ARTICLES
Shuyu Wu1, 4, Rongrong Cao3, Hao Jiang2, , Yu Li2, Xumeng Zhang2, Yang Yang1, Yan Wang1, Yingfen Wei2, and Qi Liu2
Corresponding author: Hao Jiang, haoj@fudan.edu.cn; Yingfen Wei, yingfen_wei@fudan.edu.cn
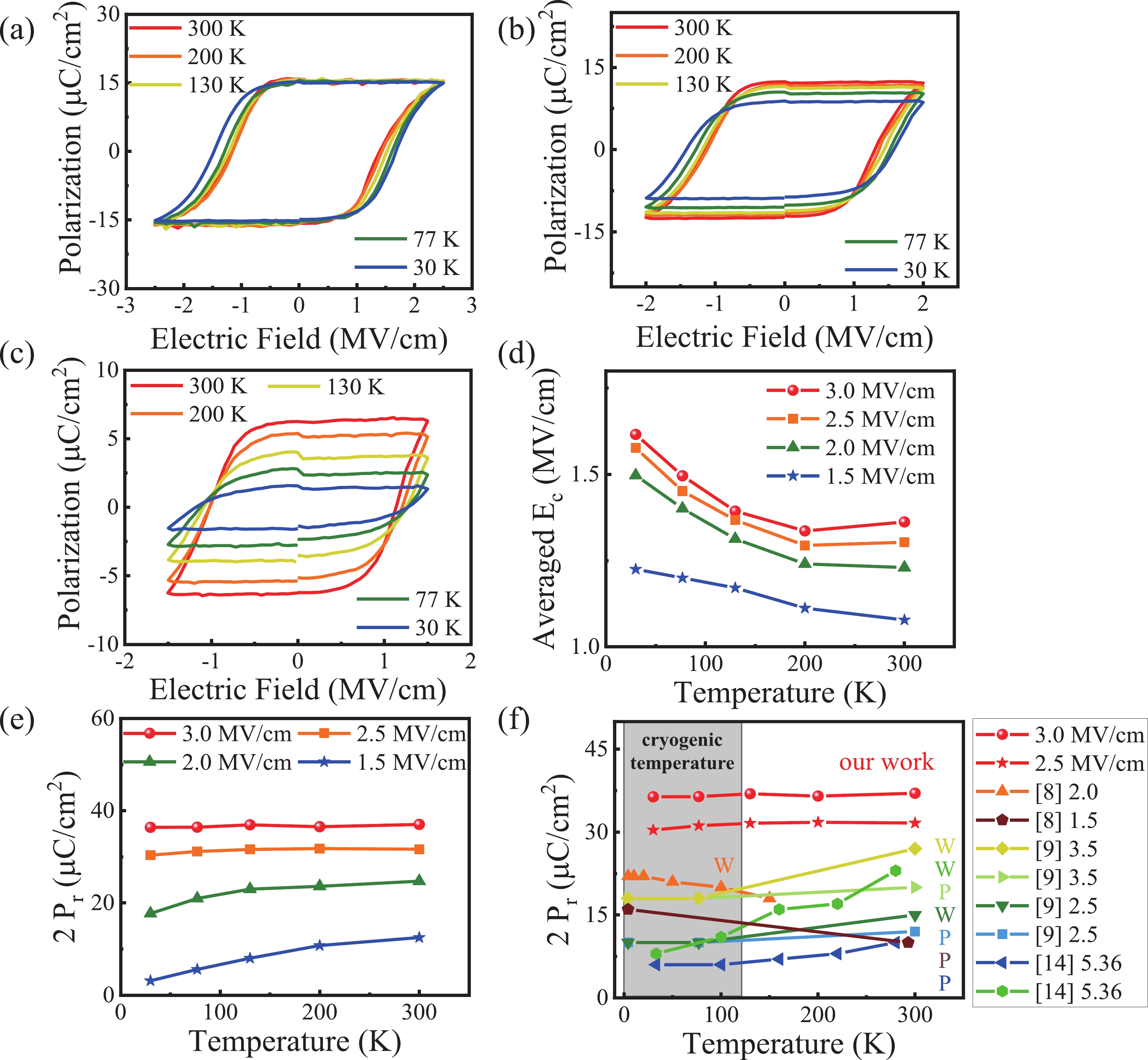
Abstract: The performance and reliability of ferroelectric thin films at temperatures around a few Kelvin are critical for their application in cryo-electronics. In this work, TiN/Hf0.5Zr0.5O2/TiN capacitors that are free from the wake-up effect are investigated systematically from room temperature (300 K) to cryogenic temperature (30 K). We observe a consistent decrease in permittivity (εr) and a progressive increase in coercive electric field (Ec) as temperatures decrease. Our investigation reveals exceptional stability in the double remnant polarization (2Pr) of our ferroelectric thin films across a wide temperature range. Specifically, at 30 K, a 2Pr of 36 μC/cm2 under an applied electric field of 3.0 MV/cm is achieved. Moreover, we observed a reduced fatigue effect at 30 K in comparison to 300 K. The stable ferroelectric properties and endurance characteristics demonstrate the feasibility of utilizing HfO2 based ferroelectric thin films for cryo-electronics applications.
