SEMICONDUCTOR DEVICES
Meixin Feng1, Qian Sun1, 2, , Jianping Liu1, 2, , Zengcheng Li1, Yu Zhou1, Hongwei Gao1, Shuming Zhang1, 2 and Hui Yang1, 2
Corresponding author: Qian Sun, qsun2011@sinano.ac.cn (Sun Q); Jianping Liu, jpliu2010@sinano.ac.cn (Liu J P)
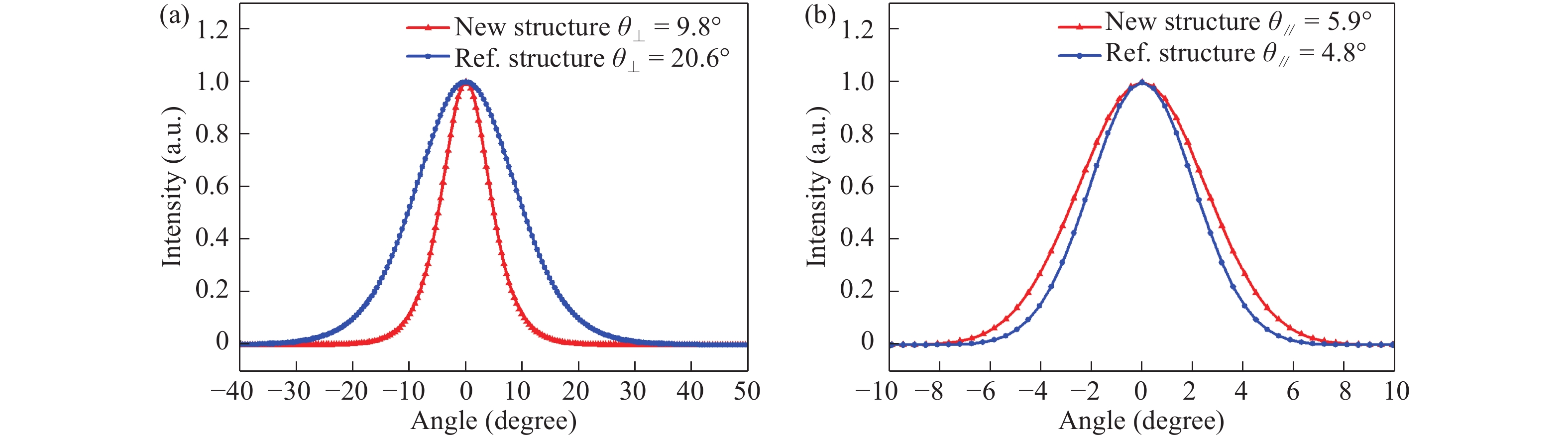
Abstract: c-plane GaN-based blue laser diodes (LDs) were fabricated with Al-free cladding layers (CLs) and deepened etching depth of mesa structure, so the aspect ratio of the far-field pattern (FFP) of the laser beam can be reduced to as low as 1.7, which is nearly the same as conventional AlGaInP-based red LDs. By using GaN CLs, the radiation angle of the laser beam θ⊥ is only 10.1° in the direction perpendicular to the junction plane. After forming a deeply etched mesa, the beam divergence angle parallel to the junction plane of FFP, θ//, increases from 4.9° to 5.8°. After using the modified structure, the operation voltage of LD is effectively reduced by 2 V at an injection current of 50 mA, but the threshold current value increases. The etching damage may be one of the main reasons responsible for the increase of the threshold current.
