SEMICONDUCTOR DEVICES
Pengyi Yue1, 2, Xiuming Dou1, , Xiangbin Su1, Zhichuan Niu1 and Baoquan Sun1,
Corresponding author: Xiuming Dou, xmdou04@semi.ac.cn; Baoquan Sun, bqsun@semi.ac.cn
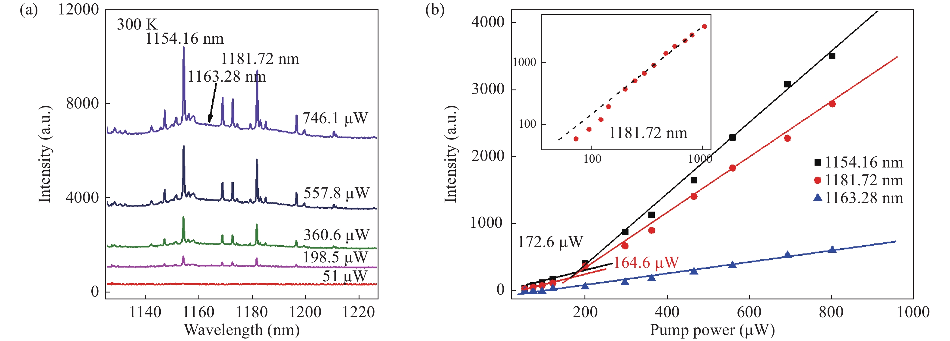
Abstract: We report on room temperature continuous-wave optically pumped InAs/GaAs quantum dot whispering gallery mode microdisk lasers, heterogeneously integrated on silica/silicon chips. The microdisks are fabricated by photolithography and inductively coupled plasma etching. The lasing wavelength is approximately 1200 nm and the obtained lowest laser threshold is approximately 28 μW. The experimental results show an approach of possible integrated III–V optical active materials on silica/silicon chip for low threshold WGM microdisk lasers.
Key words: quantum dot, whispering gallery mode, laser
| [1] |
Tian Z N, Yu F, Yu Y H, et al. Single-mode unidirectional microcavity laser. Opt Lett, 2017, 42(8): 1572 doi: 10.1364/OL.42.001572
|
| [2] |
Shi B, Zhu S, Li Q, et al. 1.55 μm room-temperature lasing from subwavelength quantum-dot microdisks directly grown on (001) Si. Appl Phys Lett, 2017, 110(12): 121109 doi: 10.1063/1.4979120
|
| [3] |
Tulek A, Akbulut D, Bayindir M. Ultralow threshold laser action from toroidal polymer microcavity. Appl Phys Lett, 2009, 94(20): 203302 doi: 10.1063/1.3141730
|
| [4] |
Grossmann T, Schleede S, Hauser M, et al. Low-threshold conical microcavity dye lasers. Appl Phys Lett, 2010, 97(6): 173
|
| [5] |
Wang Y, Ta V D, Leck K S, et al. Robust whispering-gallery-mode microbubble lasers from colloidal quantum dots. Nano Lett, 2017, 17(4): 2640 doi: 10.1021/acs.nanolett.7b00447
|
| [6] |
Wan Y T, Li Q, Liu A Y, et al. Sub-wavelength InAs quantum dot micro-disk lasers epitaxially grown on exact Si (001) substrates. Appl Phys Lett, 2016, 108(22): 011104 doi: 10.1063/1.4955456
|
| [7] |
Shopova S I, Farca G, Rosenberger A T, et al. Microphere whispering-gallery-mode laser using HgTe quantum dots. Appl Phys Lett, 2004, 85(25): 6101 doi: 10.1063/1.1841459
|
| [8] |
Sugo M, Takanashi Y, Al-jassim M M, et al. Heteroepitaxial growth and characterization of InP on Si substrates. J Appl Phys, 1990, 68(2): 540 doi: 10.1063/1.346826
|
| [9] |
Shimizu Y, Okada Y. Growth of high-quality GaAs/Si films for use in solar cell applications. J Cryst Growth, 2004, 265(1/2): 99
|
| [10] |
Crosnier G, Sanchez D, Bouchoule S, et al. Hybrid indium phosphide-on-silicon nanolaser diode. Nat Photon, 2017, 11(5): 297 doi: 10.1038/nphoton.2017.56
|
| [11] |
Lv X, Zou L, Lin J, et al. Unidirectional-emission single-mode AlGaInAs–InP microcylinder lasers. IEEE Photon Technol Lett, 2012, 24(11): 963 doi: 10.1109/LPT.2012.2190892
|
| [12] |
Fedeli J M, Schrank F, Augendre E, et al. Photonic–electronic integration with bonding. IEEE J Sel Top Quantum Electron, 2014, 20(4): 350 doi: 10.1109/JSTQE.2013.2295713
|
| [13] |
Liang D, Fiorentino M, Okumura T, et al. Electrically-pumped compact hybrid silicon microring lasers for optical interconnects. Opt Express, 2009, 17(22): 20355 doi: 10.1364/OE.17.020355
|
| [14] |
Liang D, Bowers J E. Recent progress in lasers on silicon. Nat Photon, 2010, 4(8): 511 doi: 10.1038/nphoton.2010.167
