Mn)P with decoupled charge and spin doping. Phys Rev B, 2013, 88, 081203 doi: 10.1103/physrevb.88.081203
|
| [20] |
Deng Z, Jin C Q, Liu Q Q, et al. Li(Zn, Mn)As as a new generation ferromagnet based on a I–II–V semiconductor. Nat Commun, 2011, 2, 422 doi: 10.1038/ncomms1425
|
| [21] |
Ding C, Man H Y, Qin C, et al. (La1– xBa x)(Zn1– xMn x)AsO: A two-dimensional 1111-type diluted magnetic semiconductor in bulk form. Phys Rev B, 2013, 88, 041102 doi: 10.1103/physrevb.88.041102
|
| [22] |
Han W, Zhao K, Wang X C, et al. Diluted ferromagnetic semiconductor (LaCa)(ZnMn)SbO isostructural to "1111" type iron pnictide superconductors. Sci China Phys Mech Astron, 2013, 56, 2026 doi: 10.1007/s11433-013-5320-1
|
| [23] |
Gu B, Maekawa S. Diluted magnetic semiconductors with narrow band gaps. Phys Rev B, 2016, 94, 155202 doi: 10.1103/physrevb.94.155202
|
| [24] |
Zhao K, Chen B J, Zhao G Q, et al. Ferromagnetism at 230 K in (Ba0.7K0.3)(Zn0.85Mn0.15)2As2 diluted magnetic semiconductor. Chin Sci Bull, 2014, 59, 2524 doi: 10.1007/s11434-014-0398-z
|
| [25] |
Guo S L, Man H Y, Wang K, et al. Ba(Zn, Co)2As2: A diluted ferromagnetic semiconductor with n-type carriers and isostructural to 122 iron-based superconductors. Phys Rev B, 2019, 99, 155201 doi: 10.1103/physrevb.99.155201
|
| [26] |
Gu Y L, Zhang H J, Zhang R F, et al. A novel diluted magnetic semiconductor (Ca, Na)(Zn, Mn)2Sb2 with decoupled charge and spin dopings. Chin Phys B, 2020, 29, 057507 doi: 10.1088/1674-1056/ab892e
|
| [27] |
He H, Tyson C, Bobev S. Eight-coordinated arsenic in the zintl phases RbCd4As3 and RbZn4As3: Synthesis and structural characterization. Inorg Chem, 2011, 50, 8375 doi: 10.1021/ic2009418
|
| [28] |
Zhao K, Chen B J, Deng Z, et al. (Ca, Na)(Zn, Mn)2As2: A new spin and charge doping decoupled diluted ferromagnetic semiconductor. J Appl Phys, 2014, 116, 163906 doi: 10.1063/1.4899190
|
| [29] |
Ding C, Qin C, Man H Y, et al. NMR investigation of the diluted magnetic semiconductor Li(Zn1– xMn x)P (x = 0.1). Phys Rev B, 2013, 88, 041108 doi: 10.1103/physrevb.88.041108
|
| [30] |
Sun F, Li N N, Chen B J, et al. Pressure effect on the magnetism of the diluted magnetic semiconductor (Ba1– xK x)(Zn1– yMn y)2As2 with independent spin and charge doping. Phys Rev B, 2016, 93, 224403 doi: 10.1103/physrevb.93.224403
|
| [31] |
Nagata S, Keesom P H, Harrison H R. Low-dc-field susceptibility of CuMn spin glass. Phys Rev B, 1979, 19, 1633 doi: 10.1103/physrevb.19.1633
|
| [32] |
Monod P, Préjean J J, Tissier B. Magnetic hysteresis of CuMn in the spin glass state. J Appl Phys, 1979, 50, 7324 doi: 10.1063/1.326943
|
| [33] |
Prejean J J, Joliclerc M J, Monod P. Hysteresis in CuMn: The effect of spin orbit scattering on the anisotropy in the spin glass state. J Phys France, 1980, 41, 427 doi: 10.1051/jphys:01980004105042700
|
| [34] |
Sangeetha N S, Pandey A, Benson Z A, et al. Strong magnetic correlations to 900 K in single crystals of the trigonal antiferromagnetic insulators SrMn2As2 and CaMn2As2. Phys Rev B, 2016, 94, 094417 doi: 10.1103/physrevb.94.094417
|
| [35] |
Yu S, Zhao G Q, Peng Y, et al. A substantial increase of Curie temperature in a new type of diluted magnetic semiconductors via effects of chemical pressure. APL Mater, 2019, 7, 101119 doi: 10.1063/1.5120719
|
Journal of Semiconductors © 2017 All Rights Reserved 京ICP備05085259號-2