Key words: Al-free cladding layers, far-field beam patterns, aspect ratio, laser diodes
| [1] |
Nakamura S, Senoh M, Nagahama S, et al. InGaN-based multi-quantum-well-structure laser diodes. Jpn J Appl Phys, 1996, 35: L74 doi: 10.1143/JJAP.35.L74
|
| [2] |
Nakamura S, Senoh M, Nagahama S, et al. High-power, long-lifetime InGaN/GaN/AlGaN based laser diodes grown on pure GaN substrates. Jpn J Appl Phys, 1998, 37: L309 doi: 10.1143/JJAP.37.L309
|
| [3] |
Kawaguchi M, Imafuji O, Nozaki S, et al. Optical-loss suppressed InGaN laser diodes using undoped thick waveguide structure. Proc SPIE, 2016, 9748: 974818 doi: 10.1117/12.2212011
|
| [4] |
Asano T, Takeya M, Tojyo T, et al. High-power 400-nm-band AlGaInN-based laser diodes with low aspect ratio. Appl Phys Lett, 2002, 80: 3497 doi: 10.1063/1.1478157
|
| [5] |
Asano T, Tojyo T, Mizuno T, et al. 100-mW kink-free blue-violet laser diodes with low aspect ratio. IEEE J Quantum Electr, 2003, 39: 135 doi: 10.1109/JQE.2002.806213
|
| [6] |
Ito S, Yamasaki Y, Omi S, et al. AlGaInN violet laser diodes grown on GaN substrates with low aspect ratio. Jpn J Appl Phys, 2004, 43: 96 doi: 10.1143/JJAP.43.96
|
| [7] |
Tojyo T, Asano T, Takeya M, et al. GaN-based high power blue-violet laser diodes. Jpn J Appl Phys, 2001, 40: 3206 doi: 10.1143/JJAP.40.3206
|
| [8] |
Hiroyama R, Inoue D, Nomura Y, et al. High-power 660-nm-band algainp laser diodes with a small aspect ratio for beam divergence. Jpn J Appl Phys, 2002, 41: 1154 doi: 10.1143/JJAP.41.1154
|
| [9] |
Ryu H Y, Ha K H, Lee S N, et al. High-performance blue InGaN laser diodes with single-quantum-well active layers. IEEE Photonic Tech L, 2007, 19: 1717 doi: 10.1109/LPT.2007.905215
|
| [10] |
Braun H, Lauterbach C, Schwarz U T, et al. Experimental and theoretical study of substrate modes in (Al,In)GaN laser diodes. Phys Status Solidi C, 2007, 4: 2772 doi: 10.1002/(ISSN)1610-1642
|
| [11] |
Laino V, Roemer F, Witzigmann B, et al. Substrate modes of (Al,In)GaN semiconductor laser diodes on SiC and GaN substrates. IEEE J Quantum Electr, 2007, 43: 16 doi: 10.1109/JQE.2006.884769
|
| [12] |
Lermer T, Schillgalies M, Breidenassel A, et al. Waveguide design of green InGaN laser diodes. Phys Status Solidi A, 2010, 207: 1328 doi: 10.1002/pssa.200983410
|
| [13] |
Feezell D F, Schmidt M C, Farrell R M, et al. AlGaN-cladding-free nonpolar InGaN/GaN laser diodes. Jpn J Appl Phys, 2007, 46: L284 doi: 10.1143/JJAP.46.L284
|
| [14] |
Farrell R M, Hsu P S, Haeger D A, et al. Low-threshold-current-density AlGaN-cladding-free m-plane InGaN/GaN laser diodes. Appl Phys Lett, 2010, 96: 2311132
|
| [15] |
Pourhashemi A, Farrell R M, Hardy M T, et al. Pulsed high-power AlGaN-cladding-free blue laser diodes on semipolar (20-21) GaN substrates. Appl Phys Lett, 2013, 103: 151112 doi: 10.1063/1.4824773
|
| [16] |
Tyagi A, Farrell R M, Kelchner K M, et al. AlGaN-cladding free green semipolar GaN based laser diode with a lasing wavelength of 506.4 nm. Appl Phys Express, 2010, 3: 011002 doi: 10.1143/APEX.3.011002
|
| [17] |