Key words: hafnia-zirconia solid solution, ferroelectricity, cryogenic temperature, wake-up effect
| [1] |
B?scke T S, Müller J, Br?uhaus D, et al. Ferroelectricity in hafnium oxide thin films. Appl Phys Lett, 2011, 99, 102903 doi: 10.1063/1.3634052
|
| [2] |
Cheema S S, Kwon D, Shanker N, et al. Enhanced ferroelectricity in ultrathin films grown directly on silicon. Nature, 2020, 580, 478 doi: 10.1038/s41586-020-2208-x
|
| [3] |
Banerjee W, Kashir A, Kamba S. Hafnium oxide (HfO2)–A multifunctional oxide: A review on the prospect and challenges of hafnium oxide in resistive switching and ferroelectric memories. Small, 2022, 18, 2107575 doi: 10.1002/smll.202107575
|
| [4] |
Khan A I, Keshavarzi A, Datta S. The future of ferroelectric field-effect transistor technology. Nat Electron, 2020, 3, 588 doi: 10.1038/s41928-020-00492-7
|
| [5] |
Cao R R, Zhang X M, Liu S, et al. Compact artificial neuron based on anti-ferroelectric transistor. Nat Commun, 2022, 13, 7018 doi: 10.1038/s41467-022-34774-9
|
| [6] |
https://trc.nist.gov/cryogenics
|
| [7] |
Müller J, B?scke T S, Schr?der U, et al. Ferroelectricity in simple binary ZrO2 and HfO2. Nano Lett, 2012, 12, 4318 doi: 10.1021/nl302049k
|
| [8] |
Henry M D, Smith S W, Lewis R M, et al. Stabilization of ferroelectric phase of Hf0.58Zr0.42O2 on NbN at 4 K. Appl Phys Lett, 2019, 114, 092903 doi: 10.1063/1.5052435
|
| [9] |
Hur J, Luo Y C, Wang Z, et al. Characterizing ferroelectric properties of Hf0.5Zr0.5O2 from deep-cryogenic temperature (4 K) to 400 K. IEEE J Explor Solid State Comput Devices Circuits, 2021, 7, 168 doi: 10.1109/JXCDC.2021.3130783
|
| [10] |
Park M H, Chung C C, Schenk T, et al. Origin of temperature-dependent ferroelectricity in Si-doped HfO2. Adv Elect Materials, 2018, 4, 1700489 doi: 10.1002/aelm.201700489
|
| [11] |
Zhou D Y, Guan Y, Vopson M M, et al. Electric field and temperature scaling of polarization reversal in silicon doped hafnium oxide ferroelectric thin films. Acta Mater, 2015, 99, 240 doi: 10.1016/j.actamat.2015.07.035
|
| [12] |
Wang D, Wang J L, Li Q A, et al. Stable ferroelectric properties of Hf0.5Zr0.5O2 thin films within a broad working temperature range. Jpn J Appl Phys, 2019, 58, 090910 doi: 10.7567/1347-4065/ab3844
|
| [13] |
Pe?i? M, Fengler F P G, Larcher L, et al. Physical mechanisms behind the field-cycling behavior of HfO2-based ferroelectric capacitors. Adv Funct Materials, 2016, 26, 4601 doi: 10.1002/adfm.201600590
|
| [14] |
Adkins J W, Fina I, Sánchez F, et al. Thermal evolution of ferroelectric behavior in epitaxial Hf0.5Zr0.5O2. Appl Phys Lett, 2020, 117, 142902 doi: 10.1063/5.0015547
|
| [15] |
Liu H, Yang Q Y, Jin C J, et al. Mobile-ionic FETs with ultra-scaled amorphous dielectric achieving ferroelectric behaviors and sub-kT/q swing with temperature down to 77 K. Sci China Inf Sci, 2023, 67, 119401 doi: 10.1007/s11432-022-3721-0
|
| [16] |
Jiang P F, Luo Q, Xu X X, et al. Wake-up effect in HfO2-based ferroelectric films. Adv Elect Materials, 2021, 7, 2000728 doi: 10.1002/aelm.202000728
