J. Semicond. > 2015, Volume 36?>?Issue 12?> 123002

SEMICONDUCTOR MATERIALS

Properties of n-type SnO2 semiconductor prepared by spray ultrasonic technique for photovoltaic applications

H. Bendjedidi1, A. Attaf1, H. Saidi2, M. S. Aida1, S. Semmari1, A. Bouhdjar1 and Y. Benkhetta1

+ Author Affiliations

 Corresponding author: H. Bendjedidi, Email: h.bendjedidi@gmail.com

DOI: 10.1088/1674-4926/36/12/123002

PDF

Abstract: ${article.abstractinfo}

Key words: tin oxidethin filmsspray ultrasonicstructural propertiesoptical properties



[1]
[2]
[3]
[4]
[5]
[6]
[7]
[8]
[9]
[10]
[11]
[12]
[13]
[14]
[15]
[16]
[17]
[18]
[19]
[20]
[21]
[22]
[23]
[24]
[25]
[26]
[27]
[28]
Fig1.  SEM images of SnO2 thin films deposited on glass substrates at different temperatures.(a)300 ℃.(b)350 ℃.(c)400 ℃.(d)450 ℃.

Fig2.  {(Color online) X-ray diffraction pattern of SnO$_{2}$ films at various substrate temperatures.

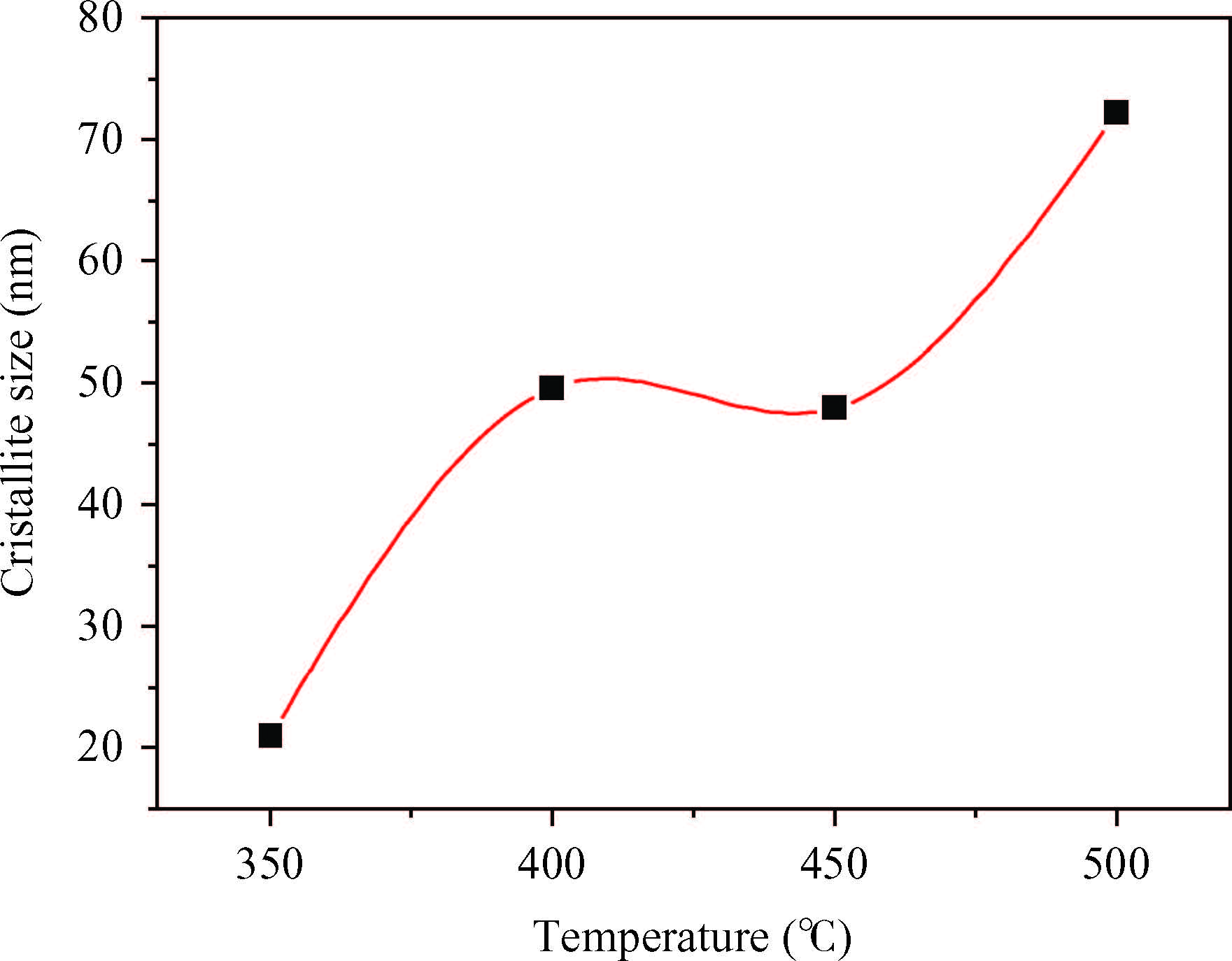
Fig3.  Dependence of the crystallite size versus substrate temperatures.