Feng M X, Liu J P, Zhang S M, et al. Design considerations for GaN-based blue laser diodes with InGaN upper waveguide layer. IEEE J Sel Topics Quantum Electron, 2013, 19: 1500705 doi: 10.1109/JSTQE.2012.2237015
|
| [18] |
Feng M X, Liu J P, Zhang S M, et al. High efficient GaN-based laser diodes with tunnel junction. Appl Phys Lett, 2013, 103: 043508 doi: 10.1063/1.4816598
|
| [19] |
Redaelli L, Martens M, Piprek J, et al. Effect of ridge waveguide etch depth on laser threshold of InGaN MQW laser diodes. Proc SPIE, 2012, 8262: 826219
|
| [20] |
Sizov D S, Bhat R, Heberle A, et al. Internal optical waveguide loss and p-type absorption in blue and green InGaN quantum well laser diodes. Appl Phys Express, 2010, 3: 122104 doi: 10.1143/APEX.3.122104
|
| [21] |
Huang C Y, Lin Y D, Tyagi A, et al. Optical waveguide simulations for the optimization of InGaN-based green laser diodes. J Appl Phys, 2010, 107: 023101 doi: 10.1063/1.3275325
|
| [22] |
Ladroue J, Meritan A, Boufnichel M, et al. Deep GaN etching by inductively coupled plasma and induced surface defects. J Vac Sci Technol A, 2010, 28: 1226 doi: 10.1116/1.3478674
|
| [23] |
Qiu R, Lu H, Chen D, et al. Optimization of inductively coupled plasma deep etching of GaN and etching damage analysis. Appl Surf Sci, 2011, 257: 2700 doi: 10.1016/j.apsusc.2010.10.048
|
| [1] |
Nakamura S, Senoh M, Nagahama S, et al. InGaN-based multi-quantum-well-structure laser diodes. Jpn J Appl Phys, 1996, 35: L74 doi: 10.1143/JJAP.35.L74
|
| [2] |
Nakamura S, Senoh M, Nagahama S, et al. High-power, long-lifetime InGaN/GaN/AlGaN based laser diodes grown on pure GaN substrates. Jpn J Appl Phys, 1998, 37: L309 doi: 10.1143/JJAP.37.L309
|
| [3] |
Kawaguchi M, Imafuji O, Nozaki S, et al. Optical-loss suppressed InGaN laser diodes using undoped thick waveguide structure. Proc SPIE, 2016, 9748: 974818 doi: 10.1117/12.2212011
|
| [4] |
Asano T, Takeya M, Tojyo T, et al. High-power 400-nm-band AlGaInN-based laser diodes with low aspect ratio. Appl Phys Lett, 2002, 80: 3497 doi: 10.1063/1.1478157
|
| [5] |
Asano T, Tojyo T, Mizuno T, et al. 100-mW kink-free blue-violet laser diodes with low aspect ratio. IEEE J Quantum Electr, 2003, 39: 135 doi: 10.1109/JQE.2002.806213
|
| [6] |
Ito S, Yamasaki Y, Omi S, et al. AlGaInN violet laser diodes grown on GaN substrates with low aspect ratio. Jpn J Appl Phys, 2004, 43: 96 doi: 10.1143/JJAP.43.96
|
| [7] |
Tojyo T, Asano T, Takeya M, et al. GaN-based high power blue-violet laser diodes. Jpn J Appl Phys, 2001, 40: 3206 doi: 10.1143/JJAP.40.3206
|
| [8] |
Hiroyama R, Inoue D, Nomura Y, et al. High-power 660-nm-band algainp laser diodes with a small aspect ratio for beam divergence. Jpn J Appl Phys, 2002, 41: 1154 doi: 10.1143/JJAP.41.1154
|
| [9] |
Ryu H Y, Ha K H, Lee S N, et al. High-performance blue InGaN laser diodes with single-quantum-well active layers. IEEE Photonic Tech L, 2007, 19: 1717 doi: 10.1109/LPT.2007.905215
|
| [10] |
Braun H, Lauterbach C, Schwarz U T, et al. Experimental and theoretical study of substrate modes in (Al,In)GaN laser diodes. Phys Status Solidi C, 2007, 4: 2772 doi: 10.1002/(ISSN)1610-1642
|
| [11] |