|
| [17] |
Silva J P B, Sekhar K C, Negrea R F, et al. Progress and perspective on different strategies to achieve wake-up-free ferroelectric hafnia and zirconia-based thin films. Appl Mater Today, 2022, 26, 101394 doi: 10.1016/j.apmt.2022.101394
|
| [18] |
Park M H, Kim H J, Kim Y J, et al. Study on the internal field and conduction mechanism of atomic layer deposited ferroelectric Hf0.5Zr0.5O2 thin films. J Mater Chem C, 2015, 3, 6291 doi: 10.1039/C5TC01074H
|
| [19] |
Jiang H, Bhuiyan M A, Liu Z, et al. A study of BEOL processed Hf0.5Zr0.5O2- based ferroelectric capacitors and their potential for automotive applications. 2020 IEEE International Memory Workshop (IMW), 2020 doi: 10.1109/IMW48823.2020.9108113
|
| [20] |
Park M H, Kim H J, Kim Y J, et al. Giant negative electrocaloric effects of Hf0.5Zr0.5O2 thin films. Adv Mater, 2016, 28, 7956 doi: 10.1002/adma.201602787
|
| [21] |
Hsiang K Y, Lee J Y, Lou Z F, et al. Cryogenic endurance of anti-ferroelectric and ferroelectric Hf1-xZrxO2 for quantum computing applications. 2023 IEEE International Reliability Physics Symposium (IRPS), 2023 doi: 10.1109/IRPS48203.2023.10118311
|
| [22] |
Chen J, Jin C, Yu X, et al. Impact of oxygen vacancy on ferroelectric characteristics and its implication for wake-up and fatigue of HfO2-based thin films. IEEE Trans Electron Devices, 2022, 69(9), 5297 doi: 10.1109/TED.2022.3190256
|
| [1] |
B?scke T S, Müller J, Br?uhaus D, et al. Ferroelectricity in hafnium oxide thin films. Appl Phys Lett, 2011, 99, 102903 doi: 10.1063/1.3634052
|
| [2] |
Cheema S S, Kwon D, Shanker N, et al. Enhanced ferroelectricity in ultrathin films grown directly on silicon. Nature, 2020, 580, 478 doi: 10.1038/s41586-020-2208-x
|
| [3] |
Banerjee W, Kashir A, Kamba S. Hafnium oxide (HfO2)–A multifunctional oxide: A review on the prospect and challenges of hafnium oxide in resistive switching and ferroelectric memories. Small, 2022, 18, 2107575 doi: 10.1002/smll.202107575
|
| [4] |
Khan A I, Keshavarzi A, Datta S. The future of ferroelectric field-effect transistor technology. Nat Electron, 2020, 3, 588 doi: 10.1038/s41928-020-00492-7
|
| [5] |
Cao R R, Zhang X M, Liu S, et al. Compact artificial neuron based on anti-ferroelectric transistor. Nat Commun, 2022, 13, 7018 doi: 10.1038/s41467-022-34774-9
|
| [6] |
https://trc.nist.gov/cryogenics
|
| [7] |
Müller J, B?scke T S, Schr?der U, et al. Ferroelectricity in simple binary ZrO2 and HfO2. Nano Lett, 2012, 12, 4318 doi: 10.1021/nl302049k
|
| [8] |
Henry M D, Smith S W, Lewis R M, et al. Stabilization of ferroelectric phase of Hf0.58Zr0.42O2 on NbN at 4 K. Appl Phys Lett, 2019, 114, 092903 doi: 10.1063/1.5052435
|
| [9] |
Hur J, Luo Y C, Wang Z, et al. Characterizing ferroelectric properties of Hf0.5Zr0.5O2 from deep-cryogenic temperature (4 K) to 400 K. IEEE J Explor Solid State Comput Devices Circuits, 2021, 7, 168 doi: 10.1109/JXCDC.2021.3130783
|
| [10] |
Park M H, Chung C C, Schenk T, et al. Origin of temperature-dependent ferroelectricity in Si-doped HfO2. Adv Elect Materials, 2018, 4, 1700489 doi: 10.1002/aelm.201700489
