J. Semicond. > 2015, Volume 36?>?Issue 12?> 123005

SEMICONDUCTOR MATERIALS

Transparent and conductive PEDOT:PSS/Ag NW/PEDOT:PSS hybrid films prepared by spin-coating at room temperature

Qingqing Yue, Jinliang Yan and Delan Meng

+ Author Affiliations

 Corresponding author: Yan Jinliang,Email:yanjinliang8@sina.com

DOI: 10.1088/1674-4926/36/12/123005

PDF

Abstract: PEDOT:PSS/Ag NW/PEDOT:PSS hybrid films were deposited on PET substrates by the spin coating technique at room temperature. The optical transmittance, sheet resistance, crystallization and surface morphology were characterized by using the double beam spectrophotometer, Hall effect system, X-ray diffractometer and field emission scanning electron microscopy. XRD patterns of the hybrid films display characteristic diffraction peaks of Ag(111) and Ag(200), and the Ag NW networks have a polycrystalline structure with a Ag(111) preferred orientation. A high transmittance of 83.95% at the 550 nm wavelength and a low sheet resistance of 21.98Ω/□ are achieved for 3-PEDOT:PSS/5-Ag NW/3-PEDOT:PSS hybrid films.

Key words: transparent conductive filmsheet resistancetransmittancesilver nanowireshybrid films



[1]
[2]
[3]
[4]
[5]
[6]
[7]
[8]
[9]
[10]
[11]
[12]
[13]
[14]
[15]
[16]
[17]
[18]
Fig1.  Schematic diagram of fabricating PEDOT:PSS/Ag NW/PEDOT:PSS hybrid films.

Fig2.  XRD patterns of 3-PEDOT:PSS film, 3-PEDOT:PSS/5-Ag NW hybrid films and 3-PEDOT:PSS/5-Ag NW/3-PEDOT:PSS hybrid films.

Fig3.  SEM images of the hybrid films. (a) 3-PEDOT:PSS/5-Ag NW. (b) 3-PEDOT:PSS/5-Ag NW/3-PEDOT:PSS.

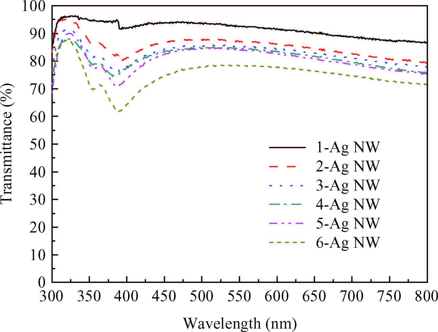
Fig4.  (Color online) Transmittance spectra of 3-PEDOT:PSS/Ag NW/3-PEDOT:PSS hybrid films at various Ag NW cycles.

Fig5.  (Color online) Transmittance spectra of PEDOT:PSS/5-Ag NW/PEDOT:PSS hybrid films with different PEDOT:PSS cycles.

Fig6.  Sheet resistance of 3-PEDOT:PSS/Ag NW/3-PEDOT:PSS hybrid films as a function of the number of Ag NW cycles.

Fig7.  Sheet resistance of PEDOT:PSS/5-Ag NW/PEDOT:PSS hybrid films as a function of the number of PEDOT:PSS cycles.

Table 1.   Figure of merits of 3-PEDOT:PSS/Ag NW/3-PEDOT:PSS hybrid films with different Ag NW cycles.

DownLoad: CSV

Table 2.   Figure of merits of PEDOT:PSS/5-Ag NW/PEDOT:PSS hybrid films with different PEDOT:PSS cycles.

DownLoad: CSV
[1]
[2]
[3]
[4]
[5]
[6]
[7]
[8]
[9]
[10]
[11]
[12]
[13]
[14]
[15]
[16]
[17]
[18]
  • Search

    Advanced Search >>

    GET CITATION

    shu

    Export: BibTex EndNote

    Article Metrics

    Article views: 4673 Times PDF downloads: 96 Times Cited by: 0 Times

    History

    Received: 14 May 2015 Revised: Online: Published: 01 December 2015

    Catalog

      Email This Article

      User name:
      Email:*請輸入正確郵箱
      Code:*驗證碼錯誤
      Qingqing Yue, Jinliang Yan, Delan Meng. Transparent and conductive PEDOT:PSS/Ag NW/PEDOT:PSS hybrid films prepared by spin-coating at room temperature[J]. Journal of Semiconductors, 2015, 36(12): 123005. doi: 10.1088/1674-4926/36/12/123005 ****Q Q Yue, J L Yan, D L Meng. Transparent and conductive PEDOT:PSS/Ag NW/PEDOT:PSS hybrid films prepared by spin-coating at room temperature[J]. J. Semicond., 2015, 36(12): 123005. doi: 10.1088/1674-4926/36/12/123005.
      Citation:
      Qingqing Yue, Jinliang Yan, Delan Meng. Transparent and conductive PEDOT:PSS/Ag NW/PEDOT:PSS hybrid films prepared by spin-coating at room temperature[J]. Journal of Semiconductors, 2015, 36(12): 123005. doi: 10.1088/1674-4926/36/12/123005 ****
      Q Q Yue, J L Yan, D L Meng. Transparent and conductive PEDOT:PSS/Ag NW/PEDOT:PSS hybrid films prepared by spin-coating at room temperature[J]. J. Semicond., 2015, 36(12): 123005. doi: 10.1088/1674-4926/36/12/123005.

      Transparent and conductive PEDOT:PSS/Ag NW/PEDOT:PSS hybrid films prepared by spin-coating at room temperature

      DOI: 10.1088/1674-4926/36/12/123005
      Funds:

      Project supported by the National Natural Science Foundation of China(No. 10974077), and the Innovation Project of Shandong Graduate Education, China(No. SDYY13093).

      More Information
      • Corresponding author: Yan Jinliang,Email:yanjinliang8@sina.com
      • Received Date: 2015-05-14
      • Accepted Date: 2015-06-27
      • Published Date: 2015-01-25

      Catalog

        /

        DownLoad:  Full-Size Img  PowerPoint
        Return
        Return