Laino V, Roemer F, Witzigmann B, et al. Substrate modes of (Al,In)GaN semiconductor laser diodes on SiC and GaN substrates. IEEE J Quantum Electr, 2007, 43: 16 doi: 10.1109/JQE.2006.884769
|
| [12] |
Lermer T, Schillgalies M, Breidenassel A, et al. Waveguide design of green InGaN laser diodes. Phys Status Solidi A, 2010, 207: 1328 doi: 10.1002/pssa.200983410
|
| [13] |
Feezell D F, Schmidt M C, Farrell R M, et al. AlGaN-cladding-free nonpolar InGaN/GaN laser diodes. Jpn J Appl Phys, 2007, 46: L284 doi: 10.1143/JJAP.46.L284
|
| [14] |
Farrell R M, Hsu P S, Haeger D A, et al. Low-threshold-current-density AlGaN-cladding-free m-plane InGaN/GaN laser diodes. Appl Phys Lett, 2010, 96: 2311132
|
| [15] |
Pourhashemi A, Farrell R M, Hardy M T, et al. Pulsed high-power AlGaN-cladding-free blue laser diodes on semipolar (20-21) GaN substrates. Appl Phys Lett, 2013, 103: 151112 doi: 10.1063/1.4824773
|
| [16] |
Tyagi A, Farrell R M, Kelchner K M, et al. AlGaN-cladding free green semipolar GaN based laser diode with a lasing wavelength of 506.4 nm. Appl Phys Express, 2010, 3: 011002 doi: 10.1143/APEX.3.011002
|
| [17] |
Feng M X, Liu J P, Zhang S M, et al. Design considerations for GaN-based blue laser diodes with InGaN upper waveguide layer. IEEE J Sel Topics Quantum Electron, 2013, 19: 1500705 doi: 10.1109/JSTQE.2012.2237015
|
| [18] |
Feng M X, Liu J P, Zhang S M, et al. High efficient GaN-based laser diodes with tunnel junction. Appl Phys Lett, 2013, 103: 043508 doi: 10.1063/1.4816598
|
| [19] |
Redaelli L, Martens M, Piprek J, et al. Effect of ridge waveguide etch depth on laser threshold of InGaN MQW laser diodes. Proc SPIE, 2012, 8262: 826219
|
| [20] |
Sizov D S, Bhat R, Heberle A, et al. Internal optical waveguide loss and p-type absorption in blue and green InGaN quantum well laser diodes. Appl Phys Express, 2010, 3: 122104 doi: 10.1143/APEX.3.122104
|
| [21] |
Huang C Y, Lin Y D, Tyagi A, et al. Optical waveguide simulations for the optimization of InGaN-based green laser diodes. J Appl Phys, 2010, 107: 023101 doi: 10.1063/1.3275325
|
| [22] |
Ladroue J, Meritan A, Boufnichel M, et al. Deep GaN etching by inductively coupled plasma and induced surface defects. J Vac Sci Technol A, 2010, 28: 1226 doi: 10.1116/1.3478674
|
| [23] |
Qiu R, Lu H, Chen D, et al. Optimization of inductively coupled plasma deep etching of GaN and etching damage analysis. Appl Surf Sci, 2011, 257: 2700 doi: 10.1016/j.apsusc.2010.10.048
|
Article views: 4747 Times PDF downloads: 66 Times Cited by: 0 Times
Received: 12 September 2017 Revised: 28 December 2017 Online: Uncorrected proof: 17 April 2018Accepted Manuscript: 23 April 2018Published: 09 August 2018
| Citation: |
Meixin Feng, Qian Sun, Jianping Liu, Zengcheng Li, Yu Zhou, Hongwei Gao, Shuming Zhang, Hui Yang. Al-free cladding-layer blue laser diodes with a low aspect ratio in far-field beam pattern[J]. Journal of Semiconductors, 2018, 39(8): 084004. doi: 10.1088/1674-4926/39/8/084004
****
M X Feng, Q Sun, J P Liu, Z C Li, Y Zhou, H W Gao, S M Zhang, H Yang, Al-free cladding-layer blue laser diodes with a low aspect ratio in far-field beam pattern[J]. J. Semicond., 2018, 39(8): 084004. doi: 10.1088/1674-4926/39/8/084004.
