ARTICLES
Corresponding author: Mahmoud Shaban, s.mahmoud@qu.edu.sa, m_shaban@aswu.edu.eg
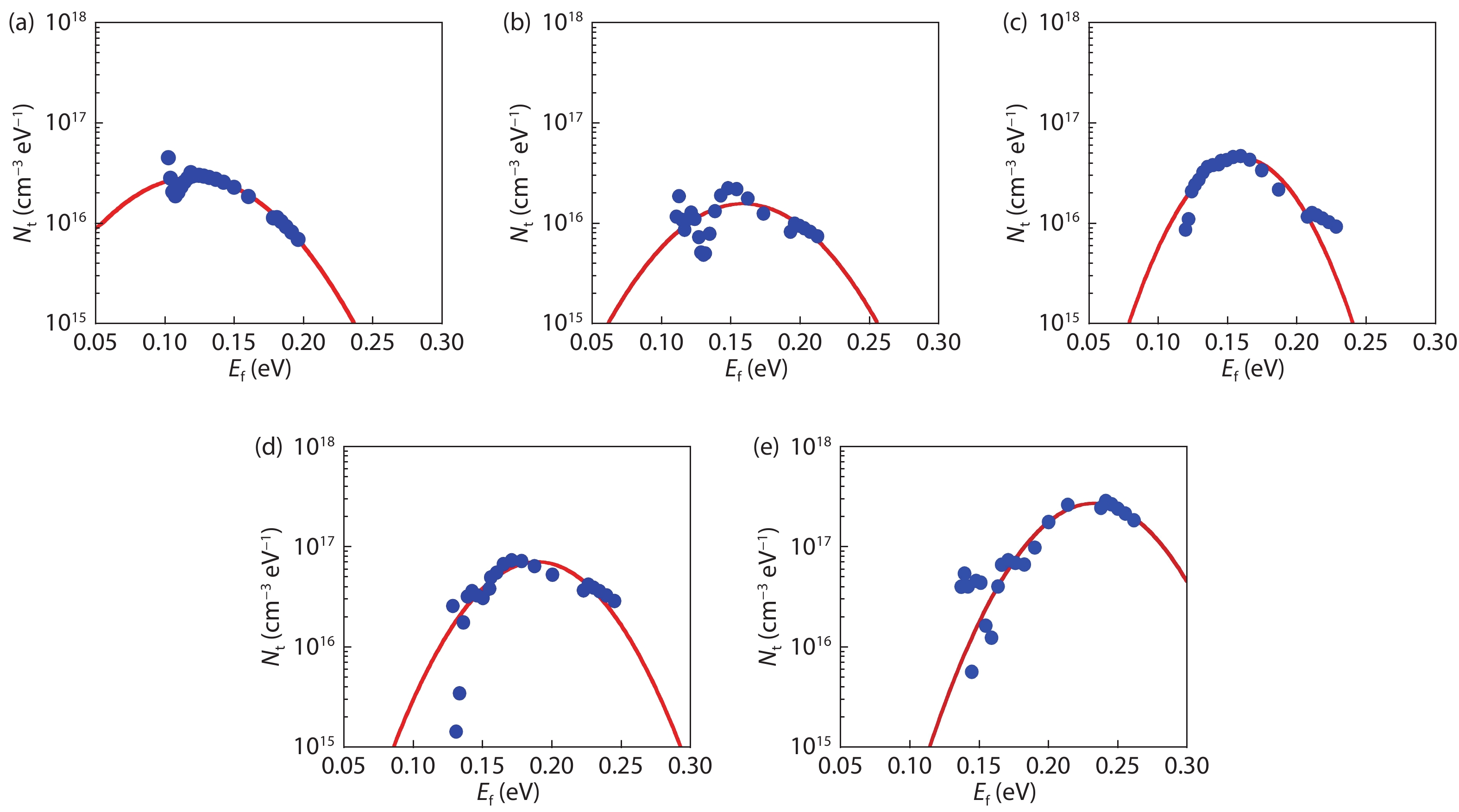
Abstract: Thin films comprising nitrogen-doped ultrananocrystalline diamond/hydrogenated amorphous-carbon (UNCD/a-C:H) composite films were experimentally investigated. The prepared films were grown on Si substrates by the coaxial arc plasma deposition method. They were characterized by temperature-dependent capacitance-frequency measurements in the temperature and frequency ranges of 300–400 K and 50 kHz–2 MHz, respectively. The energy distribution of trap density of states in the films was extracted using a simple technique utilizing the measured capacitance-frequency characteristics. In the measured temperature range, the energy-distributed traps exhibited Gaussian-distributed states with peak values lie in the range: 2.84 × 1016–2.73 × 1017 eV–1 cm–3 and centered at energies of 120–233 meV below the conduction band. These states are generated due to a large amount of sp2-C and π-bond states, localized in GBs of the UNCD/a-C:H film. The attained defect parameters are accommodating to understand basic electrical properties of UNCD/a-C:H composite and can be adopted to suppress defects in the UNCD-based materials.