|
| [15] |
Roelkens G, Van Thourhout D, Baets R, et al. Laser emission and photodetection in an InP/InGaAsP layer integrated on and coupled to a silicon-on-insulator waveguide circuit. Opt Express, 2006, 14(18): 8154 doi: 10.1364/OE.14.008154
|
| [16] |
Van Campenhout J, Rojo-Romeo P, Regreny P, et al. Electrically pumped InP-based microdisk lasers integrated with a nanophotonic silicon-on-insulator waveguide circuit. Opt Express, 2007, 15(11): 6744 doi: 10.1364/OE.15.006744
|
| [17] |
Van Campenhout J, Liu L, Rojo Romeo P, et al. A compact SOI-integrated multiwavelength laser source based on cascaded InP microdisks. IEEE Photon Technol Lett, 2008, 20(16): 1345 doi: 10.1109/LPT.2008.926857
|
| [18] |
Athanasiou M, Smith R, Liu B, et al. Room temperature continuous-wave green lasing from an InGaN microdisk on silicon. Sci Rep, 2013, 4(4): 7250
|
| [19] |
Gao X M, Li J F, Hao Z Z, et al. Vertical microgoblet resonator with high sensitivity fabricated direct laser writing on a Si substrate. J Appl Phys, 2017, 121(6): 064502 doi: 10.1063/1.4975790
|
| [20] |
Bj?rk G, Yamamoto Y. Analysis of semiconductor microcavity lasers using rate equations. IEEE J Quantum Electron, 1991, 27(11): 2386 doi: 10.1109/3.100877
|
| [21] |
Lebedev D V, Kulagina M M, Troshkov S L, et al. Excitonic lasing of strain-free InP(As) quantum dots in AlInAs microdisk. Appl Phys Lett, 2017, 110(12): 121101 doi: 10.1063/1.4979029
|
| [22] |
Tatebayashi J, Kako S, Ho J, et al. Room-temperature lasing in a single nanowire with quantum dots. Nat Photon, 2015, 9(8): 213
|
| [23] |
McCall S L, Levi A F J, Slusher R E, et al. Whispering-gallery mode microdisk lasers. Appl Phys Lett, 1992, 60(3): 289 doi: 10.1063/1.106688
|
| [24] |
Slusher R E, Levi A F J, Mohideen U, et al. Threshold characteristics of semiconductor microdisk lasers. Appl Phys Lett, 1993, 63(10): 1310 doi: 10.1063/1.109714
|
| [25] |
Vahala K J. Optical microcavities. Nature, 2003, 424(6950): 839 doi: 10.1038/nature01939
|
| [26] |
Aoki T, Parkins A S, Alton D J, et al. Efficient routing of single photons by one atom and a microtoroidal cavity. Phys Rev Lett, 2009, 102(8): 083601 doi: 10.1103/PhysRevLett.102.083601
|
| [27] |
Kovsh A R, Maleev N A, Zhukov A E, et al. InAs/InGaAs/ GaAs quantum dot lasers of 1.3 μm range with enhanced optical gain. J Cryst Growth, 2003, 251(1): 729
|
| [1] |
Tian Z N, Yu F, Yu Y H, et al. Single-mode unidirectional microcavity laser. Opt Lett, 2017, 42(8): 1572 doi: 10.1364/OL.42.001572
|
| [2] |
Shi B, Zhu S, Li Q, et al. 1.55 μm room-temperature lasing from subwavelength quantum-dot microdisks directly grown on (001) Si. Appl Phys Lett, 2017, 110(12): 121109 doi: 10.1063/1.4979120
|
| [3] |
Tulek A, Akbulut D, Bayindir M. Ultralow threshold laser action from toroidal polymer microcavity. Appl Phys Lett, 2009, 94(20): 203302 doi: 10.1063/1.3141730
|
| [4] |
Grossmann T, Schleede S, Hauser M, et al. Low-threshold conical microcavity dye lasers. Appl Phys Lett, 2010, 97(6): 173
|
| [5] |
Wang Y, Ta V D, Leck K S, et al. Robust whispering-gallery-mode microbubble lasers from colloidal quantum dots. Nano Lett, 2017, 17(4): 2640 doi: 10.1021/acs.nanolett.7b00447
|
