J. Semicond. > 2020, Volume 41?>?Issue 12?> 122803

ARTICLES

RF performance evaluation of p-type NiO-pocket based β-Ga2O3/black phosphorous heterostructure MOSFET

Narendra Yadava, Shivangi Mani and R. K. Chauhan

+ Author Affiliations

 Corresponding author: Narendra Yadava, narendrayadava5@gmail.com

DOI: 10.1088/1674-4926/41/12/122803

PDF

Turn off MathJax

Abstract: The radio-frequency (RF) performance of the p-type NiO-pocket based β-Ga2O3/black phosphorous heterostructure MOSFET has been evaluated. The key figure of merits (FOMs) for device performance evaluation include the transconductance (gm) gate dependent intrinsic-capacitances (Cgd and Cgs), cutoff frequency (fT), gain bandwidth (GBW) product and output-conductance (gd). Similarly, power-gain (Gp), power added efficiency (PAE), and output power (POUT) are also investigated for large-signal continuous-wave (CW) RF performance evaluation. The motive behind the study is to improve the β-Ga2O3 MOS device performance along with a reduction in power losses and device associated leakages. To show the applicability of the designed device in RF applications, its RF FOMs are analyzed. With the outline characteristics of the ultrathin black phosphorous layer below the β-Ga2O3 channel region, the proposed device results in 1.09 times improvement in fT, with 0.7 times lower Cgs, and 3.27 dB improved GP in comparison to the NiO-GO MOSFET. The results indicate that the designed NiO-GO/BP MOSFET has better RF performance with improved power gain and low leakages.