Fig4.  The transmittance spectra of SnO$_{2}$ films at various substrate temperatures.

Fig5.  Dependence of thickness versus the substrate temperatures.

Fig6.  Dependence of the Band Gap versus the substrate temperatures.

Fig7.  Resistivity as a function of substrate temperature

[1]
[2]
[3]
[4]
[5]
[6]
[7]
[8]
[9]
[10]
[11]
[12]
[13]
[14]
[15]
[16]
[17]
[18]
[19]
[20]
[21]
[22]
[23]
[24]
[25]
[26]
[27]
[28]
  • Search

    Advanced Search >>

    GET CITATION

    shu

    Export: BibTex EndNote

    Article Metrics

    Article views: 3806 Times PDF downloads: 34 Times Cited by: 0 Times

    History

    Received: 19 April 2014 Revised: Online: Published: 01 December 2015

    Catalog

      Email This Article

      User name:
      Email:*請輸入正確郵箱
      Code:*驗證碼錯誤
      H. Bendjedidi, A. Attaf, H. Saidi, M. S. Aida, S. Semmari, A. Bouhdjar, Y. Benkhetta. Properties of n-type SnO2 semiconductor prepared by spray ultrasonic technique for photovoltaic applications[J]. Journal of Semiconductors, 2015, 36(12): 123002. doi: 10.1088/1674-4926/36/12/123002 ****H. Bendjedidi, A. Attaf, H. Saidi, M. S. Aida, S. Semmari, A. Bouhdjar, Y. Benkhetta. Properties of n-type SnO2 semiconductor prepared by spray ultrasonic technique for photovoltaic applications[J]. J. Semicond., 2015, 36(12): 123002. doi: 10.1088/1674-4926/36/12/123002.
      Citation:
      H. Bendjedidi, A. Attaf, H. Saidi, M. S. Aida, S. Semmari, A. Bouhdjar, Y. Benkhetta. Properties of n-type SnO2 semiconductor prepared by spray ultrasonic technique for photovoltaic applications[J]. Journal of Semiconductors, 2015, 36(12): 123002. doi: 10.1088/1674-4926/36/12/123002 ****
      H. Bendjedidi, A. Attaf, H. Saidi, M. S. Aida, S. Semmari, A. Bouhdjar, Y. Benkhetta. Properties of n-type SnO2 semiconductor prepared by spray ultrasonic technique for photovoltaic applications[J]. J. Semicond., 2015, 36(12): 123002. doi: 10.1088/1674-4926/36/12/123002.

      Properties of n-type SnO2 semiconductor prepared by spray ultrasonic technique for photovoltaic applications

      DOI: 10.1088/1674-4926/36/12/123002
      More Information
      • Corresponding author: Email: h.bendjedidi@gmail.com
      • Received Date: 2014-04-19
      • Accepted Date: 2014-07-07
      • Published Date: 2015-01-25

      Catalog

        /

        DownLoad:  Full-Size Img  PowerPoint
        Return
        Return