| [6] |
Wan Y T, Li Q, Liu A Y, et al. Sub-wavelength InAs quantum dot micro-disk lasers epitaxially grown on exact Si (001) substrates. Appl Phys Lett, 2016, 108(22): 011104 doi: 10.1063/1.4955456
|
| [7] |
Shopova S I, Farca G, Rosenberger A T, et al. Microphere whispering-gallery-mode laser using HgTe quantum dots. Appl Phys Lett, 2004, 85(25): 6101 doi: 10.1063/1.1841459
|
| [8] |
Sugo M, Takanashi Y, Al-jassim M M, et al. Heteroepitaxial growth and characterization of InP on Si substrates. J Appl Phys, 1990, 68(2): 540 doi: 10.1063/1.346826
|
| [9] |
Shimizu Y, Okada Y. Growth of high-quality GaAs/Si films for use in solar cell applications. J Cryst Growth, 2004, 265(1/2): 99
|
| [10] |
Crosnier G, Sanchez D, Bouchoule S, et al. Hybrid indium phosphide-on-silicon nanolaser diode. Nat Photon, 2017, 11(5): 297 doi: 10.1038/nphoton.2017.56
|
| [11] |
Lv X, Zou L, Lin J, et al. Unidirectional-emission single-mode AlGaInAs–InP microcylinder lasers. IEEE Photon Technol Lett, 2012, 24(11): 963 doi: 10.1109/LPT.2012.2190892
|
| [12] |
Fedeli J M, Schrank F, Augendre E, et al. Photonic–electronic integration with bonding. IEEE J Sel Top Quantum Electron, 2014, 20(4): 350 doi: 10.1109/JSTQE.2013.2295713
|
| [13] |
Liang D, Fiorentino M, Okumura T, et al. Electrically-pumped compact hybrid silicon microring lasers for optical interconnects. Opt Express, 2009, 17(22): 20355 doi: 10.1364/OE.17.020355
|
| [14] |
Liang D, Bowers J E. Recent progress in lasers on silicon. Nat Photon, 2010, 4(8): 511 doi: 10.1038/nphoton.2010.167
|
| [15] |
Roelkens G, Van Thourhout D, Baets R, et al. Laser emission and photodetection in an InP/InGaAsP layer integrated on and coupled to a silicon-on-insulator waveguide circuit. Opt Express, 2006, 14(18): 8154 doi: 10.1364/OE.14.008154
|
| [16] |
Van Campenhout J, Rojo-Romeo P, Regreny P, et al. Electrically pumped InP-based microdisk lasers integrated with a nanophotonic silicon-on-insulator waveguide circuit. Opt Express, 2007, 15(11): 6744 doi: 10.1364/OE.15.006744
|
| [17] |
Van Campenhout J, Liu L, Rojo Romeo P, et al. A compact SOI-integrated multiwavelength laser source based on cascaded InP microdisks. IEEE Photon Technol Lett, 2008, 20(16): 1345 doi: 10.1109/LPT.2008.926857
|
| [18] |
Athanasiou M, Smith R, Liu B, et al. Room temperature continuous-wave green lasing from an InGaN microdisk on silicon. Sci Rep, 2013, 4(4): 7250
|
| [19] |
Gao X M, Li J F, Hao Z Z, et al. Vertical microgoblet resonator with high sensitivity fabricated direct laser writing on a Si substrate. J Appl Phys, 2017, 121(6): 064502 doi: 10.1063/1.4975790
|
| [20] |
Bj?rk G, Yamamoto Y. Analysis of semiconductor microcavity lasers using rate equations. IEEE J Quantum Electron, 1991, 27(11): 2386 doi: 10.1109/3.100877
|
| [21] |
Lebedev D V, Kulagina M M, Troshkov S L, et al. Excitonic lasing of strain-free InP(As) quantum dots in AlInAs microdisk. Appl Phys Lett, 2017, 110(12): 121101 doi: 10.1063/1.4979029
|
| [22] |
Tatebayashi J, Kako S, Ho J, et al. Room-temperature lasing in a single nanowire with quantum dots. Nat Photon, 2015, 9(8): 213
|
| [23] |
McCall S L, Levi A F J, Slusher R E, et al. Whispering-gallery mode microdisk lasers. Appl Phys Lett, 1992, 60(3): 289 doi: 10.1063/1.106688
