ARTICLES
Zhenwu Liu1, 2, Li Zhong1, 2, , Suping Liu1, and Xiaoyu Ma1, 2
Corresponding author: Li Zhong, zhongli@semi.ac.cn; Suping Liu, spliu@semi.ac.cn
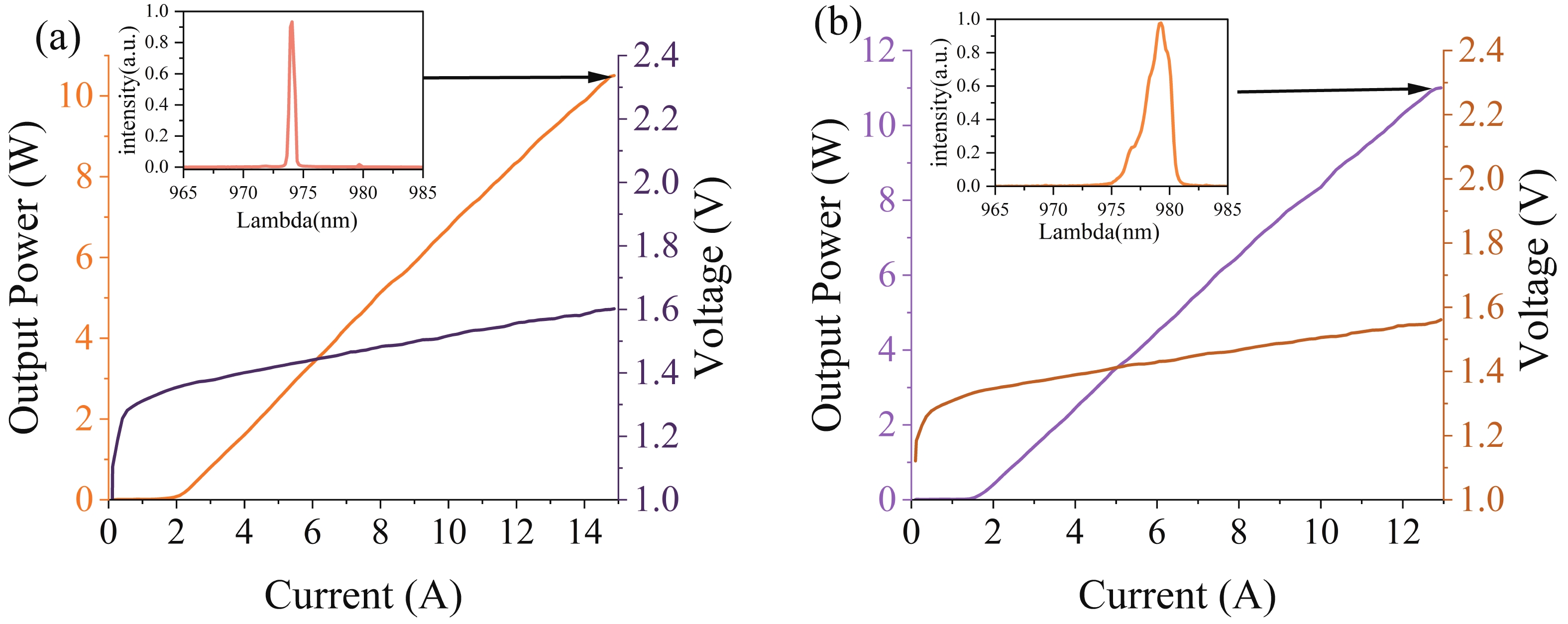
Abstract: The 975 nm multimode diode lasers with high-order surface Bragg diffraction gratings have been simulated and calculated using the 2D finite difference time domain (FDTD) algorithm and the scattering matrix method (SMM). The periods and etch depth of the grating parameters have been optimized. A board area laser diode (BA-LD) with high-order diffraction gratings has been designed and fabricated. At output powers up to 10.5 W, the measured spectral width of full width at half maximum (FWHM) is less than 0.5 nm. The results demonstrate that the designed high-order surface gratings can effectively narrow the spectral width of multimode semiconductor lasers at high output power.