Key words: wide band-gap semiconductorRF FOMsGa2O3black phosphorus



[1]
Baliga B J. Power semiconductor device figure of merit for high-frequency applications. IEEE Electron Device Lett, 1989, 10(10), 455 doi: 10.1109/55.43098
[2]
Johnson E. Physical limitations on frequency and power parameters of transistors. 1958 IRE International Convention Record, 1966, 13, 27
[3]
Chabak K D, Leedy K D, Green A J, et al. Lateral β-Ga2O3 field effect transistors. Semicond Sci Technol, 2020, 35(1), 013002 doi: 10.1088/1361-6641/ab55fe
[4]
Higashiwaki M, Sasaki K, Kamimura T, et al. Depletion-mode Ga2O3 metal–oxide–semiconductor field-effect transistors on β-Ga2O3 (010) substrates and temperature dependence of their device characteristics. Appl Phys Lett, 2013, 103(12), 123511 doi: 10.1063/1.4821858
[5]
Chabak K D, McCandless J P, Moser N A, et al. Recessed-gate enhancement-mode β-Ga2O3 MOSFETs. IEEE Electron Device Lett, 2018, 39(1), 67 doi: 10.1109/LED.2017.2779867
[6]
Higashiwaki M, Sasaki K, Kuramata A, et al. Gallium oxide (Ga2O3) metal–semiconductor field-effect transistors on single-crystal β-Ga2O3 (010) substrates. Appl Phys Lett, 2012, 100(1), 13504 doi: 10.1063/1.3674287
[7]
Konishi K, Goto K, Murakami H, et al. 1-kV vertical Ga2O3 field-plated Schottky barrier diodes. Appl Phys Lett, 2017, 110(10), 103506 doi: 10.1063/1.4977857
[8]
Green A J, Chabak K D, Baldini M, et al. β-Ga2O3 MOSFETs for radio frequency operation. IEEE Electron Device Lett, 2017, 38(6), 790 doi: 10.1109/LED.2017.2694805
[9]
Yang J, Ahn S, Ren F, et al. High reverse breakdown voltage Schottky rectifiers without edge termination on Ga2O3. Appl Phys Lett, 2017, 110(19), 192010 doi: 10.1063/1.4983203
[10]
Mastro M A, Kuramata A, Calkins J, et al. Perspective—opportunities and future directions for Ga2O3. ECS J Solid State Sci Technol, 2017, 6(5), P356 doi: 10.1149/2.0031707jss
[11]
Schwierz F. Graphene transistors. Nat Nanotechnol, 2010, 5, 487 doi: 10.1038/nnano.2010.89
[12]
Das S, Zhang W, Demarteau M, et al. Tunable transport gap in phosphorene. Nano Lett, 2014, 14(10), 5733 doi: 10.1021/nl5025535
[13]
Schmidt H, Giustiniano F, Eda G. Electronic transport properties of transition metal dichalcogenide field-effect devices: surface and interface effects. Chem Soc Rev, 2015, 44, 7715 doi: 10.1039/c5cs00275c
[14]
Li L, Yu Y, Ye G J, et al. Black phosphorus field-effect transistors. Nat Nanotechnol, 2014, 9(5), 372 doi: 10.1038/nnano.2014.35
[15]
Yan X, Esqueda I S, Ma J, et al. High breakdown electric field in β-Ga2O3/graphene vertical barristor heterostructure. Appl Phys Lett, 2018, 112(3), 032101 doi: 10.1063/1.5002138
[16]
Kumar A, Tripathi M M, Chaujar R. Comprehensive analysis of sub-20 nm black phosphorus based junctionless-recessed channel MOSFET for analog/RF applications. Superlattices Microstruct, 2018, 116, 171 doi: 10.1016/j.spmi.2018.02.018
[17]
Yadava N, Chauhan R K. RF performance investigation of β-Ga2O3/graphene and β-Ga2O3/black phosphorus heterostructure MOSFETs. ECS J Solid State Sci Technol, 2019, 8(7), Q3058 doi: 10.1149/2.0131907jss
[18]
Chikoidze E, Fellous A, Perez-Tomas A, et al. P-type β-gallium oxide: A new perspective for power and optoelectronic devices. Mater Today Phys, 2017, 3, 118 doi: 10.1016/j.mtphys.2017.10.002
[19]
Kyrtsos A, Matsubara M, Bellotti E. On the feasibility of p-type Ga2O3. Appl Phys Lett, 2018, 112(3), 032108 doi: 10.1063/1.5009423
[20]
FLOSFIA Inc., Kyoto University Advanced Electronic Materials Laboratory
[21]
Kokubun Y, Kubo S, Nakagomi S. All-oxide p–n heterojunction diodes comprising p-type NiO and n-type β-Ga2O3. Appl Phys Express, 2016, 9(9), 091101 doi: 10.7567/APEX.9.091101
[22]
Yadava N, Chauhan R K. RF performance enhancement of gallium oxide MOSFET using p-type NiO pocket near source and drain regions. J Telecomm, Electron Comput Eng, 2019, 11(4), 19
[23]
ATLAS User's manual, SILVACO, Santa Clara, CA, USA, 2014
[24]
Zeng K, Wallace J S, Heimburger C, et al. Ga2O3 MOSFETs using spin-on-glass source/drain doping technology. IEEE Electron Device Lett, 2017, 38(4), 513 doi: 10.1109/LED.2017.2675544
[25]
Park Y. Developing MOS structures in gallium oxide for high-power electronics and energy savings applications. Master of Science Thesis, University of Oslo, Norway, 2018
[26]
Sasaki K, Higashiwaki M, Kuramata A, et al. Si-ion implantation doping in β-Ga2O3 and its application to fabrication of low-resistance ohmic contacts. Appl Phys Express, 2013, 6(8), 086502 doi: 10.7567/APEX.6.086502
Fig. 1.  (Color online) (a) P-type NiO-pocket based β-Ga2O3 MOSFET. (b) P-type NiO-pocket based β-Ga2O3/black phosphorous heterostructure MOSFET.

Fig. 2.  (Color online) Lattice temperature in (a) β-Ga2O3 MOSFET and (b) P-type NiO-pocket based β-Ga2O3 MOSFET.

Fig. 3.  (Color online) Potential distribution in (a) β-Ga2O3 MOSFET and (b) P-type NiO-pocket based β-Ga2O3 MOSFET.

Fig. 4.  (Color online) Transfer (IDVGS) and transconductance (gm) behavior of the devices. Inset: IDVGS in log-scale.