|
| [24] |
Slusher R E, Levi A F J, Mohideen U, et al. Threshold characteristics of semiconductor microdisk lasers. Appl Phys Lett, 1993, 63(10): 1310 doi: 10.1063/1.109714
|
| [25] |
Vahala K J. Optical microcavities. Nature, 2003, 424(6950): 839 doi: 10.1038/nature01939
|
| [26] |
Aoki T, Parkins A S, Alton D J, et al. Efficient routing of single photons by one atom and a microtoroidal cavity. Phys Rev Lett, 2009, 102(8): 083601 doi: 10.1103/PhysRevLett.102.083601
|
| [27] |
Kovsh A R, Maleev N A, Zhukov A E, et al. InAs/InGaAs/ GaAs quantum dot lasers of 1.3 μm range with enhanced optical gain. J Cryst Growth, 2003, 251(1): 729
|
Article views: 4631 Times PDF downloads: 83 Times Cited by: 0 Times
Received: 30 November 2017 Revised: 25 January 2018 Online: Uncorrected proof: 20 April 2018Accepted Manuscript: 23 April 2018Published: 09 August 2018
| Citation: |
Pengyi Yue, Xiuming Dou, Xiangbin Su, Zhichuan Niu, Baoquan Sun. Room-temperature optically pumped InAs/GaAs quantum dots microdisk lasers on SiO2/Si chip[J]. Journal of Semiconductors, 2018, 39(8): 084003. doi: 10.1088/1674-4926/39/8/084003
****
P Y Yue, X M Dou, X B Su, Z C Niu, B Q Sun, Room-temperature optically pumped InAs/GaAs quantum dots microdisk lasers on SiO2/Si chip[J]. J. Semicond., 2018, 39(8): 084003. doi: 10.1088/1674-4926/39/8/084003.
|
Project supported by the National Key Research and Development Program of China (No. 2016YFA0301202) and the National Natural Science Foundation of China (Nos. 11474275, 61674135, 91536101).
| [1] |
Tian Z N, Yu F, Yu Y H, et al. Single-mode unidirectional microcavity laser. Opt Lett, 2017, 42(8): 1572 doi: 10.1364/OL.42.001572
|
| [2] |
Shi B, Zhu S, Li Q, et al. 1.55 μm room-temperature lasing from subwavelength quantum-dot microdisks directly grown on (001) Si. Appl Phys Lett, 2017, 110(12): 121109 doi: 10.1063/1.4979120
|
| [3] |
Tulek A, Akbulut D, Bayindir M. Ultralow threshold laser action from toroidal polymer microcavity. Appl Phys Lett, 2009, 94(20): 203302 doi: 10.1063/1.3141730
|
| [4] |
Grossmann T, Schleede S, Hauser M, et al. Low-threshold conical microcavity dye lasers. Appl Phys Lett, 2010, 97(6): 173
|
| [5] |
Wang Y, Ta V D, Leck K S, et al. Robust whispering-gallery-mode microbubble lasers from colloidal quantum dots. Nano Lett, 2017, 17(4): 2640 doi: 10.1021/acs.nanolett.7b00447
|
| [6] |
Wan Y T, Li Q, Liu A Y, et al. Sub-wavelength InAs quantum dot micro-disk lasers epitaxially grown on exact Si (001) substrates. Appl Phys Lett, 2016, 108(22): 011104 doi: 10.1063/1.4955456
|
| [7] |
Shopova S I, Farca G, Rosenberger A T, et al. Microphere whispering-gallery-mode laser using HgTe quantum dots. Appl Phys Lett, 2004, 85(25): 6101 doi: 10.1063/1.1841459
|
| [8] |
Sugo M, Takanashi Y, Al-jassim M M, et al. Heteroepitaxial growth and characterization of InP on Si substrates. J Appl Phys, 1990, 68(2): 540 doi: 10.1063/1.346826
|
| [9] |
Shimizu Y, Okada Y. Growth of high-quality GaAs/Si films for use in solar cell applications. J Cryst Growth, 2004, 265(1/2): 99
|
| [10] |
