J. Semicond. > 2015, Volume 36?>?Issue 12?> 123001

SEMICONDUCTOR MATERIALS

Enhancement of phosphors-solubility in ZnO by thermal annealing

K. Mahmood1, N. Amin1, A. Ali1, M. Ajaz un Nabi1, M. Imran Arshad1, M. Zafar2 and M. Asghar2

+ Author Affiliations

 Corresponding author: K. Mahmood, Email: Khalid_mahmood856@yahoo.com

DOI: 10.1088/1674-4926/36/12/123001

PDF

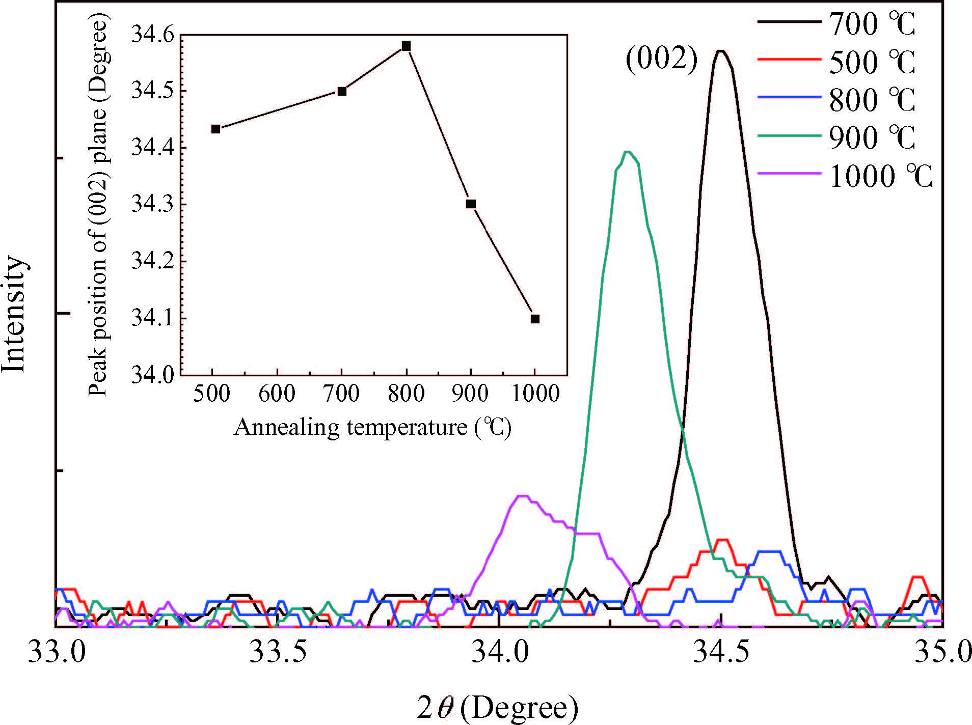
Abstract: We have demonstrated the effect of annealing temperature on the diffusion density of phosphors in zinc oxide. The P-dopant P430 was sprayed on ZnO pellets and annealed at different temperatures from 500 to 1000℃ with a step of 100℃ for one hour using a programmable furnace. The concentration of P was controlled by varying the annealing temperature and the maximum solubility of P(3% At) was achieved at annealing 800℃ determined by energy dispersive X-ray diffraction(EDX) measurements. X-ray diffraction(XRD) confirmed the hexagonal structure of ZnO and showed that the growth direction was along the c-axis. We observed a maximum up shift in the(002) plane at an annealing temperature of 800℃, suggesting that P atoms replaced Zn atoms in the structure which results in the reduction of the lattice constant. Room temperature photoluminescence(PL) spectrum consists of a peak at 3.28 eV and related to band edge emission, but samples annealed at 800 and 900℃ have an additional donor acceptor pair peak at 3.2 eV. Hall effect measurements confirmed the p-type conductivity of the sample annealed at 800℃.

Key words: ZnOP-dopantEDXXRDPL



[1]
[2]
[3]
[4]
[5]
[6]
[7]
[8]
[9]
[10]
[11]
[12]
[13]
[14]
[15]
[16]
Fig. 1.  EDX measurements of bulk ZnO annealed at different temperatures from 500 to 1000 ℃.

Fig. 2.  (Color online) X-ray diffraction pattern of P-doped bulk ZnO annealed from 500 to 1000 ℃. Inset demonstrated the effect of annealing temperature on the peak position of ZnO (002) plane.

Fig. 3.  (Color online) Photoluminescence spectra of P-doped ZnO powder annealed at 500-1100 ℃.

Fig. 4.  Annealing temperature versus carrier concentration graph.

[1]
[2]
[3]
[4]
[5]
[6]
[7]
[8]
[9]
[10]
[11]
[12]
[13]
[14]
[15]
[16]
  • Search

    Advanced Search >>

    GET CITATION

    shu

    Export: BibTex EndNote

    Article Metrics

    Article views: 2943 Times PDF downloads: 18 Times Cited by: 0 Times

    History

    Received: 08 April 2015 Revised: Online: Published: 01 December 2015

    Catalog

      Email This Article

      User name:
      Email:*請輸入正確郵箱
      Code:*驗證碼錯誤
      K. Mahmood, N. Amin, A. Ali, M. Ajaz un Nabi, M. Imran Arshad, M. Zafar, M. Asghar. Enhancement of phosphors-solubility in ZnO by thermal annealing[J]. Journal of Semiconductors, 2015, 36(12): 123001. doi: 10.1088/1674-4926/36/12/123001 ****K. Mahmood, N. Amin, A. Ali, M. Ajaz un Nabi, M. Imran Arshad, M. Zafar, M. Asghar. Enhancement of phosphors-solubility in ZnO by thermal annealing[J]. J. Semicond., 2015, 36(12): 123001. doi: 10.1088/1674-4926/36/12/123001.
      Citation:
      K. Mahmood, N. Amin, A. Ali, M. Ajaz un Nabi, M. Imran Arshad, M. Zafar, M. Asghar. Enhancement of phosphors-solubility in ZnO by thermal annealing[J]. Journal of Semiconductors, 2015, 36(12): 123001. doi: 10.1088/1674-4926/36/12/123001 ****
      K. Mahmood, N. Amin, A. Ali, M. Ajaz un Nabi, M. Imran Arshad, M. Zafar, M. Asghar. Enhancement of phosphors-solubility in ZnO by thermal annealing[J]. J. Semicond., 2015, 36(12): 123001. doi: 10.1088/1674-4926/36/12/123001.

      Enhancement of phosphors-solubility in ZnO by thermal annealing

      DOI: 10.1088/1674-4926/36/12/123001
      More Information
      • Corresponding author: Email: Khalid_mahmood856@yahoo.com
      • Received Date: 2015-04-08
      • Accepted Date: 2015-06-12
      • Published Date: 2015-01-25

      Catalog

        /

        DownLoad:  Full-Size Img  PowerPoint
        Return
        Return