Key words: nitrogen-doping, nanodiamond, UNCD/a-C:H, capacitance-frequency characterization, trap density-of-states
| [1] |
Koizumi S, Nebel C, Nesladek M. Physics and applications of CVD diamond. Weinheim: Wiley, 2008
|
| [2] |
May P W. Diamond thin films: A 21st-century material. Philos Trans Royal Soc Lond Ser A, 2000, 358, 473 doi: 10.1098/rsta.2000.0542
|
| [3] |
Mi S C, Kiss M, Graziosi T, et al. Integrated photonic devices in single crystal diamond. J Phys Photonics, 2020, 2, 042001 doi: 10.1088/2515-7647/aba171
|
| [4] |
Kobayashi A, Ohmagari S, Umezawa H, et al. Suppression of killer defects in diamond vertical-type Schottky barrier diodes. Jpn J Appl Phys, 2020, 59, SGGD10 doi: 10.7567/1347-4065/ab65b1
|
| [5] |
Matsumoto T, Kato H, Oyama K, et al. Inversion channel diamond metal-oxide-semiconductor field-effect transistor with normally off characteristics. Sci Rep, 2016, 6, 31585 doi: 10.1038/srep31585
|
| [6] |
Peng X Y, Li Y M, Duan S K, et al. Precise ultrananocrystalline diamond nanowire arrays for high performance gas sensing application. Mater Lett, 2020, 265, 127404 doi: 10.1016/j.matlet.2020.127404
|
| [7] |
Jiao S, Sumant A, Kirk M A, et al. Microstructure of ultrananocrystalline diamond films grown by microwave Ar–CH4 plasma chemical vapor deposition with or without added H2. J Appl Phys, 2001, 90, 118 doi: 10.1063/1.1377301
|
| [8] |
Bevilacqua M, Tumilty N, Mitra C, et al. Nanocrystalline diamond as an electronic material: An impedance spectroscopic and Hall effect measurement study. J Appl Phys, 2010, 107, 033716 doi: 10.1063/1.3291118
|
| [9] |
Auciello O, Sumant A V. Status review of the science and technology of ultrananocrystalline diamond (UNCD?) films and application to multifunctional devices. Diam Relat Mater, 2010, 19, 699 doi: 10.1016/j.diamond.2010.03.015
|
| [10] |
Zeng H J, Konicek A R, Moldovan N, et al. Boron-doped ultrananocrystalline diamond synthesized with an H-rich/Ar-lean gas system. Carbon, 2015, 84, 103 doi: 10.1016/j.carbon.2014.11.057
|
| [11] |
Mertens M, Mohr M, Wiora N, et al. N-type conductive ultrananocrystalline diamond films grown by hot filament CVD. J Nanomater, 2015, 2015, 1 doi: 10.1155/2015/527025
|
| [12] |
Ikeda T, Teii K, Casiraghi C, et al. Effect of the sp2 carbon phase on n-type conduction in nanodiamond films. J Appl Phys, 2008, 104, 073720 doi: 10.1063/1.2990061
|
| [13] |
Zapol P, Sternberg M, Curtiss L A, et al. Tight-binding molecular-dynamics simulation of impurities in ultrananocrystalline diamond grain boundaries. Phys Rev B, 2001, 65, 045403 doi: 10.1103/PhysRevB.65.045403
|
| [14] |
Bhattacharyya S, Auciello O, Birrell J, et al. Synthesis and characterization of highly-conducting nitrogen-doped ultrananocrystalline diamond films. Appl Phys Lett, 2001, 79, 1441 doi: 10.1063/1.1400761
|
| [15] |
Birrell J, Gerbi J E, Auciello O, et al. Bonding structure in nitrogen doped ultrananocrystalline diamond. J Appl Phys, 2003, 93, 5606 doi: 10.1063/1.1564880
|
| [16] |
Kulisch W, Popov C, Lefterova E, et al. Electrical properties of ultrananocrystalline diamond/amorphous carbon nanocomposite films. Diam Relat Mater, 2010, 19, 449 doi: 10.1016/j.diamond.2010.01.021
|
| [17] |
Voss A, Stateva S R, Reithmaier J P, et al. Patterning of the surface termination of ultrananocrystalline diamond films for guided cell attachment and growth. Surf Coat Technol, 2017, 321, 229 doi: 10.1016/j.surfcoat.2017.04.066
|
| [18] |
Hanada K, Nishiyama T, Yoshitake T, et al. Optical emission spectroscopy of deposition process of ultrananocrystalline diamond/hydrogenated amorphous carbon composite films by using a coaxial arc plasma gun. Diam Relat Mater, 2010, 19, 899 doi: 10.1016/j.diamond.2010.02.019
|
| [19] |
Chaleawpong R, Promros N, Zkria A, et al. Diode parameters and ultraviolet light detection characteristics of n-type silicon/p-type nanocrystalline diamond heterojunctions at different temperatures. Thin Solid Films, 2020, 709, 138222 doi: 10.1016/j.tsf.2020.138222
|
| [20] |
Ali A M, Deckert-Gaudig T, Egiza M, et al. Near- and far-field Raman spectroscopic studies of nanodiamond composite films deposited by coaxial arc plasma. Appl Phys Lett, 2020, 116, 041601 doi: 10.1063/1.5142198
|
| [21] |
Katamune Y, Al-Riyami S, Takeichi S, et al. Study on defects in ultrananocrystalline diamond/amorphous carbon composite films prepared by physical vapor deposition. ECS Trans, 2017, 75, 45 doi: 10.1149/07525.0045ecst
|
| [22] |