Crosnier G, Sanchez D, Bouchoule S, et al. Hybrid indium phosphide-on-silicon nanolaser diode. Nat Photon, 2017, 11(5): 297 doi: 10.1038/nphoton.2017.56
|
| [11] |
Lv X, Zou L, Lin J, et al. Unidirectional-emission single-mode AlGaInAs–InP microcylinder lasers. IEEE Photon Technol Lett, 2012, 24(11): 963 doi: 10.1109/LPT.2012.2190892
|
| [12] |
Fedeli J M, Schrank F, Augendre E, et al. Photonic–electronic integration with bonding. IEEE J Sel Top Quantum Electron, 2014, 20(4): 350 doi: 10.1109/JSTQE.2013.2295713
|
| [13] |
Liang D, Fiorentino M, Okumura T, et al. Electrically-pumped compact hybrid silicon microring lasers for optical interconnects. Opt Express, 2009, 17(22): 20355 doi: 10.1364/OE.17.020355
|
| [14] |
Liang D, Bowers J E. Recent progress in lasers on silicon. Nat Photon, 2010, 4(8): 511 doi: 10.1038/nphoton.2010.167
|
| [15] |
Roelkens G, Van Thourhout D, Baets R, et al. Laser emission and photodetection in an InP/InGaAsP layer integrated on and coupled to a silicon-on-insulator waveguide circuit. Opt Express, 2006, 14(18): 8154 doi: 10.1364/OE.14.008154
|
| [16] |
Van Campenhout J, Rojo-Romeo P, Regreny P, et al. Electrically pumped InP-based microdisk lasers integrated with a nanophotonic silicon-on-insulator waveguide circuit. Opt Express, 2007, 15(11): 6744 doi: 10.1364/OE.15.006744
|
| [17] |
Van Campenhout J, Liu L, Rojo Romeo P, et al. A compact SOI-integrated multiwavelength laser source based on cascaded InP microdisks. IEEE Photon Technol Lett, 2008, 20(16): 1345 doi: 10.1109/LPT.2008.926857
|
| [18] |
Athanasiou M, Smith R, Liu B, et al. Room temperature continuous-wave green lasing from an InGaN microdisk on silicon. Sci Rep, 2013, 4(4): 7250
|
| [19] |
Gao X M, Li J F, Hao Z Z, et al. Vertical microgoblet resonator with high sensitivity fabricated direct laser writing on a Si substrate. J Appl Phys, 2017, 121(6): 064502 doi: 10.1063/1.4975790
|
| [20] |
Bj?rk G, Yamamoto Y. Analysis of semiconductor microcavity lasers using rate equations. IEEE J Quantum Electron, 1991, 27(11): 2386 doi: 10.1109/3.100877
|
| [21] |
Lebedev D V, Kulagina M M, Troshkov S L, et al. Excitonic lasing of strain-free InP(As) quantum dots in AlInAs microdisk. Appl Phys Lett, 2017, 110(12): 121101 doi: 10.1063/1.4979029
|
| [22] |
Tatebayashi J, Kako S, Ho J, et al. Room-temperature lasing in a single nanowire with quantum dots. Nat Photon, 2015, 9(8): 213
|
| [23] |
McCall S L, Levi A F J, Slusher R E, et al. Whispering-gallery mode microdisk lasers. Appl Phys Lett, 1992, 60(3): 289 doi: 10.1063/1.106688
|
| [24] |
Slusher R E, Levi A F J, Mohideen U, et al. Threshold characteristics of semiconductor microdisk lasers. Appl Phys Lett, 1993, 63(10): 1310 doi: 10.1063/1.109714
|
| [25] |
Vahala K J. Optical microcavities. Nature, 2003, 424(6950): 839 doi: 10.1038/nature01939
|
| [26] |
Aoki T, Parkins A S, Alton D J, et al. Efficient routing of single photons by one atom and a microtoroidal cavity. Phys Rev Lett, 2009, 102(8): 083601 doi: 10.1103/PhysRevLett.102.083601
|
| [27] |
Kovsh A R, Maleev N A, Zhukov A E, et al. InAs/InGaAs/ GaAs quantum dot lasers of 1.3 μm range with enhanced optical gain. J Cryst Growth, 2003, 251(1): 729
|
Journal of Semiconductors © 2017 All Rights Reserved 京ICP備05085259號-2