The flexible perovskite light-emitting diodes (FPeLEDs), which can be expediently integrated to portable and wearable devices, have shown great potential in various applications. The FPeLEDs inherit the unique optical properties of metal halide perovskites, such as tunable bandgap, narrow emission linewidth, high photoluminescence quantum yield, and particularly, the soft nature of lattice. At present, substantial efforts have been made for FPeLEDs with encouraging external quantum efficiency (EQE) of 24.5%. Herein, we summarize the recent progress in FPeLEDs, focusing on the strategy developed for perovskite emission layers and flexible electrodes to facilitate the optoelectrical and mechanical performance. In addition, we present relevant applications of FPeLEDs in displays and beyond. Finally, perspective toward the future development and applications of flexible PeLEDs are also discussed.
Two-dimensional (2D) materials have attracted tremendous interest in view of the outstanding optoelectronic properties, showing new possibilities for future photovoltaic devices toward high performance, high specific power and flexibility. In recent years, substantial works have focused on 2D photovoltaic devices, and great progress has been achieved. Here, we present the review of recent advances in 2D photovoltaic devices, focusing on 2D-material-based Schottky junctions, homojunctions, 2D?2D heterojunctions, 2D?3D heterojunctions, and bulk photovoltaic effect devices. Furthermore, advanced strategies for improving the photovoltaic performances are demonstrated in detail. Finally, conclusions and outlooks are delivered, providing a guideline for the further development of 2D photovoltaic devices.
Electrochemical impedance spectroscopy (EIS) flow cytometry offers the advantages of speed, affordability, and portability in cell analysis and cytometry applications. However, the integration challenges of microfluidic and EIS read-out circuits hinder the downsizing of cytometry devices. To address this, we developed a thermal-bubble-driven impedance flow cytometric application-specific integrated circuit (ASIC). The thermal-bubble micropump avoids external piping and equipment, enabling high-throughput designs. With a total of 36 cell counting channels, each measuring 884 × 220 μm2, the chip significantly enhances the throughput of flow cytometers. Each cell counting channel incorporates a differential trans-impedance amplifier (TIA) to amplify weak biosensing signals. By eliminating the parasitic parameters created at the complementary metal-oxide-semiconductor transistor (CMOS)-micro-electromechanical systems (MEMS) interface, the counting accuracy can be increased. The on-chip TIA can adjust feedback resistance from 5 to 60 kΩ to accommodate solutions with different impedances. The chip effectively classifies particles of varying sizes, demonstrated by the average peak voltages of 0.0529 and 0.4510 mV for 7 and 14 μm polystyrene beads, respectively. Moreover, the counting accuracies of the chip for polystyrene beads and MSTO-211H cells are both greater than 97.6%. The chip exhibits potential for impedance flow cytometer at low cost, high-throughput, and miniaturization for the application of point-of-care diagnostics.
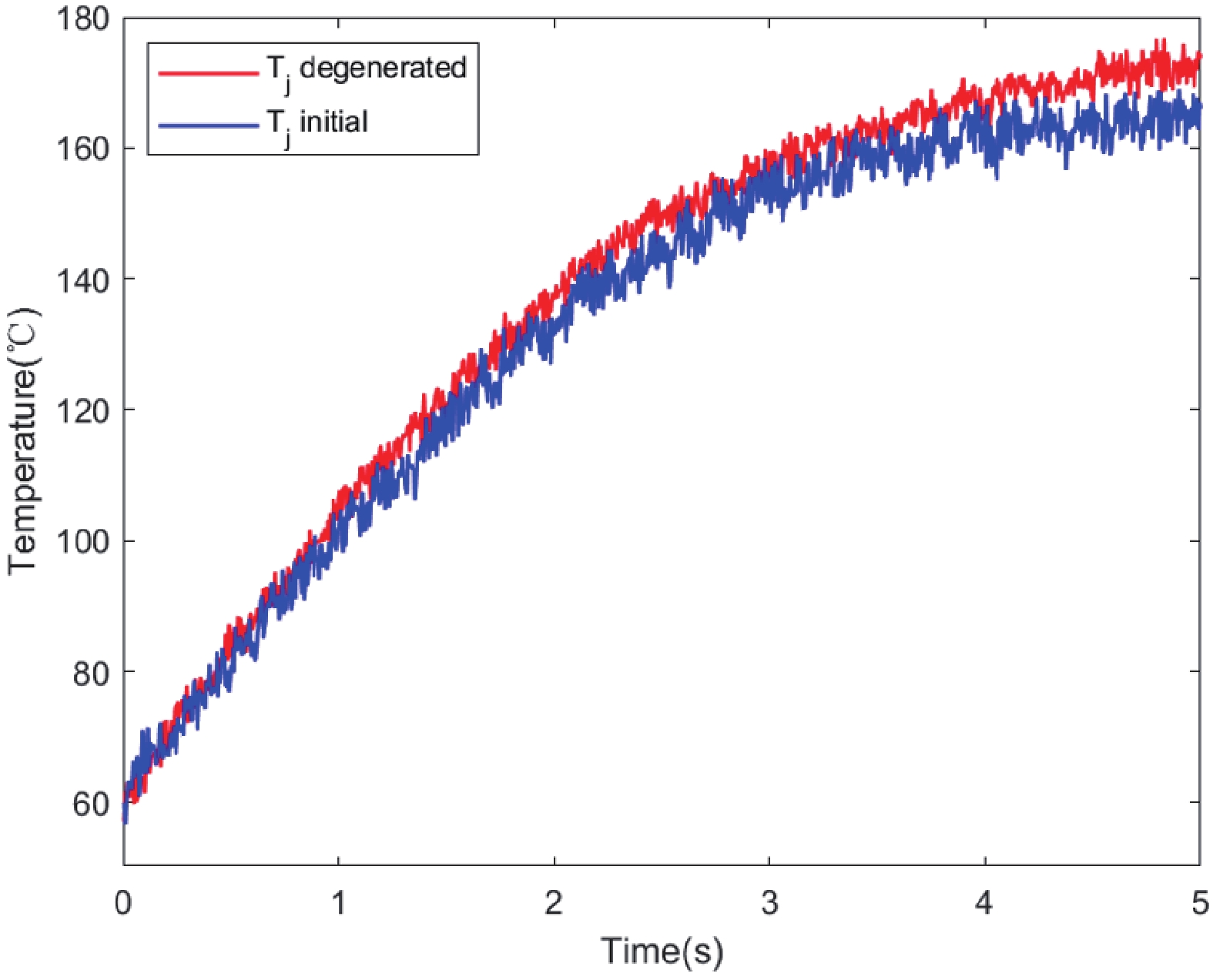