Zkria A, Abubakr E, Sittimart P, et al. Analysis of electrical characteristics of Pd/n-nanocarbon/p-Si heterojunction diodes: By CVf and G/wVf. J Nanomater, 2020, 2020, 4917946 doi: 10.1155/2020/4917946
|
| [23] |
Zkria A, Abdel-Wahab F, Katamune Y, et al. Optical and structural characterization of ultrananocrystalline diamond/hydrogenated amorphous carbon composite films deposited via coaxial arc plasma. Curr Appl Phys, 2019, 19, 143 doi: 10.1016/j.cap.2018.11.012
|
| [24] |
Al-Riyami S, Ohmagari S, Yoshitake T. Nitrogen-doped ultrananocrystalline diamond/hydrogenated amorphous carbon composite films prepared by pulsed laser deposition. Appl Phys Express, 2010, 3, 115102 doi: 10.1143/APEX.3.115102
|
| [25] |
Zkria A, Gima H, Shaban M, et al. Electrical characteristics of nitrogen-doped ultrananocrystalline diamond/hydrogenated amorphous carbon composite films prepared by coaxial arc plasma deposition. Appl Phys Express, 2015, 8, 095101 doi: 10.7567/APEX.8.095101
|
| [26] |
Gima H, Zkria A, Katamune Y, et al. Chemical bonding structural analysis of nitrogen-doped ultrananocrystalline diamond/hydrogenated amorphous carbon composite films prepared by coaxial arc plasma deposition. Appl Phys Express, 2017, 10, 015801 doi: 10.7567/APEX.10.015801
|
| [27] |
Zkria A, Shaban M, Hanada T, et al. Current transport mechanisms in N-type ultrananocrystalline diamond/p-type Si heterojunctions. J Nanosci Nanotechnol, 2016, 16, 12749 doi: 10.1166/jnn.2016.13663
|
| [28] |
Zkria A, Gima H, Yoshitake T. Application of nitrogen-doped ultrananocrystalline diamond/hydrogenated amorphous carbon composite films for ultraviolet detection. Appl Phys A, 2017, 123, 167 doi: 10.1007/s00339-017-0798-4
|
| [29] |
Zkria A, Yoshitake T. Temperature-dependent current–voltage characteristics and ultraviolet light detection of heterojunction diodes comprising n-type ultrananocrystalline diamond/hydrogenated amorphous carbon composite films and p-type silicon substrates. Jpn J Appl Phys, 2017, 56, 07KD04 doi: 10.7567/JJAP.56.07KD04
|
| [30] |
Shaban M, Zkria A, Yoshitake T. Characterization and design optimization of heterojunction photodiodes comprising n-type ultrananocrystalline diamond/hydrogenated amorphous carbon composite and p-type Si. Mater Sci Semicond Process, 2018, 86, 115 doi: 10.1016/j.mssp.2018.06.028
|
| [31] |
Zkria A, Shaban M, Abubakr E, et al. Impedance spectroscopy analysis of n-type (nitrogen-doped) ultrananocrystalline diamond/p-type Si heterojunction diodes. Phys Scr, 2020, 95, 095803 doi: 10.1088/1402-4896/aba97e
|
| [32] |
Shaban M. Modeling, design, and simulation of Schottky diodes based on ultrananocrystalline diamond composite films. Semicond Sci Technol, 2020, 36(1), 015004 doi: 10.1088/1361-6641/abc28e
|
| [33] |
Sze S M, Ng K K. Physics of semiconductor devices. Hoboken, NJ, USA: John Wiley & Sons, Inc., 2006
|
| [34] |
Schroder D K. Semiconductor material and device characterization. Hoboken, NJ, USA: John Wiley & Sons, Inc., 2005
|
| [35] |
Carr J A, Elshobaki M, Chaudhary S. Deep defects and the attempt to escape frequency in organic photovoltaic materials. Appl Phys Lett, 2015, 107, 203302 doi: 10.1063/1.4936160
|
| [36] |
Makino T, Kato H, Ri S G, et al. Electrical characterization of homoepitaxial diamond p-n+ junction. Diam Relat Mater, 2005, 14, 1995 doi: 10.1016/j.diamond.2005.07.019
|
| [37] |
Zhang X F, Matsumoto T, Sakurai U, et al. Energy distribution of Al2O3/diamond interface states characterized by high temperature capacitance-voltage method. Carbon, 2020, 168, 659 doi: 10.1016/j.carbon.2020.07.019
|
| [38] |
Xu H, Ye H T, Coathup D, et al. An insight of p-type to n-type conductivity conversion in oxygen ion-implanted ultrananocrystalline diamond films by impedance spectroscopy. Appl Phys Lett, 2017, 110, 033102 doi: 10.1063/1.4974077
|
| [39] |
Frolov V D, Pimenov S M, Konov V I, Polyakov, et al. Electronic properties of low-field-emitting ultrananocrystalline diamond films. Surf Interface Anal, 2004, 36, 449 doi: 10.1002/sia.1709
|
| [40] |
Wiora N, Mertens M, Brühne K, et al. Grain boundary dominated electrical conductivity in ultrananocrystalline diamond. J Appl Phys, 2017, 122, 145102 doi: 10.1063/1.4993442
|
| [41] |
Walter T, Herberholz R, Muller C, et al. Determination of defect distributions from admittance measurements and application to Cu(In, Ga)Se2 based heterojunctions. J Appl Phys, 1996, 80, 4411 doi: 10.1063/1.363401
|
Table 1. Extracted Gaussian-distributed defect parameters of N2-doped UNCD/a-C:H films characterized at different temperatures.