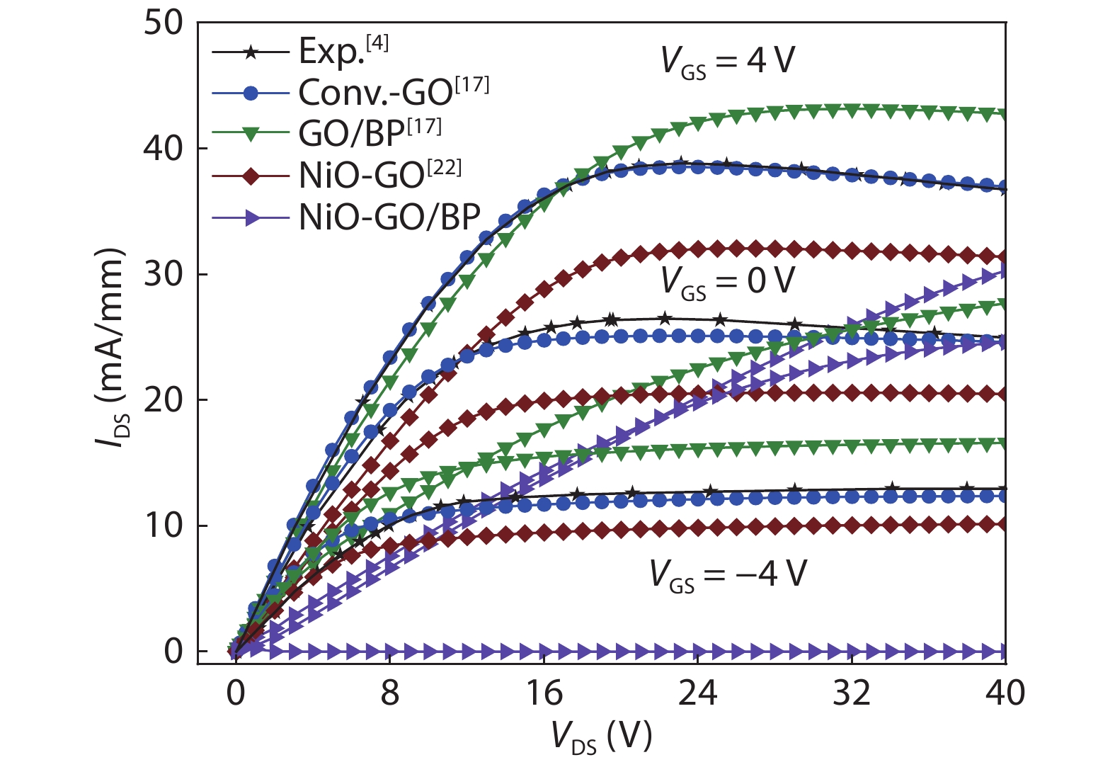
Fig. 5.  (Color online) Output characteristics (IDVDS) of the devices.

Fig. 6.  (Color online) Output conductance (gd) behavior of the devices.

Fig. 7.  (Color online) Intrinsic capacitance (Cgs) versus gate voltage (VGS). Inset: fT versus VGS.

Fig. 8.  (Color online) Intrinsic capacitance (Cgd) versus gate voltage (VGS). Inset: GBW versus VGS.

Fig. 9.  (Color online) (a) Output power (POUT) versus input power (PIN). (b) Power-added-efficiency (PAE) versus input power (PIN). Inset: Output power gain (GP) versus PIN.

Table 1.   Material parameters used in the simulation of the β-Ga2O3/BP heterostructure MOS device.

Parameterβ-Ga2O3[4]Black phosphorous[14]
Bandgap energy (eV)4.81.88
Local conduction band density of states (1017 cm?3)37.20.3
Work function (eV)5.234.56
Electron affinity (eV)4.05.5
Relative permittivity (F/m)10.06.1
DownLoad: CSV

Table 2.   RF performance comparison of the reported gallium oxide MOSFETs with the proposed NiO-GO/BP MOSFET.

