J. Semicond. > 2015, Volume 36?>?Issue 9?> 093002

SEMICONDUCTOR MATERIALS

The effect of random dopant fluctuation on threshold voltage and drain current variation in junctionless nanotransistors

Arash Rezapour1 and Pegah Rezapour2

+ Author Affiliations

 Corresponding author: Arash Rezapour, arash.rezapour@gmail.com

DOI: 10.1088/1674-4926/36/9/093002

PDF

Abstract: We investigate the effect of dopant random fluctuation on threshold voltage and drain current variation in a two-gate nanoscale transistor. We used a quantum-corrected technology computer aided design simulation to run the simulation (10000 randomizations). With this simulation, we could study the effects of varying the dimensions (length and width), and thicknesses of oxide and dopant factors of a transistor on the threshold voltage and drain current in subthreshold region (off) and overthreshold (on). It was found that in the subthreshold region the variability of the drain current and threshold voltage is relatively fixed while in the overthreshold region the variability of the threshold voltage and drain current decreases remarkably, despite the slight reduction of gate voltage diffusion (compared with that of the subthreshold). These results have been interpreted by using previously reported models for threshold current variability, load displacement, and simple analytical calculations. Scaling analysis shows that the variability of the characteristics of this semiconductor increases as the effects of the short channel increases. Therefore, with a slight increase of length and a reduction of width, oxide thickness, and dopant factor, we could correct the effect of the short channel.

Key words: junctionless transistorsubthreshold regionabove threshold regionshort-channel effectsfield impedance method



[1]
[2]
[3]
[4]
[5]
[6]
[7]
[8]
[9]
[10]
[11]
[12]
[13]
[14]
[15]
[16]
[17]
[18]
[19]
[20]
Fig1.  General structure of a DG NMOSFET.

Fig2.  The simulated 2-D reference device is a DG nMOSFET.

Fig3.  Standard deviation of the gate voltage ($\sigma V_{\rm G})$ over 10000 randomization,as function of the nominal drain current $(I_{\rm D})$ and drain voltage,for different device geometries with variable gate length $(L)$.

Fig4.  Normalized standard deviation of the drain current ($\sigma I_{\rm D} /I_{\rm D})$ over 10000 randomization,as function of the nominal drain current ($I_{\rm D})$ and drain voltage,for the reference device.

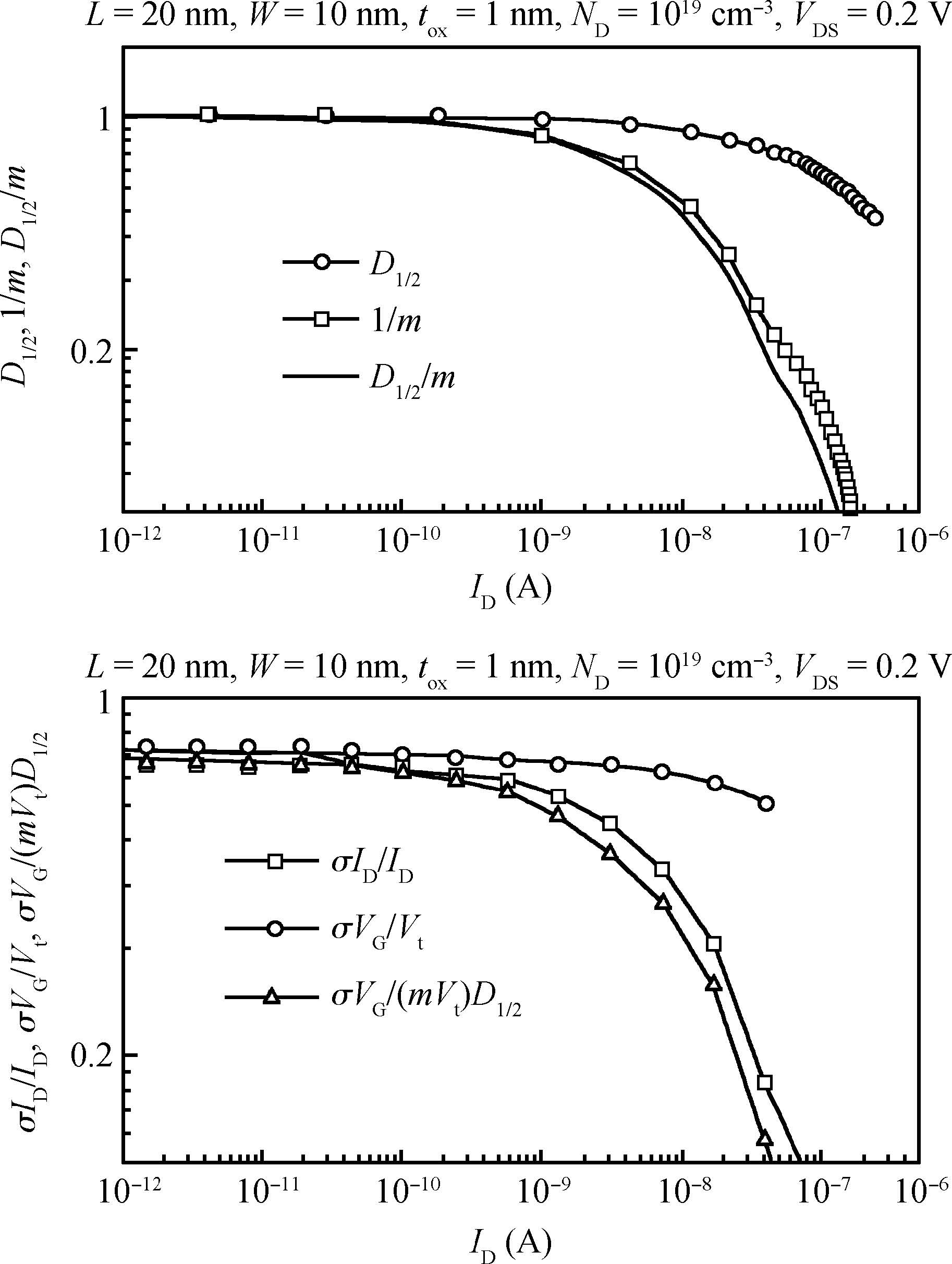
Fig5.  (a) Approximated values of $m$,$D_{1/2}$,and $D_{1/2}/m$ calculated by extracting the electrostatic potential along a cutline in the source-drain direction in the middle point between the two gates in the reference device. (b) Validity of Equation (6) with the values of $m$ and $D_{1/2}$ taken from (a).