| T (K) | NG (1016 cm–3 eV–1) | Et (eV) | σ (eV) |
| 300 | 2.84 | 0.120 | 0.064 |
| 325 | 1.56 | 0.158 | 0.058 |
| 350 | 4.48 | 0.159 | 0.041 |
| 375 | 7.12 | 0.189 | 0.050 |
| 400 | 27.3 | 0.233 | 0.050 |
DownLoad: CSV
| [1] |
Koizumi S, Nebel C, Nesladek M. Physics and applications of CVD diamond. Weinheim: Wiley, 2008
|
| [2] |
May P W. Diamond thin films: A 21st-century material. Philos Trans Royal Soc Lond Ser A, 2000, 358, 473 doi: 10.1098/rsta.2000.0542
|
| [3] |
Mi S C, Kiss M, Graziosi T, et al. Integrated photonic devices in single crystal diamond. J Phys Photonics, 2020, 2, 042001 doi: 10.1088/2515-7647/aba171
|
| [4] |
Kobayashi A, Ohmagari S, Umezawa H, et al. Suppression of killer defects in diamond vertical-type Schottky barrier diodes. Jpn J Appl Phys, 2020, 59, SGGD10 doi: 10.7567/1347-4065/ab65b1
|
| [5] |
Matsumoto T, Kato H, Oyama K, et al. Inversion channel diamond metal-oxide-semiconductor field-effect transistor with normally off characteristics. Sci Rep, 2016, 6, 31585 doi: 10.1038/srep31585
|
| [6] |
Peng X Y, Li Y M, Duan S K, et al. Precise ultrananocrystalline diamond nanowire arrays for high performance gas sensing application. Mater Lett, 2020, 265, 127404 doi: 10.1016/j.matlet.2020.127404
|
| [7] |
Jiao S, Sumant A, Kirk M A, et al. Microstructure of ultrananocrystalline diamond films grown by microwave Ar–CH4 plasma chemical vapor deposition with or without added H2. J Appl Phys, 2001, 90, 118 doi: 10.1063/1.1377301
|
| [8] |
Bevilacqua M, Tumilty N, Mitra C, et al. Nanocrystalline diamond as an electronic material: An impedance spectroscopic and Hall effect measurement study. J Appl Phys, 2010, 107, 033716 doi: 10.1063/1.3291118
|
| [9] |
Auciello O, Sumant A V. Status review of the science and technology of ultrananocrystalline diamond (UNCD?) films and application to multifunctional devices. Diam Relat Mater, 2010, 19, 699 doi: 10.1016/j.diamond.2010.03.015
|
| [10] |
Zeng H J, Konicek A R, Moldovan N, et al. Boron-doped ultrananocrystalline diamond synthesized with an H-rich/Ar-lean gas system. Carbon, 2015, 84, 103 doi: 10.1016/j.carbon.2014.11.057
|
| [11] |
Mertens M, Mohr M, Wiora N, et al. N-type conductive ultrananocrystalline diamond films grown by hot filament CVD. J Nanomater, 2015, 2015, 1 doi: 10.1155/2015/527025
|
| [12] |
Ikeda T, Teii K, Casiraghi C, et al. Effect of the sp2 carbon phase on n-type conduction in nanodiamond films. J Appl Phys, 2008, 104, 073720 doi: 10.1063/1.2990061
|
| [13] |
Zapol P, Sternberg M, Curtiss L A, et al. Tight-binding molecular-dynamics simulation of impurities in ultrananocrystalline diamond grain boundaries. Phys Rev B, 2001, 65, 045403 doi: 10.1103/PhysRevB.65.045403
|
| [14] |
Bhattacharyya S, Auciello O, Birrell J, et al. Synthesis and characterization of highly-conducting nitrogen-doped ultrananocrystalline diamond films. Appl Phys Lett, 2001, 79, 1441 doi: 10.1063/1.1400761
|
| [15] |
Birrell J, Gerbi J E, Auciello O, et al. Bonding structure in nitrogen doped ultrananocrystalline diamond. J Appl Phys, 2003, 93, 5606 doi: 10.1063/1.1564880
|
| [16] |
Kulisch W, Popov C, Lefterova E, et al. Electrical properties of ultrananocrystalline diamond/amorphous carbon nanocomposite films. Diam Relat Mater, 2010, 19, 449 doi: 10.1016/j.diamond.2010.01.021