Key words: laser diodes, distributed Bragg reflector, high order gratings, high power laser diodes, narrow spectrum width
| [1] |
Sohail M, Khan N Z, Chen T H, et al. 1.3 kW continuous wave output power of ytterbium-doped large-core fiber laser. ECS J Solid State Sci Technol, 2021, 10(2), 026005 doi: 10.1149/2162-8777/abe6f6
|
| [2] |
Mirza J, Ghafoor S, Kousar A, et al. Design of a continuous-wave ytterbium-doped tunable fiber laser pump for thulium-doped fiber amplifiers. Arab J Sci Eng, 2022, 47(3), 3541 doi: 10.1007/s13369-021-06440-7
|
| [3] |
Anashkina E A, Andrianov A V, Dorofeev V V, et al. Development of infrared fiber lasers at 1555?nm and at 2800?nm based on Er-doped zinc-tellurite glass fiber. J Non Cryst Solids, 2019, 525, 119667 doi: 10.1016/j.jnoncrysol.2019.119667
|
| [4] |
Gu Y Y, Fu Y M, Lu H, et al. The theoretical calculation and output characteristic analysis of Yb doped fiber laser. 2020 IEEE 5th Information Technology and Mechatronics Engineering Conference (ITOEC), 2020, 1745 doi: 10.1109/ITOEC49072.2020.9141632
|
| [5] |
Ma X Y, Zhang N L, Zhong L, et al. Research progress of high power semiconductor laser pump source. High Power Laser And Particle Beams, 2020, 32(12), 121010 doi: 10.11884/HPLPB202032.200236
|
| [6] |
Lang X K, Jia P, Chen Y Y, et al. Advances in narrow linewidth diode lasers. Sci China Inf Sci, 2019, 62, 1 doi: 10.1007/s11432-019-9870-0
|
| [7] |
Jiang L L, Achtenhagen M, Amarasinghe N V, et al. High-power DBR laser diodes grown in a single epitaxial step. Novel in-Plane Semiconductor Lasers VIII, 2009, 7230, 283 doi: 10.1117/12.807872
|
| [8] |
Bachmann F G. High-power diode laser technology and applications. High-Power Lasers in Manufacturing, 2000, 3888, 394 doi: 10.1117/12.377093
|
| [9] |
Paoletti R, Coriasso C, Meneghini G, et al. Wavelength-stabilized DBR high-power diode laser. J Phys Photonics, 2020, 2, 014010 doi: 10.1088/2515-7647/ab6712
|
| [10] |
Lang X K, Jia P, Qin L, et al. 980 nm high-power tapered semiconductor laser with high order gratings. Journal of Infrared and Millimeter Waves, 2021, 40, 721 doi: 10.11972/j.issn.1001-9014.2021.06.003
|
| [11] |
Zolotarev V V, Leshko A Y, Pikhtin N A, et al. Integrated high-order surface diffraction gratings for diode lasers. Quantum Electron, 2015, 45(12), 1091 doi: 10.1070/QE2015v045n12ABEH015871
|
| [12] |
Zolotarev V V, Yu Leshko A, Shamakhov V V, et al. Continuous wave and pulse (2–100 ns) high power AlGaAs/GaAs laser diodes (1050 nm) based on high and low reflective 13th order DBR. Semicond Sci Technol, 2020, 35(1), 015009 doi: 10.1088/1361-6641/ab5435
|
| [13] |
Sullivan D M. Electromagnetic simulation using the FDTD method. John Wiley & Sons, 2013, 1, 1
|
| [14] |
Rumpf R C. Improved formulation of scattering matrices for semi-analytical methods that is consistent with convention. Prog Electromagn Res B, 2011, 35, 241 doi: 10.2528/PIERB11083107
|
| [15] |
Palmer C, Loewen E G. Diffraction grating handbook. New York: Newport Corporation, 2005
|
| [16] |
Man Y X, Zhong L, Ma X Y, et al. 975 nm semiconductor lasers with ultra-low internal optical loss. Acta Opt Sin, 2020, 40(19), 1914001 doi: 10.3788/AOS202040.1914001
|
| [17] |
Adachi S. GaAs, AlAs, and AlxGa1? xAs: Material parameters for use in research and device applications. J Appl Phys, 1985, 58(3), R1 doi: 10.1063/1.336070
|
| [18] |
Seifert S, Runge P. Revised refractive index and absorption of In1-xGaxAsyP1-y lattice-matched to InP in transparent and absorption IR-region. Opt Mater Express, 2016, 6, 629 doi: 10.1364/OME.6.000629
|
| [19] |
Sun W, Zhao G Y, Lu Q Y, et al. High-speed directly modulated lasers based on high-order slotted surface gratings. Physics and Simulation of Optoelectronic Devices XXV, 2017, 10098, 166 doi: 10.1117/12.2254127
|
| [20] |
Streifer W, Scifres D, Burnham R. Coupled wave analysis of DFB and DBR lasers. IEEE J Quantum Electron, 1977, 13, 134 doi: 10.1109/JQE.1977.1069328
|
| [21] |
Kang J H, Wenzel H, Freier E, et al. Continuous-wave operation of 405 nm distributed Bragg reflector laser diodes based on GaN using 10th-order surface gratings. Photon Res, 2022, 10(5), 1157 doi: 10.1364/PRJ.444947
|
Table 1. Epitaxial structures of the laser diode.