|
Project supported by the National Key R&D Program (Nos. 2017YFB0403100, 2017YFB0403101), the National Natural Science Foundation of China (Nos. 61534007, 61404156, 61522407, 61604168, 61775230), the Key Frontier Scientific Research Program of the Chinese Academy of Sciences (No. QYZDB-SSW-JSC014), the Science and Technology Service Network Initiative of the Chinese Academy of Sciences, the Key R&D Program of Jiangsu Province (No. BE2017079), the Natural Science Foundation of Jiangsu Province (No. BK20160401), and the China Postdoctoral Science Foundation (No. 2016M591944). Project was also supported by the Open Fund of the State Key Laboratory of Luminescence and Applications (No. SKLA-2016-01), the Open Fund of the State Key Laboratory on Integrated Optoelectronics (Nos. IOSKL2016KF04, IOSKL2016KF07), and the Seed Fund from SINANO, CAS (No. Y5AAQ51001). Project also supported technically by Nano Fabrication Facility, Platform for Characterization & Test, Nano-X of SINANO, CAS.
| [1] |
Nakamura S, Senoh M, Nagahama S, et al. InGaN-based multi-quantum-well-structure laser diodes. Jpn J Appl Phys, 1996, 35: L74 doi: 10.1143/JJAP.35.L74
|
| [2] |
Nakamura S, Senoh M, Nagahama S, et al. High-power, long-lifetime InGaN/GaN/AlGaN based laser diodes grown on pure GaN substrates. Jpn J Appl Phys, 1998, 37: L309 doi: 10.1143/JJAP.37.L309
|
| [3] |
Kawaguchi M, Imafuji O, Nozaki S, et al. Optical-loss suppressed InGaN laser diodes using undoped thick waveguide structure. Proc SPIE, 2016, 9748: 974818 doi: 10.1117/12.2212011
|
| [4] |
Asano T, Takeya M, Tojyo T, et al. High-power 400-nm-band AlGaInN-based laser diodes with low aspect ratio. Appl Phys Lett, 2002, 80: 3497 doi: 10.1063/1.1478157
|
| [5] |
Asano T, Tojyo T, Mizuno T, et al. 100-mW kink-free blue-violet laser diodes with low aspect ratio. IEEE J Quantum Electr, 2003, 39: 135 doi: 10.1109/JQE.2002.806213
|
| [6] |
Ito S, Yamasaki Y, Omi S, et al. AlGaInN violet laser diodes grown on GaN substrates with low aspect ratio. Jpn J Appl Phys, 2004, 43: 96 doi: 10.1143/JJAP.43.96
|
| [7] |
Tojyo T, Asano T, Takeya M, et al. GaN-based high power blue-violet laser diodes. Jpn J Appl Phys, 2001, 40: 3206 doi: 10.1143/JJAP.40.3206
|
| [8] |
Hiroyama R, Inoue D, Nomura Y, et al. High-power 660-nm-band algainp laser diodes with a small aspect ratio for beam divergence. Jpn J Appl Phys, 2002, 41: 1154 doi: 10.1143/JJAP.41.1154
|
| [9] |
Ryu H Y, Ha K H, Lee S N, et al. High-performance blue InGaN laser diodes with single-quantum-well active layers. IEEE Photonic Tech L, 2007, 19: 1717 doi: 10.1109/LPT.2007.905215
|
| [10] |