|
| [17] |
Voss A, Stateva S R, Reithmaier J P, et al. Patterning of the surface termination of ultrananocrystalline diamond films for guided cell attachment and growth. Surf Coat Technol, 2017, 321, 229 doi: 10.1016/j.surfcoat.2017.04.066
|
| [18] |
Hanada K, Nishiyama T, Yoshitake T, et al. Optical emission spectroscopy of deposition process of ultrananocrystalline diamond/hydrogenated amorphous carbon composite films by using a coaxial arc plasma gun. Diam Relat Mater, 2010, 19, 899 doi: 10.1016/j.diamond.2010.02.019
|
| [19] |
Chaleawpong R, Promros N, Zkria A, et al. Diode parameters and ultraviolet light detection characteristics of n-type silicon/p-type nanocrystalline diamond heterojunctions at different temperatures. Thin Solid Films, 2020, 709, 138222 doi: 10.1016/j.tsf.2020.138222
|
| [20] |
Ali A M, Deckert-Gaudig T, Egiza M, et al. Near- and far-field Raman spectroscopic studies of nanodiamond composite films deposited by coaxial arc plasma. Appl Phys Lett, 2020, 116, 041601 doi: 10.1063/1.5142198
|
| [21] |
Katamune Y, Al-Riyami S, Takeichi S, et al. Study on defects in ultrananocrystalline diamond/amorphous carbon composite films prepared by physical vapor deposition. ECS Trans, 2017, 75, 45 doi: 10.1149/07525.0045ecst
|
| [22] |
Zkria A, Abubakr E, Sittimart P, et al. Analysis of electrical characteristics of Pd/n-nanocarbon/p-Si heterojunction diodes: By CVf and G/wVf. J Nanomater, 2020, 2020, 4917946 doi: 10.1155/2020/4917946
|
| [23] |
Zkria A, Abdel-Wahab F, Katamune Y, et al. Optical and structural characterization of ultrananocrystalline diamond/hydrogenated amorphous carbon composite films deposited via coaxial arc plasma. Curr Appl Phys, 2019, 19, 143 doi: 10.1016/j.cap.2018.11.012
|
| [24] |
Al-Riyami S, Ohmagari S, Yoshitake T. Nitrogen-doped ultrananocrystalline diamond/hydrogenated amorphous carbon composite films prepared by pulsed laser deposition. Appl Phys Express, 2010, 3, 115102 doi: 10.1143/APEX.3.115102
|
| [25] |
Zkria A, Gima H, Shaban M, et al. Electrical characteristics of nitrogen-doped ultrananocrystalline diamond/hydrogenated amorphous carbon composite films prepared by coaxial arc plasma deposition. Appl Phys Express, 2015, 8, 095101 doi: 10.7567/APEX.8.095101
|
| [26] |
Gima H, Zkria A, Katamune Y, et al. Chemical bonding structural analysis of nitrogen-doped ultrananocrystalline diamond/hydrogenated amorphous carbon composite films prepared by coaxial arc plasma deposition. Appl Phys Express, 2017, 10, 015801 doi: 10.7567/APEX.10.015801
|
| [27] |
Zkria A, Shaban M, Hanada T, et al. Current transport mechanisms in N-type ultrananocrystalline diamond/p-type Si heterojunctions. J Nanosci Nanotechnol, 2016, 16, 12749 doi: 10.1166/jnn.2016.13663
|
| [28] |
Zkria A, Gima H, Yoshitake T. Application of nitrogen-doped ultrananocrystalline diamond/hydrogenated amorphous carbon composite films for ultraviolet detection. Appl Phys A, 2017, 123, 167 doi: 10.1007/s00339-017-0798-4
|
| [29] |
Zkria A, Yoshitake T. Temperature-dependent current–voltage characteristics and ultraviolet light detection of heterojunction diodes comprising n-type ultrananocrystalline diamond/hydrogenated amorphous carbon composite films and p-type silicon substrates. Jpn J Appl Phys, 2017, 56, 07KD04 doi: 10.7567/JJAP.56.07KD04