There are challenges to the reliability evaluation for insulated gate bipolar transistors (IGBT) on electric vehicles, such as junction temperature measurement, computational and storage resources. In this paper, a junction temperature estimation approach based on neural network without additional cost is proposed and the lifetime calculation for IGBT using electric vehicle big data is performed. The direct current (DC) voltage, operation current, switching frequency, negative thermal coefficient thermistor (NTC) temperature and IGBT lifetime are inputs. And the junction temperature (Tj) is output. With the rain flow counting method, the classified irregular temperatures are brought into the life model for the failure cycles. The fatigue accumulation method is then used to calculate the IGBT lifetime. To solve the limited computational and storage resources of electric vehicle controllers, the operation of IGBT lifetime calculation is running on a big data platform. The lifetime is then transmitted wirelessly to electric vehicles as input for neural network. Thus the junction temperature of IGBT under long-term operating conditions can be accurately estimated. A test platform of the motor controller combined with the vehicle big data server is built for the IGBT accelerated aging test. Subsequently, the IGBT lifetime predictions are derived from the junction temperature estimation by the neural network method and the thermal network method. The experiment shows that the lifetime prediction based on a neural network with big data demonstrates a higher accuracy than that of the thermal network, which improves the reliability evaluation of system.
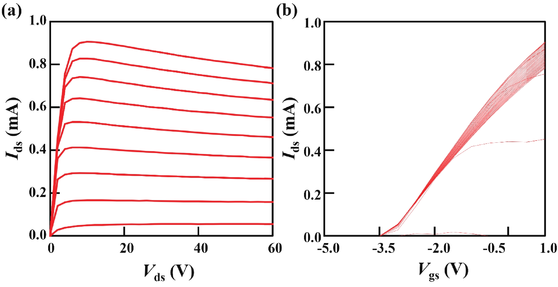
An accurate and novel small-signal equivalent circuit model for GaN high-electron-mobility transistors (HEMTs) is proposed, which considers a dual-field-plate (FP) made up of a gate-FP and a source-FP. The equivalent circuit of the overall model is composed of parasitic elements, intrinsic transistors, gate-FP, and source-FP networks. The equivalent circuit of the gate-FP is identical to that of the intrinsic transistor. In order to simplify the complexity of the model, a series combination of a resistor and a capacitor is employed to represent the source-FP. The analytical extraction procedure of the model parameters is presented based on the proposed equivalent circuit. The verification is carried out on a 4 × 250 μm GaN HEMT device with a gate-FP and a source-FP in a 0.45 μm technology. Compared with the classic model, the proposed novel small-signal model shows closer agreement with measured S-parameters in the range of 1.0 to 18.0 GHz.
Reducing the process variation is a significant concern for resistive random access memory (RRAM). Due to its ultra-high integration density, RRAM arrays are prone to lithographic variation during the lithography process, introducing electrical variation among different RRAM devices. In this work, an optical physical verification methodology for the RRAM array is developed, and the effects of different layout parameters on important electrical characteristics are systematically investigated. The results indicate that the RRAM devices can be categorized into three clusters according to their locations and lithography environments. The read resistance is more sensitive to the locations in the array (~30%) than SET/RESET voltage (<10%). The increase in the RRAM device length and the application of the optical proximity correction technique can help to reduce the variation to less than 10%, whereas it reduces RRAM read resistance by 4×, resulting in a higher power and area consumption. As such, we provide design guidelines to minimize the electrical variation of RRAM arrays due to the lithography process.