| Layer type | Material | Thickness (nm) |
| Contact | P-GaAs | 200 |
| P-cladding | P-AlGaAs | 1000 |
| P-waveguide | P-AlGaAs | 600 |
| QW | InGaAs/AlGaAs | ? |
| N-waveguide | N-AlGaAs | 900 |
| N-cladding | N-AlGaAs | 1000 |
| Buffer | N-GaAs | 300 |
| Substrate | N-GaAs | ? |
DownLoad: CSV
| [1] |
Sohail M, Khan N Z, Chen T H, et al. 1.3 kW continuous wave output power of ytterbium-doped large-core fiber laser. ECS J Solid State Sci Technol, 2021, 10(2), 026005 doi: 10.1149/2162-8777/abe6f6
|
| [2] |
Mirza J, Ghafoor S, Kousar A, et al. Design of a continuous-wave ytterbium-doped tunable fiber laser pump for thulium-doped fiber amplifiers. Arab J Sci Eng, 2022, 47(3), 3541 doi: 10.1007/s13369-021-06440-7
|
| [3] |
Anashkina E A, Andrianov A V, Dorofeev V V, et al. Development of infrared fiber lasers at 1555?nm and at 2800?nm based on Er-doped zinc-tellurite glass fiber. J Non Cryst Solids, 2019, 525, 119667 doi: 10.1016/j.jnoncrysol.2019.119667
|
| [4] |
Gu Y Y, Fu Y M, Lu H, et al. The theoretical calculation and output characteristic analysis of Yb doped fiber laser. 2020 IEEE 5th Information Technology and Mechatronics Engineering Conference (ITOEC), 2020, 1745 doi: 10.1109/ITOEC49072.2020.9141632
|
| [5] |
Ma X Y, Zhang N L, Zhong L, et al. Research progress of high power semiconductor laser pump source. High Power Laser And Particle Beams, 2020, 32(12), 121010 doi: 10.11884/HPLPB202032.200236
|
| [6] |
Lang X K, Jia P, Chen Y Y, et al. Advances in narrow linewidth diode lasers. Sci China Inf Sci, 2019, 62, 1 doi: 10.1007/s11432-019-9870-0
|
| [7] |
Jiang L L, Achtenhagen M, Amarasinghe N V, et al. High-power DBR laser diodes grown in a single epitaxial step. Novel in-Plane Semiconductor Lasers VIII, 2009, 7230, 283 doi: 10.1117/12.807872
|
| [8] |
Bachmann F G. High-power diode laser technology and applications. High-Power Lasers in Manufacturing, 2000, 3888, 394 doi: 10.1117/12.377093
|
| [9] |
Paoletti R, Coriasso C, Meneghini G, et al. Wavelength-stabilized DBR high-power diode laser. J Phys Photonics, 2020, 2, 014010 doi: 10.1088/2515-7647/ab6712
|
| [10] |
Lang X K, Jia P, Qin L, et al. 980 nm high-power tapered semiconductor laser with high order gratings. Journal of Infrared and Millimeter Waves, 2021, 40, 721 doi: 10.11972/j.issn.1001-9014.2021.06.003
|
| [11] |
Zolotarev V V, Leshko A Y, Pikhtin N A, et al. Integrated high-order surface diffraction gratings for diode lasers. Quantum Electron, 2015, 45(12), 1091 doi: 10.1070/QE2015v045n12ABEH015871
|
| [12] |
Zolotarev V V, Yu Leshko A, Shamakhov V V, et al. Continuous wave and pulse (2–100 ns) high power AlGaAs/GaAs laser diodes (1050 nm) based on high and low reflective 13th order DBR. Semicond Sci Technol, 2020, 35(1), 015009 doi: 10.1088/1361-6641/ab5435
|
| [13] |
Sullivan D M. Electromagnetic simulation using the FDTD method. John Wiley & Sons, 2013, 1, 1
|
| [14] |
Rumpf R C. Improved formulation of scattering matrices for semi-analytical methods that is consistent with convention. Prog Electromagn Res B, 2011, 35, 241 doi: 10.2528/PIERB11083107
|
| [15] |
Palmer C, Loewen E G. Diffraction grating handbook. New York: Newport Corporation, 2005
|
| [16] |
Man Y X, Zhong L, Ma X Y, et al. 975 nm semiconductor lasers with ultra-low internal optical loss. Acta Opt Sin, 2020, 40(19), 1914001 doi: 10.3788/AOS202040.1914001
|
| [17] |