|
| [11] |
Zhou D Y, Guan Y, Vopson M M, et al. Electric field and temperature scaling of polarization reversal in silicon doped hafnium oxide ferroelectric thin films. Acta Mater, 2015, 99, 240 doi: 10.1016/j.actamat.2015.07.035
|
| [12] |
Wang D, Wang J L, Li Q A, et al. Stable ferroelectric properties of Hf0.5Zr0.5O2 thin films within a broad working temperature range. Jpn J Appl Phys, 2019, 58, 090910 doi: 10.7567/1347-4065/ab3844
|
| [13] |
Pe?i? M, Fengler F P G, Larcher L, et al. Physical mechanisms behind the field-cycling behavior of HfO2-based ferroelectric capacitors. Adv Funct Materials, 2016, 26, 4601 doi: 10.1002/adfm.201600590
|
| [14] |
Adkins J W, Fina I, Sánchez F, et al. Thermal evolution of ferroelectric behavior in epitaxial Hf0.5Zr0.5O2. Appl Phys Lett, 2020, 117, 142902 doi: 10.1063/5.0015547
|
| [15] |
Liu H, Yang Q Y, Jin C J, et al. Mobile-ionic FETs with ultra-scaled amorphous dielectric achieving ferroelectric behaviors and sub-kT/q swing with temperature down to 77 K. Sci China Inf Sci, 2023, 67, 119401 doi: 10.1007/s11432-022-3721-0
|
| [16] |
Jiang P F, Luo Q, Xu X X, et al. Wake-up effect in HfO2-based ferroelectric films. Adv Elect Materials, 2021, 7, 2000728 doi: 10.1002/aelm.202000728
|
| [17] |
Silva J P B, Sekhar K C, Negrea R F, et al. Progress and perspective on different strategies to achieve wake-up-free ferroelectric hafnia and zirconia-based thin films. Appl Mater Today, 2022, 26, 101394 doi: 10.1016/j.apmt.2022.101394
|
| [18] |
Park M H, Kim H J, Kim Y J, et al. Study on the internal field and conduction mechanism of atomic layer deposited ferroelectric Hf0.5Zr0.5O2 thin films. J Mater Chem C, 2015, 3, 6291 doi: 10.1039/C5TC01074H
|
| [19] |
Jiang H, Bhuiyan M A, Liu Z, et al. A study of BEOL processed Hf0.5Zr0.5O2- based ferroelectric capacitors and their potential for automotive applications. 2020 IEEE International Memory Workshop (IMW), 2020 doi: 10.1109/IMW48823.2020.9108113
|
| [20] |
Park M H, Kim H J, Kim Y J, et al. Giant negative electrocaloric effects of Hf0.5Zr0.5O2 thin films. Adv Mater, 2016, 28, 7956 doi: 10.1002/adma.201602787
|
| [21] |
Hsiang K Y, Lee J Y, Lou Z F, et al. Cryogenic endurance of anti-ferroelectric and ferroelectric Hf1-xZrxO2 for quantum computing applications. 2023 IEEE International Reliability Physics Symposium (IRPS), 2023 doi: 10.1109/IRPS48203.2023.10118311
|
| [22] |
Chen J, Jin C, Yu X, et al. Impact of oxygen vacancy on ferroelectric characteristics and its implication for wake-up and fatigue of HfO2-based thin films. IEEE Trans Electron Devices, 2022, 69(9), 5297 doi: 10.1109/TED.2022.3190256
|
Article views: 1649 Times PDF downloads: 215 Times Cited by: 0 Times
Received: 30 August 2023 Revised: 08 November 2023 Online: Uncorrected proof: 08 December 2023Accepted Manuscript: 08 December 2023Published: 15 March 2024
| Citation: |