|
| [30] |
Shaban M, Zkria A, Yoshitake T. Characterization and design optimization of heterojunction photodiodes comprising n-type ultrananocrystalline diamond/hydrogenated amorphous carbon composite and p-type Si. Mater Sci Semicond Process, 2018, 86, 115 doi: 10.1016/j.mssp.2018.06.028
|
| [31] |
Zkria A, Shaban M, Abubakr E, et al. Impedance spectroscopy analysis of n-type (nitrogen-doped) ultrananocrystalline diamond/p-type Si heterojunction diodes. Phys Scr, 2020, 95, 095803 doi: 10.1088/1402-4896/aba97e
|
| [32] |
Shaban M. Modeling, design, and simulation of Schottky diodes based on ultrananocrystalline diamond composite films. Semicond Sci Technol, 2020, 36(1), 015004 doi: 10.1088/1361-6641/abc28e
|
| [33] |
Sze S M, Ng K K. Physics of semiconductor devices. Hoboken, NJ, USA: John Wiley & Sons, Inc., 2006
|
| [34] |
Schroder D K. Semiconductor material and device characterization. Hoboken, NJ, USA: John Wiley & Sons, Inc., 2005
|
| [35] |
Carr J A, Elshobaki M, Chaudhary S. Deep defects and the attempt to escape frequency in organic photovoltaic materials. Appl Phys Lett, 2015, 107, 203302 doi: 10.1063/1.4936160
|
| [36] |
Makino T, Kato H, Ri S G, et al. Electrical characterization of homoepitaxial diamond p-n+ junction. Diam Relat Mater, 2005, 14, 1995 doi: 10.1016/j.diamond.2005.07.019
|
| [37] |
Zhang X F, Matsumoto T, Sakurai U, et al. Energy distribution of Al2O3/diamond interface states characterized by high temperature capacitance-voltage method. Carbon, 2020, 168, 659 doi: 10.1016/j.carbon.2020.07.019
|
| [38] |
Xu H, Ye H T, Coathup D, et al. An insight of p-type to n-type conductivity conversion in oxygen ion-implanted ultrananocrystalline diamond films by impedance spectroscopy. Appl Phys Lett, 2017, 110, 033102 doi: 10.1063/1.4974077
|
| [39] |
Frolov V D, Pimenov S M, Konov V I, Polyakov, et al. Electronic properties of low-field-emitting ultrananocrystalline diamond films. Surf Interface Anal, 2004, 36, 449 doi: 10.1002/sia.1709
|
| [40] |
Wiora N, Mertens M, Brühne K, et al. Grain boundary dominated electrical conductivity in ultrananocrystalline diamond. J Appl Phys, 2017, 122, 145102 doi: 10.1063/1.4993442
|
| [41] |
Walter T, Herberholz R, Muller C, et al. Determination of defect distributions from admittance measurements and application to Cu(In, Ga)Se2 based heterojunctions. J Appl Phys, 1996, 80, 4411 doi: 10.1063/1.363401
|
Article views: 2961 Times PDF downloads: 93 Times Cited by: 0 Times
Received: 12 November 2020 Revised: 11 December 2020 Online: Accepted Manuscript: 01 February 2021Uncorrected proof: 22 February 2021Published: 01 June 2021
| Citation: |
Mahmoud Shaban. Determination of trap density-of-states distribution of nitrogen-doped ultrananocrystalline diamond/hydrogenated amorphous carbon composite films[J]. Journal of Semiconductors, 2021, 42(6): 062802. doi: 10.1088/1674-4926/42/6/062802
****
M Shaban, Determination of trap density-of-states distribution of nitrogen-doped ultrananocrystalline diamond/hydrogenated amorphous carbon composite films[J]. J. Semicond., 2021, 42(6): 062802. doi: 10.1088/1674-4926/42/6/062802.