Adachi S. GaAs, AlAs, and AlxGa1? xAs: Material parameters for use in research and device applications. J Appl Phys, 1985, 58(3), R1 doi: 10.1063/1.336070
|
| [18] |
Seifert S, Runge P. Revised refractive index and absorption of In1-xGaxAsyP1-y lattice-matched to InP in transparent and absorption IR-region. Opt Mater Express, 2016, 6, 629 doi: 10.1364/OME.6.000629
|
| [19] |
Sun W, Zhao G Y, Lu Q Y, et al. High-speed directly modulated lasers based on high-order slotted surface gratings. Physics and Simulation of Optoelectronic Devices XXV, 2017, 10098, 166 doi: 10.1117/12.2254127
|
| [20] |
Streifer W, Scifres D, Burnham R. Coupled wave analysis of DFB and DBR lasers. IEEE J Quantum Electron, 1977, 13, 134 doi: 10.1109/JQE.1977.1069328
|
| [21] |
Kang J H, Wenzel H, Freier E, et al. Continuous-wave operation of 405 nm distributed Bragg reflector laser diodes based on GaN using 10th-order surface gratings. Photon Res, 2022, 10(5), 1157 doi: 10.1364/PRJ.444947
|
Article views: 1167 Times PDF downloads: 70 Times Cited by: 0 Times
Received: 21 June 2023 Revised: 09 November 2023 Online: Accepted Manuscript: 26 December 2023Uncorrected proof: 27 December 2023Published: 15 March 2024
| Citation: |
Zhenwu Liu, Li Zhong, Suping Liu, Xiaoyu Ma. 975 nm multimode semiconductor lasers with high-order Bragg diffraction gratings[J]. Journal of Semiconductors, 2024, 45(3): 032401. doi: 10.1088/1674-4926/45/3/032401
****
Z W Liu, L Zhong, S P Liu, X Y Ma. 975 nm multimode semiconductor lasers with high-order Bragg diffraction gratings[J]. J. Semicond, 2024, 45(3): 032401. doi: 10.1088/1674-4926/45/3/032401
|
Zhenwu Liu got his BS from Nanjing University of Posts and Telecommunications in 2020. Now he is a PhD student at University of Chinese Academy of Sciences under the supervision of Prof. Xiaoyu Ma. His research focuses on high power semiconductor lasers
Li Zhong is a researcher and doctoral supervisor. She obtained her bachelor's degree in Engineering from Jilin University in 2003 and her PhD in Engineering from the Institute of Semiconductors, Chinese Academy of Sciences, in 2008. In the same year, she joined the Institute of Semiconductors, Chinese Academy of Sciences, where she has been working ever since. Her research focuses on the development of semiconductor lasers and the physics of semiconductor devices
Suping Liu got her BS degree in 1992 and MS degree in 1995 at Jilin University. Then she joined Xiaoyu Ma Group at Institute of Semiconductors, Chinese Academy of Sciences as a senior engineer. Her research interests include high power semiconductor lasers and their components, solid state lasers and storage lasers
| [1] |
Sohail M, Khan N Z, Chen T H, et al. 1.3 kW continuous wave output power of ytterbium-doped large-core fiber laser. ECS J Solid State Sci Technol, 2021, 10(2), 026005 doi: 10.1149/2162-8777/abe6f6
|
| [2] |
Mirza J, Ghafoor S, Kousar A, et al. Design of a continuous-wave ytterbium-doped tunable fiber laser pump for thulium-doped fiber amplifiers. Arab J Sci Eng, 2022, 47(3), 3541 doi: 10.1007/s13369-021-06440-7
|
| [3] |
Anashkina E A, Andrianov A V, Dorofeev V V, et al. Development of infrared fiber lasers at 1555?nm and at 2800?nm based on Er-doped zinc-tellurite glass fiber. J Non Cryst Solids, 2019, 525, 119667 doi: 10.1016/j.jnoncrysol.2019.119667
|
| [4] |