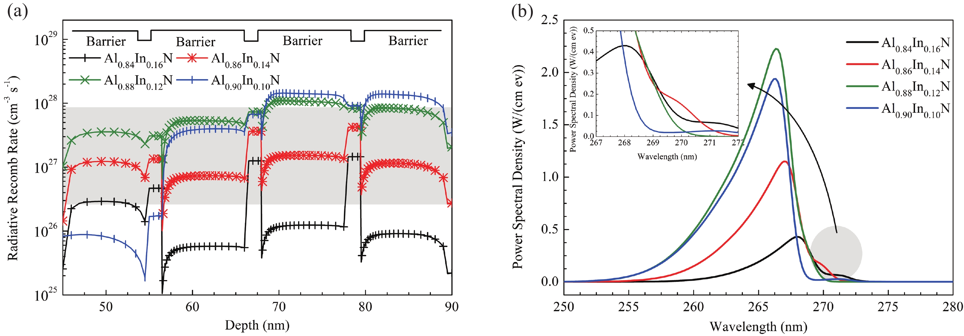
This work reports the growth and characterization of p-AlInN layers doped with Mg by plasma-assisted molecular beam epitaxy (PAMBE). AlInN was grown with an Al molar fraction of 0.80 by metal-modulated epitaxy (MME) with a thickness of 180 nm on Si(111) substrates using AlN as buffer layers. Low substrate temperatures were used to enhance the incorporation of indium atoms into the alloy without clustering, as confirmed by X-ray diffraction (XRD). Cathodoluminescence measurements revealed ultraviolet (UV) range emissions. Meanwhile, Hall effect measurements indicated a maximum hole mobility of 146 cm2/(V?s), corresponding to a free hole concentration of 1.23 × 1019 cm?3. The samples were analyzed by X-ray photoelectron spectroscopy (XPS) estimating the alloy composition and extracting the Fermi level by valence band analysis. Mg-doped AlInN layers were studied for use as the electron-blocking layer (EBL) in LED structures. We varied the Al composition in the EBL from 0.84 to 0.96 molar fraction to assess its theoretical effects on electroluminescence, carrier concentration, and electric field, using SILVACO Atlas. The results from this study highlight the importance and capability of producing high-quality Mg-doped p-AlInN layers through PAMBE. Our simulations suggest that an Al content of 0.86 is optimal for achieving desired outcomes in electroluminescence, carrier concentration, and electric field.
High quality β-Ga2O3 single crystal nanobelts with length of 2?3 mm and width from tens of microns to 132 μm were synthesized by carbothermal reduction method. Based on the grown nanobelt with the length of 600 μm, the dual-Schottky-junctions coupling device (DSCD) was fabricated. Due to the electrically floating Ga2O3 nanobelt region coupling with the double Schottky-junctions, the current IS2 increases firstly and rapidly reaches into saturation as increase the voltage VS2. The saturation current is about 10 pA, which is two orders of magnitude lower than that of a single Schottky-junction. In the case of solar-blind ultraviolet (UV) light irradiation, the photogenerated electrons further aggravate the coupling physical mechanism in device. IS2 increases as the intensity of UV light increases. Under the UV light of 1820 μW/cm2, IS2 quickly enters the saturation state. At VS2 = 10 V, photo-to-dark current ratio (PDCR) of the device reaches more than 104, the external quantum efficiency (EQE) is 1.6 × 103%, and the detectivity (D*) is 7.5 × 1012 Jones. In addition, the device has a very short rise and decay times of 25?54 ms under different positive and negative bias. DSCD shows unique electrical and optical control characteristics, which will open a new way for the application of nanobelt-based devices.
Two-dimension (2D) van der Waals heterojunction holds essential promise in achieving high-performance flexible near-infrared (NIR) photodetector. Here, we report the successful fabrication of ZnSb/Ti3C2Tx MXene based flexible NIR photodetector array via a facile photolithography technology. The single ZnSb/Ti3C2Tx photodetector exhibited a high light-to-dark current ratio of 4.98, fast response/recovery time (2.5/1.3 s) and excellent stability due to the tight connection between 2D ZnSb nanoplates and 2D Ti3C2Tx MXene nanoflakes, and the formed 2D van der Waals heterojunction. Thin polyethylene terephthalate (PET) substrate enables the ZnSb/Ti3C2Tx photodetector withstand bending such that stable photoelectrical properties with non-obvious change were maintained over 5000 bending cycles. Moreover, the ZnSb/Ti3C2Tx photodetectors were integrated into a 26 × 5 device array, realizing a NIR image sensing application.