ReferenceMOSFETCgs (pF)Cgd (pF)fT (GHz)GBW (GHz)POUT (dBm)(PAE) (%)GP (dB)
Ref. [8]Exp. GO3.3013.716.35.10
Refs. [4, 17]Conv. GO (Exp. GO. by Higashiwaki et al.)0.330.131.870.520.645.810.50
GO/BP0.430.221.770.6415.113.015.31
Ref. [22]NiO-GO0.290.131.270.4819.304.89.75
This workNiO-GO/BP0.230.181.370.5114.732.813.02
DownLoad: CSV
[1]
Baliga B J. Power semiconductor device figure of merit for high-frequency applications. IEEE Electron Device Lett, 1989, 10(10), 455 doi: 10.1109/55.43098
[2]
Johnson E. Physical limitations on frequency and power parameters of transistors. 1958 IRE International Convention Record, 1966, 13, 27
[3]
Chabak K D, Leedy K D, Green A J, et al. Lateral β-Ga2O3 field effect transistors. Semicond Sci Technol, 2020, 35(1), 013002 doi: 10.1088/1361-6641/ab55fe
[4]
Higashiwaki M, Sasaki K, Kamimura T, et al. Depletion-mode Ga2O3 metal–oxide–semiconductor field-effect transistors on β-Ga2O3 (010) substrates and temperature dependence of their device characteristics. Appl Phys Lett, 2013, 103(12), 123511 doi: 10.1063/1.4821858
[5]
Chabak K D, McCandless J P, Moser N A, et al. Recessed-gate enhancement-mode β-Ga2O3 MOSFETs. IEEE Electron Device Lett, 2018, 39(1), 67 doi: 10.1109/LED.2017.2779867
[6]
Higashiwaki M, Sasaki K, Kuramata A, et al. Gallium oxide (Ga2O3) metal–semiconductor field-effect transistors on single-crystal β-Ga2O3 (010) substrates. Appl Phys Lett, 2012, 100(1), 13504 doi: 10.1063/1.3674287
[7]
Konishi K, Goto K, Murakami H, et al. 1-kV vertical Ga2O3 field-plated Schottky barrier diodes. Appl Phys Lett, 2017, 110(10), 103506 doi: 10.1063/1.4977857
[8]
Green A J, Chabak K D, Baldini M, et al. β-Ga2O3 MOSFETs for radio frequency operation. IEEE Electron Device Lett, 2017, 38(6), 790 doi: 10.1109/LED.2017.2694805
[9]
Yang J, Ahn S, Ren F, et al. High reverse breakdown voltage Schottky rectifiers without edge termination on Ga2O3. Appl Phys Lett, 2017, 110(19), 192010 doi: 10.1063/1.4983203
[10]
Mastro M A, Kuramata A, Calkins J, et al. Perspective—opportunities and future directions for Ga2O3. ECS J Solid State Sci Technol, 2017, 6(5), P356 doi: 10.1149/2.0031707jss
[11]
Schwierz F. Graphene transistors. Nat Nanotechnol, 2010, 5, 487 doi: 10.1038/nnano.2010.89
[12]
Das S, Zhang W, Demarteau M, et al. Tunable transport gap in phosphorene. Nano Lett, 2014, 14(10), 5733 doi: 10.1021/nl5025535
[13]
Schmidt H, Giustiniano F, Eda G. Electronic transport properties of transition metal dichalcogenide field-effect devices: surface and interface effects. Chem Soc Rev, 2015, 44, 7715 doi: 10.1039/c5cs00275c
[14]
Li L, Yu Y, Ye G J, et al. Black phosphorus field-effect transistors. Nat Nanotechnol, 2014, 9(5), 372 doi: 10.1038/nnano.2014.35
[15]
Yan X, Esqueda I S, Ma J, et al. High breakdown electric field in β-Ga2O3/graphene vertical barristor heterostructure. Appl Phys Lett, 2018, 112(3), 032101 doi: 10.1063/1.5002138
[16]
Kumar A, Tripathi M M, Chaujar R. Comprehensive analysis of sub-20 nm black phosphorus based junctionless-recessed channel MOSFET for analog/RF applications. Superlattices Microstruct, 2018, 116, 171 doi: 10.1016/j.spmi.2018.02.018
[17]
Yadava N, Chauhan R K. RF performance investigation of β-Ga2O3/graphene and β-Ga2O3/black phosphorus heterostructure MOSFETs. ECS J Solid State Sci Technol, 2019, 8(7), Q3058 doi: 10.1149/2.0131907jss
[18]
Chikoidze E, Fellous A, Perez-Tomas A, et al. P-type β-gallium oxide: A new perspective for power and optoelectronic devices. Mater Today Phys, 2017, 3, 118 doi: 10.1016/j.mtphys.2017.10.002
[19]
Kyrtsos A, Matsubara M, Bellotti E. On the feasibility of p-type Ga2O3. Appl Phys Lett, 2018, 112(3), 032108 doi: 10.1063/1.5009423
[20]
FLOSFIA Inc., Kyoto University Advanced Electronic Materials Laboratory
[21]
Kokubun Y, Kubo S, Nakagomi S. All-oxide p–n heterojunction diodes comprising p-type NiO and n-type β-Ga2O3. Appl Phys Express, 2016, 9(9), 091101 doi: 10.7567/APEX.9.091101
[22]
Yadava N, Chauhan R K. RF performance enhancement of gallium oxide MOSFET using p-type NiO pocket near source and drain regions. J Telecomm, Electron Comput Eng, 2019, 11(4), 19
[23]
ATLAS User's manual, SILVACO, Santa Clara, CA, USA, 2014
[24]
Zeng K, Wallace J S, Heimburger C, et al. Ga2O3 MOSFETs using spin-on-glass source/drain doping technology. IEEE Electron Device Lett, 2017, 38(4), 513 doi: 10.1109/LED.2017.2675544
[25]
Park Y. Developing MOS structures in gallium oxide for high-power electronics and energy savings applications. Master of Science Thesis, University of Oslo, Norway, 2018
[26]
Sasaki K, Higashiwaki M, Kuramata A, et al. Si-ion implantation doping in β-Ga2O3 and its application to fabrication of low-resistance ohmic contacts. Appl Phys Express, 2013, 6(8), 086502 doi: 10.7567/APEX.6.086502
  • Search