Shuyu Wu, Rongrong Cao, Hao Jiang, Yu Li, Xumeng Zhang, Yang Yang, Yan Wang, Yingfen Wei, Qi Liu. Reliable ferroelectricity down to cryogenic temperature in wake-up free Hf0.5Zr0.5O2 thin films by thermal atomic layer deposition[J]. Journal of Semiconductors, 2024, 45(3): 032301. doi: 10.1088/1674-4926/45/3/032301
****
S Y Wu, R R Cao, H Jiang, Y Li, X M Zhang, Y Yang, Y Wang, Y F Wei, Q Liu. Reliable ferroelectricity down to cryogenic temperature in wake-up free Hf0.5Zr0.5O2 thin films by thermal atomic layer deposition[J]. J. Semicond, 2024, 45(3): 032301. doi: 10.1088/1674-4926/45/3/032301
|
Shuyu Wu received her Bachelor’s degree in 2017 from Xidian University. She is now a doctoral candidate at the Institute of Microelectronics, Chinese Academy of Sciences and University of Chinese Academy of Sciences. Her research focuses on HfO2 based ferroelectric thin films and non-volatile memory
Hao Jiang received his Ph.D. in 2018 from University of Massachusetts, Amherst. In 2022, he joined in the Frontier Institute of Chip and System, Fudan University. He has been engaged in the research of new storage technology for a long time, and he is committed to promoting the applications and technology transformation of memristor and ferroelectric devices in the fields of storage, memory/brain computing and hardware security
Yingfen Wei received her Ph.D. degree from University of Groningen, Netherlands, in 2020. She then worked at the University of Groningen and école Polytechnique Fédérale de Lausanne as a post-doctoral researcher. In 2022, she joined the Frontier Institute of Chip and System, Fudan University. She has been engaged in the study of novel ferroelectric materials and their applications in non-volatile memories
| [1] |
B?scke T S, Müller J, Br?uhaus D, et al. Ferroelectricity in hafnium oxide thin films. Appl Phys Lett, 2011, 99, 102903 doi: 10.1063/1.3634052
|
| [2] |
Cheema S S, Kwon D, Shanker N, et al. Enhanced ferroelectricity in ultrathin films grown directly on silicon. Nature, 2020, 580, 478 doi: 10.1038/s41586-020-2208-x
|
| [3] |
Banerjee W, Kashir A, Kamba S. Hafnium oxide (HfO2)–A multifunctional oxide: A review on the prospect and challenges of hafnium oxide in resistive switching and ferroelectric memories. Small, 2022, 18, 2107575 doi: 10.1002/smll.202107575
|
| [4] |
Khan A I, Keshavarzi A, Datta S. The future of ferroelectric field-effect transistor technology. Nat Electron, 2020, 3, 588 doi: 10.1038/s41928-020-00492-7
|
| [5] |
Cao R R, Zhang X M, Liu S, et al. Compact artificial neuron based on anti-ferroelectric transistor. Nat Commun, 2022, 13, 7018 doi: 10.1038/s41467-022-34774-9
|
| [6] |
https://trc.nist.gov/cryogenics
|
| [7] |
Müller J, B?scke T S, Schr?der U, et al. Ferroelectricity in simple binary ZrO2 and HfO2. Nano Lett, 2012, 12, 4318 doi: 10.1021/nl302049k
|
| [8] |
Henry M D, Smith S W, Lewis R M, et al. Stabilization of ferroelectric phase of Hf0.58Zr0.42O2 on NbN at 4 K. Appl Phys Lett, 2019, 114, 092903 doi: 10.1063/1.5052435
|
| [9] |