|
| [1] |
Koizumi S, Nebel C, Nesladek M. Physics and applications of CVD diamond. Weinheim: Wiley, 2008
|
| [2] |
May P W. Diamond thin films: A 21st-century material. Philos Trans Royal Soc Lond Ser A, 2000, 358, 473 doi: 10.1098/rsta.2000.0542
|
| [3] |
Mi S C, Kiss M, Graziosi T, et al. Integrated photonic devices in single crystal diamond. J Phys Photonics, 2020, 2, 042001 doi: 10.1088/2515-7647/aba171
|
| [4] |
Kobayashi A, Ohmagari S, Umezawa H, et al. Suppression of killer defects in diamond vertical-type Schottky barrier diodes. Jpn J Appl Phys, 2020, 59, SGGD10 doi: 10.7567/1347-4065/ab65b1
|
| [5] |
Matsumoto T, Kato H, Oyama K, et al. Inversion channel diamond metal-oxide-semiconductor field-effect transistor with normally off characteristics. Sci Rep, 2016, 6, 31585 doi: 10.1038/srep31585
|
| [6] |
Peng X Y, Li Y M, Duan S K, et al. Precise ultrananocrystalline diamond nanowire arrays for high performance gas sensing application. Mater Lett, 2020, 265, 127404 doi: 10.1016/j.matlet.2020.127404
|
| [7] |
Jiao S, Sumant A, Kirk M A, et al. Microstructure of ultrananocrystalline diamond films grown by microwave Ar–CH4 plasma chemical vapor deposition with or without added H2. J Appl Phys, 2001, 90, 118 doi: 10.1063/1.1377301
|
| [8] |
Bevilacqua M, Tumilty N, Mitra C, et al. Nanocrystalline diamond as an electronic material: An impedance spectroscopic and Hall effect measurement study. J Appl Phys, 2010, 107, 033716 doi: 10.1063/1.3291118
|
| [9] |
Auciello O, Sumant A V. Status review of the science and technology of ultrananocrystalline diamond (UNCD?) films and application to multifunctional devices. Diam Relat Mater, 2010, 19, 699 doi: 10.1016/j.diamond.2010.03.015
|
| [10] |
Zeng H J, Konicek A R, Moldovan N, et al. Boron-doped ultrananocrystalline diamond synthesized with an H-rich/Ar-lean gas system. Carbon, 2015, 84, 103 doi: 10.1016/j.carbon.2014.11.057
|
| [11] |
Mertens M, Mohr M, Wiora N, et al. N-type conductive ultrananocrystalline diamond films grown by hot filament CVD. J Nanomater, 2015, 2015, 1 doi: 10.1155/2015/527025
|
| [12] |
Ikeda T, Teii K, Casiraghi C, et al. Effect of the sp2 carbon phase on n-type conduction in nanodiamond films. J Appl Phys, 2008, 104, 073720 doi: 10.1063/1.2990061
|
| [13] |
Zapol P, Sternberg M, Curtiss L A, et al. Tight-binding molecular-dynamics simulation of impurities in ultrananocrystalline diamond grain boundaries. Phys Rev B, 2001, 65, 045403 doi: 10.1103/PhysRevB.65.045403
|
| [14] |
Bhattacharyya S, Auciello O, Birrell J, et al. Synthesis and characterization of highly-conducting nitrogen-doped ultrananocrystalline diamond films. Appl Phys Lett, 2001, 79, 1441 doi: 10.1063/1.1400761
|
| [15] |
Birrell J, Gerbi J E, Auciello O, et al. Bonding structure in nitrogen doped ultrananocrystalline diamond. J Appl Phys, 2003, 93, 5606 doi: 10.1063/1.1564880
|
| [16] |
Kulisch W, Popov C, Lefterova E, et al. Electrical properties of ultrananocrystalline diamond/amorphous carbon nanocomposite films. Diam Relat Mater, 2010, 19, 449 doi: 10.1016/j.diamond.2010.01.021
|
| [17] |
Voss A, Stateva S R, Reithmaier J P, et al. Patterning of the surface termination of ultrananocrystalline diamond films for guided cell attachment and growth. Surf Coat Technol, 2017, 321, 229 doi: 10.1016/j.surfcoat.2017.04.066
|
| [18] |
Hanada K, Nishiyama T, Yoshitake T, et al. Optical emission spectroscopy of deposition process of ultrananocrystalline diamond/hydrogenated amorphous carbon composite films by using a coaxial arc plasma gun. Diam Relat Mater, 2010, 19, 899 doi: 10.1016/j.diamond.2010.02.019
|
| [19] |
Chaleawpong R, Promros N, Zkria A, et al. Diode parameters and ultraviolet light detection characteristics of n-type silicon/p-type nanocrystalline diamond heterojunctions at different temperatures. Thin Solid Films, 2020, 709, 138222 doi: 10.1016/j.tsf.2020.138222
|
| [20] |
Ali A M, Deckert-Gaudig T, Egiza M, et al. Near- and far-field Raman spectroscopic studies of nanodiamond composite films deposited by coaxial arc plasma. Appl Phys Lett, 2020, 116, 041601 doi: 10.1063/1.5142198
|
| [21] |
Katamune Y, Al-Riyami S, Takeichi S, et al. Study on defects in ultrananocrystalline diamond/amorphous carbon composite films prepared by physical vapor deposition. ECS Trans, 2017, 75, 45 doi: 10.1149/07525.0045ecst
|
| [22] |