Gu Y Y, Fu Y M, Lu H, et al. The theoretical calculation and output characteristic analysis of Yb doped fiber laser. 2020 IEEE 5th Information Technology and Mechatronics Engineering Conference (ITOEC), 2020, 1745 doi: 10.1109/ITOEC49072.2020.9141632
|
| [5] |
Ma X Y, Zhang N L, Zhong L, et al. Research progress of high power semiconductor laser pump source. High Power Laser And Particle Beams, 2020, 32(12), 121010 doi: 10.11884/HPLPB202032.200236
|
| [6] |
Lang X K, Jia P, Chen Y Y, et al. Advances in narrow linewidth diode lasers. Sci China Inf Sci, 2019, 62, 1 doi: 10.1007/s11432-019-9870-0
|
| [7] |
Jiang L L, Achtenhagen M, Amarasinghe N V, et al. High-power DBR laser diodes grown in a single epitaxial step. Novel in-Plane Semiconductor Lasers VIII, 2009, 7230, 283 doi: 10.1117/12.807872
|
| [8] |
Bachmann F G. High-power diode laser technology and applications. High-Power Lasers in Manufacturing, 2000, 3888, 394 doi: 10.1117/12.377093
|
| [9] |
Paoletti R, Coriasso C, Meneghini G, et al. Wavelength-stabilized DBR high-power diode laser. J Phys Photonics, 2020, 2, 014010 doi: 10.1088/2515-7647/ab6712
|
| [10] |
Lang X K, Jia P, Qin L, et al. 980 nm high-power tapered semiconductor laser with high order gratings. Journal of Infrared and Millimeter Waves, 2021, 40, 721 doi: 10.11972/j.issn.1001-9014.2021.06.003
|
| [11] |
Zolotarev V V, Leshko A Y, Pikhtin N A, et al. Integrated high-order surface diffraction gratings for diode lasers. Quantum Electron, 2015, 45(12), 1091 doi: 10.1070/QE2015v045n12ABEH015871
|
| [12] |
Zolotarev V V, Yu Leshko A, Shamakhov V V, et al. Continuous wave and pulse (2–100 ns) high power AlGaAs/GaAs laser diodes (1050 nm) based on high and low reflective 13th order DBR. Semicond Sci Technol, 2020, 35(1), 015009 doi: 10.1088/1361-6641/ab5435
|
| [13] |
Sullivan D M. Electromagnetic simulation using the FDTD method. John Wiley & Sons, 2013, 1, 1
|
| [14] |
Rumpf R C. Improved formulation of scattering matrices for semi-analytical methods that is consistent with convention. Prog Electromagn Res B, 2011, 35, 241 doi: 10.2528/PIERB11083107
|
| [15] |
Palmer C, Loewen E G. Diffraction grating handbook. New York: Newport Corporation, 2005
|
| [16] |
Man Y X, Zhong L, Ma X Y, et al. 975 nm semiconductor lasers with ultra-low internal optical loss. Acta Opt Sin, 2020, 40(19), 1914001 doi: 10.3788/AOS202040.1914001
|
| [17] |
Adachi S. GaAs, AlAs, and AlxGa1? xAs: Material parameters for use in research and device applications. J Appl Phys, 1985, 58(3), R1 doi: 10.1063/1.336070
|
| [18] |
Seifert S, Runge P. Revised refractive index and absorption of In1-xGaxAsyP1-y lattice-matched to InP in transparent and absorption IR-region. Opt Mater Express, 2016, 6, 629 doi: 10.1364/OME.6.000629
|
| [19] |
Sun W, Zhao G Y, Lu Q Y, et al. High-speed directly modulated lasers based on high-order slotted surface gratings. Physics and Simulation of Optoelectronic Devices XXV, 2017, 10098, 166 doi: 10.1117/12.2254127
|
| [20] |
Streifer W, Scifres D, Burnham R. Coupled wave analysis of DFB and DBR lasers. IEEE J Quantum Electron, 1977, 13, 134 doi: 10.1109/JQE.1977.1069328
|
| [21] |
Kang J H, Wenzel H, Freier E, et al. Continuous-wave operation of 405 nm distributed Bragg reflector laser diodes based on GaN using 10th-order surface gratings. Photon Res, 2022, 10(5), 1157 doi: 10.1364/PRJ.444947
|
Journal of Semiconductors © 2017 All Rights Reserved 京ICP備05085259號-2