Braun H, Lauterbach C, Schwarz U T, et al. Experimental and theoretical study of substrate modes in (Al,In)GaN laser diodes. Phys Status Solidi C, 2007, 4: 2772 doi: 10.1002/(ISSN)1610-1642
|
| [11] |
Laino V, Roemer F, Witzigmann B, et al. Substrate modes of (Al,In)GaN semiconductor laser diodes on SiC and GaN substrates. IEEE J Quantum Electr, 2007, 43: 16 doi: 10.1109/JQE.2006.884769
|
| [12] |
Lermer T, Schillgalies M, Breidenassel A, et al. Waveguide design of green InGaN laser diodes. Phys Status Solidi A, 2010, 207: 1328 doi: 10.1002/pssa.200983410
|
| [13] |
Feezell D F, Schmidt M C, Farrell R M, et al. AlGaN-cladding-free nonpolar InGaN/GaN laser diodes. Jpn J Appl Phys, 2007, 46: L284 doi: 10.1143/JJAP.46.L284
|
| [14] |
Farrell R M, Hsu P S, Haeger D A, et al. Low-threshold-current-density AlGaN-cladding-free m-plane InGaN/GaN laser diodes. Appl Phys Lett, 2010, 96: 2311132
|
| [15] |
Pourhashemi A, Farrell R M, Hardy M T, et al. Pulsed high-power AlGaN-cladding-free blue laser diodes on semipolar (20-21) GaN substrates. Appl Phys Lett, 2013, 103: 151112 doi: 10.1063/1.4824773
|
| [16] |
Tyagi A, Farrell R M, Kelchner K M, et al. AlGaN-cladding free green semipolar GaN based laser diode with a lasing wavelength of 506.4 nm. Appl Phys Express, 2010, 3: 011002 doi: 10.1143/APEX.3.011002
|
| [17] |
Feng M X, Liu J P, Zhang S M, et al. Design considerations for GaN-based blue laser diodes with InGaN upper waveguide layer. IEEE J Sel Topics Quantum Electron, 2013, 19: 1500705 doi: 10.1109/JSTQE.2012.2237015
|
| [18] |
Feng M X, Liu J P, Zhang S M, et al. High efficient GaN-based laser diodes with tunnel junction. Appl Phys Lett, 2013, 103: 043508 doi: 10.1063/1.4816598
|
| [19] |
Redaelli L, Martens M, Piprek J, et al. Effect of ridge waveguide etch depth on laser threshold of InGaN MQW laser diodes. Proc SPIE, 2012, 8262: 826219
|
| [20] |
Sizov D S, Bhat R, Heberle A, et al. Internal optical waveguide loss and p-type absorption in blue and green InGaN quantum well laser diodes. Appl Phys Express, 2010, 3: 122104 doi: 10.1143/APEX.3.122104
|
| [21] |
Huang C Y, Lin Y D, Tyagi A, et al. Optical waveguide simulations for the optimization of InGaN-based green laser diodes. J Appl Phys, 2010, 107: 023101 doi: 10.1063/1.3275325
|
| [22] |
Ladroue J, Meritan A, Boufnichel M, et al. Deep GaN etching by inductively coupled plasma and induced surface defects. J Vac Sci Technol A, 2010, 28: 1226 doi: 10.1116/1.3478674
|
| [23] |
Qiu R, Lu H, Chen D, et al. Optimization of inductively coupled plasma deep etching of GaN and etching damage analysis. Appl Surf Sci, 2011, 257: 2700 doi: 10.1016/j.apsusc.2010.10.048
|
Journal of Semiconductors © 2017 All Rights Reserved 京ICP備05085259號-2