Zkria A, Abubakr E, Sittimart P, et al. Analysis of electrical characteristics of Pd/n-nanocarbon/p-Si heterojunction diodes: By CVf and G/wVf. J Nanomater, 2020, 2020, 4917946 doi: 10.1155/2020/4917946
|
| [23] |
Zkria A, Abdel-Wahab F, Katamune Y, et al. Optical and structural characterization of ultrananocrystalline diamond/hydrogenated amorphous carbon composite films deposited via coaxial arc plasma. Curr Appl Phys, 2019, 19, 143 doi: 10.1016/j.cap.2018.11.012
|
| [24] |
Al-Riyami S, Ohmagari S, Yoshitake T. Nitrogen-doped ultrananocrystalline diamond/hydrogenated amorphous carbon composite films prepared by pulsed laser deposition. Appl Phys Express, 2010, 3, 115102 doi: 10.1143/APEX.3.115102
|
| [25] |
Zkria A, Gima H, Shaban M, et al. Electrical characteristics of nitrogen-doped ultrananocrystalline diamond/hydrogenated amorphous carbon composite films prepared by coaxial arc plasma deposition. Appl Phys Express, 2015, 8, 095101 doi: 10.7567/APEX.8.095101
|
| [26] |
Gima H, Zkria A, Katamune Y, et al. Chemical bonding structural analysis of nitrogen-doped ultrananocrystalline diamond/hydrogenated amorphous carbon composite films prepared by coaxial arc plasma deposition. Appl Phys Express, 2017, 10, 015801 doi: 10.7567/APEX.10.015801
|
| [27] |
Zkria A, Shaban M, Hanada T, et al. Current transport mechanisms in N-type ultrananocrystalline diamond/p-type Si heterojunctions. J Nanosci Nanotechnol, 2016, 16, 12749 doi: 10.1166/jnn.2016.13663
|
| [28] |
Zkria A, Gima H, Yoshitake T. Application of nitrogen-doped ultrananocrystalline diamond/hydrogenated amorphous carbon composite films for ultraviolet detection. Appl Phys A, 2017, 123, 167 doi: 10.1007/s00339-017-0798-4
|
| [29] |
Zkria A, Yoshitake T. Temperature-dependent current–voltage characteristics and ultraviolet light detection of heterojunction diodes comprising n-type ultrananocrystalline diamond/hydrogenated amorphous carbon composite films and p-type silicon substrates. Jpn J Appl Phys, 2017, 56, 07KD04 doi: 10.7567/JJAP.56.07KD04
|
| [30] |
Shaban M, Zkria A, Yoshitake T. Characterization and design optimization of heterojunction photodiodes comprising n-type ultrananocrystalline diamond/hydrogenated amorphous carbon composite and p-type Si. Mater Sci Semicond Process, 2018, 86, 115 doi: 10.1016/j.mssp.2018.06.028
|
| [31] |
Zkria A, Shaban M, Abubakr E, et al. Impedance spectroscopy analysis of n-type (nitrogen-doped) ultrananocrystalline diamond/p-type Si heterojunction diodes. Phys Scr, 2020, 95, 095803 doi: 10.1088/1402-4896/aba97e
|
| [32] |
Shaban M. Modeling, design, and simulation of Schottky diodes based on ultrananocrystalline diamond composite films. Semicond Sci Technol, 2020, 36(1), 015004 doi: 10.1088/1361-6641/abc28e
|
| [33] |
Sze S M, Ng K K. Physics of semiconductor devices. Hoboken, NJ, USA: John Wiley & Sons, Inc., 2006
|
| [34] |
Schroder D K. Semiconductor material and device characterization. Hoboken, NJ, USA: John Wiley & Sons, Inc., 2005
|
| [35] |
Carr J A, Elshobaki M, Chaudhary S. Deep defects and the attempt to escape frequency in organic photovoltaic materials. Appl Phys Lett, 2015, 107, 203302 doi: 10.1063/1.4936160
|
| [36] |
Makino T, Kato H, Ri S G, et al. Electrical characterization of homoepitaxial diamond p-n+ junction. Diam Relat Mater, 2005, 14, 1995 doi: 10.1016/j.diamond.2005.07.019
|
| [37] |
Zhang X F, Matsumoto T, Sakurai U, et al. Energy distribution of Al2O3/diamond interface states characterized by high temperature capacitance-voltage method. Carbon, 2020, 168, 659 doi: 10.1016/j.carbon.2020.07.019
|
| [38] |
Xu H, Ye H T, Coathup D, et al. An insight of p-type to n-type conductivity conversion in oxygen ion-implanted ultrananocrystalline diamond films by impedance spectroscopy. Appl Phys Lett, 2017, 110, 033102 doi: 10.1063/1.4974077
|
| [39] |
Frolov V D, Pimenov S M, Konov V I, Polyakov, et al. Electronic properties of low-field-emitting ultrananocrystalline diamond films. Surf Interface Anal, 2004, 36, 449 doi: 10.1002/sia.1709
|
| [40] |
Wiora N, Mertens M, Brühne K, et al. Grain boundary dominated electrical conductivity in ultrananocrystalline diamond. J Appl Phys, 2017, 122, 145102 doi: 10.1063/1.4993442
|
| [41] |
Walter T, Herberholz R, Muller C, et al. Determination of defect distributions from admittance measurements and application to Cu(In, Ga)Se2 based heterojunctions. J Appl Phys, 1996, 80, 4411 doi: 10.1063/1.363401
|
Journal of Semiconductors © 2017 All Rights Reserved 京ICP備05085259號(hào)-2