Hur J, Luo Y C, Wang Z, et al. Characterizing ferroelectric properties of Hf0.5Zr0.5O2 from deep-cryogenic temperature (4 K) to 400 K. IEEE J Explor Solid State Comput Devices Circuits, 2021, 7, 168 doi: 10.1109/JXCDC.2021.3130783
|
| [10] |
Park M H, Chung C C, Schenk T, et al. Origin of temperature-dependent ferroelectricity in Si-doped HfO2. Adv Elect Materials, 2018, 4, 1700489 doi: 10.1002/aelm.201700489
|
| [11] |
Zhou D Y, Guan Y, Vopson M M, et al. Electric field and temperature scaling of polarization reversal in silicon doped hafnium oxide ferroelectric thin films. Acta Mater, 2015, 99, 240 doi: 10.1016/j.actamat.2015.07.035
|
| [12] |
Wang D, Wang J L, Li Q A, et al. Stable ferroelectric properties of Hf0.5Zr0.5O2 thin films within a broad working temperature range. Jpn J Appl Phys, 2019, 58, 090910 doi: 10.7567/1347-4065/ab3844
|
| [13] |
Pe?i? M, Fengler F P G, Larcher L, et al. Physical mechanisms behind the field-cycling behavior of HfO2-based ferroelectric capacitors. Adv Funct Materials, 2016, 26, 4601 doi: 10.1002/adfm.201600590
|
| [14] |
Adkins J W, Fina I, Sánchez F, et al. Thermal evolution of ferroelectric behavior in epitaxial Hf0.5Zr0.5O2. Appl Phys Lett, 2020, 117, 142902 doi: 10.1063/5.0015547
|
| [15] |
Liu H, Yang Q Y, Jin C J, et al. Mobile-ionic FETs with ultra-scaled amorphous dielectric achieving ferroelectric behaviors and sub-kT/q swing with temperature down to 77 K. Sci China Inf Sci, 2023, 67, 119401 doi: 10.1007/s11432-022-3721-0
|
| [16] |
Jiang P F, Luo Q, Xu X X, et al. Wake-up effect in HfO2-based ferroelectric films. Adv Elect Materials, 2021, 7, 2000728 doi: 10.1002/aelm.202000728
|
| [17] |
Silva J P B, Sekhar K C, Negrea R F, et al. Progress and perspective on different strategies to achieve wake-up-free ferroelectric hafnia and zirconia-based thin films. Appl Mater Today, 2022, 26, 101394 doi: 10.1016/j.apmt.2022.101394
|
| [18] |
Park M H, Kim H J, Kim Y J, et al. Study on the internal field and conduction mechanism of atomic layer deposited ferroelectric Hf0.5Zr0.5O2 thin films. J Mater Chem C, 2015, 3, 6291 doi: 10.1039/C5TC01074H
|
| [19] |
Jiang H, Bhuiyan M A, Liu Z, et al. A study of BEOL processed Hf0.5Zr0.5O2- based ferroelectric capacitors and their potential for automotive applications. 2020 IEEE International Memory Workshop (IMW), 2020 doi: 10.1109/IMW48823.2020.9108113
|
| [20] |
Park M H, Kim H J, Kim Y J, et al. Giant negative electrocaloric effects of Hf0.5Zr0.5O2 thin films. Adv Mater, 2016, 28, 7956 doi: 10.1002/adma.201602787
|
| [21] |
Hsiang K Y, Lee J Y, Lou Z F, et al. Cryogenic endurance of anti-ferroelectric and ferroelectric Hf1-xZrxO2 for quantum computing applications. 2023 IEEE International Reliability Physics Symposium (IRPS), 2023 doi: 10.1109/IRPS48203.2023.10118311
|
| [22] |
Chen J, Jin C, Yu X, et al. Impact of oxygen vacancy on ferroelectric characteristics and its implication for wake-up and fatigue of HfO2-based thin films. IEEE Trans Electron Devices, 2022, 69(9), 5297 doi: 10.1109/TED.2022.3190256
|
Journal of Semiconductors © 2017 All Rights Reserved 京ICP備05085259號(hào)-2