Fig6.  Comparison of the simulated $\sigma V_{\rm G}$ (scaled by $mV_{\rm t})$,$\sigma I_{\rm D}/I_{\rm D}$ and the result of the analytical model[8] for $\sigma V_{\rm TH}$ (scaled by $mV_{\rm t})$,over a very large set of randomizations (10000) for different values of (a) gate length,(b) device width,(c) oxide thickness,and (d) nominal doping.

Fig7.  Normalized standard deviation of the drain current ($\sigma I_{\rm D} /I_{\rm D}$) over a very large set of randomizations (10000) for different values of (a) gate length,(b) device width,(c) oxide thickness,and (d) nominal doping.

Fig8.  Histogram plots of the normalized drain current of the reference device. The statistics fits well with Gaussian distributions from the subthreshold (OFF) region to the ON region.

DownLoad: CSV
DownLoad: CSV
DownLoad: CSV
DownLoad: CSV
DownLoad: CSV
DownLoad: CSV
DownLoad: CSV
[1]
[2]
[3]
[4]
[5]
[6]
[7]
[8]
[9]
[10]
[11]
[12]
[13]
[14]
[15]
[16]
[17]
[18]
[19]
[20]
  • Search

    Advanced Search >>

    GET CITATION

    shu

    Export: BibTex EndNote

    Article Metrics

    Article views: 3248 Times PDF downloads: 58 Times Cited by: 0 Times

    History

    Received: 17 February 2015 Revised: Online: Published: 01 September 2015

    Catalog

      Email This Article

      User name:
      Email:*請輸入正確郵箱
      Code:*驗證碼錯誤
      Arash Rezapour, Pegah Rezapour. The effect of random dopant fluctuation on threshold voltage and drain current variation in junctionless nanotransistors[J]. Journal of Semiconductors, 2015, 36(9): 093002. doi: 10.1088/1674-4926/36/9/093002 ****A Rezapour, P Rezapour. The effect of random dopant fluctuation on threshold voltage and drain current variation in junctionless nanotransistors[J]. J. Semicond., 2015, 36(9): 093002. doi: 10.1088/1674-4926/36/9/093002.
      Citation:
      Arash Rezapour, Pegah Rezapour. The effect of random dopant fluctuation on threshold voltage and drain current variation in junctionless nanotransistors[J]. Journal of Semiconductors, 2015, 36(9): 093002. doi: 10.1088/1674-4926/36/9/093002 ****
      A Rezapour, P Rezapour. The effect of random dopant fluctuation on threshold voltage and drain current variation in junctionless nanotransistors[J]. J. Semicond., 2015, 36(9): 093002. doi: 10.1088/1674-4926/36/9/093002.

      The effect of random dopant fluctuation on threshold voltage and drain current variation in junctionless nanotransistors

      DOI: 10.1088/1674-4926/36/9/093002
      More Information
      • Corresponding author: Arash Rezapour, arash.rezapour@gmail.com
      • Received Date: 2015-02-17
      • Accepted Date: 2015-05-06
      • Published Date: 2015-01-25

      Catalog

        /

        DownLoad:  Full-Size Img  PowerPoint
        Return
        Return