    Advanced Search >>

    GET CITATION

    shu

    Export: BibTex EndNote

    Article Metrics

    Article views: 4335 Times PDF downloads: 93 Times Cited by: 0 Times

    History

    Received: 01 April 2020 Revised: 11 May 2020 Online: Uncorrected proof: 03 August 2020Published: 08 December 2020

    Catalog

      Email This Article

      User name:
      Email:*請輸入正確郵箱
      Code:*驗證碼錯誤
      Narendra Yadava, Shivangi Mani, R. K. Chauhan. RF performance evaluation of p-type NiO-pocket based β-Ga2O3/black phosphorous heterostructure MOSFET[J]. Journal of Semiconductors, 2020, 41(12): 122803. doi: 10.1088/1674-4926/41/12/122803 ****N Yadava, S Mani, R K Chauhan, RF performance evaluation of p-type NiO-pocket based β-Ga2O3/black phosphorous heterostructure MOSFET[J]. J. Semicond., 2020, 41(12): 122803. doi: 10.1088/1674-4926/41/12/122803.
      Citation:
      Narendra Yadava, Shivangi Mani, R. K. Chauhan. RF performance evaluation of p-type NiO-pocket based β-Ga2O3/black phosphorous heterostructure MOSFET[J]. Journal of Semiconductors, 2020, 41(12): 122803. doi: 10.1088/1674-4926/41/12/122803 ****
      N Yadava, S Mani, R K Chauhan, RF performance evaluation of p-type NiO-pocket based β-Ga2O3/black phosphorous heterostructure MOSFET[J]. J. Semicond., 2020, 41(12): 122803. doi: 10.1088/1674-4926/41/12/122803.

      RF performance evaluation of p-type NiO-pocket based β-Ga2O3/black phosphorous heterostructure MOSFET

      DOI: 10.1088/1674-4926/41/12/122803
      More Information
      • Corresponding author: narendrayadava5@gmail.com
      • Received Date: 2020-04-01
      • Revised Date: 2020-05-11
      • Published Date: 2020-12-10

      Catalog

        /

        DownLoad:  Full-Size Img  PowerPoint
        Return
        Return