J. Semicond. > 2018, Volume 39?>?Issue 11?> 114003

SEMICONDUCTOR DEVICES

InAs-based interband cascade lasers at 4.0 μm operating at room temperature

Tian Yu1, 2, Shuman Liu1, 2, , Jinchuan Zhang1, 2, Bo Xu1, 2, Lijun Wang1, 2, Junqi Liu1, 2, Ning Zhuo1, Shenqiang Zhai1, Xiaoling Ye1, 2, Yonghai Chen1, 2, Fengqi Liu1, 2, and Zhanguo Wang1, 2

+ Author Affiliations

 Corresponding author: Shuman Liu, Email: liusm@semi.ac.cn; Fengqi Liu, fqliu@semi.ac.cn

DOI: 10.1088/1674-4926/39/11/114003

PDF

Turn off MathJax

Abstract: InAs-based interband cascade lasers (ICLs) with InAs plasmon waveguides or InAs/AlSb superlattice (SL) waveguides were demonstrated at emission wavelengths below 4.1 μm. The threshold current densities of the lasers with SL waveguides were 37 A/cm2 at 77 K in continuous wave mode. The operation temperature of these lasers reached room temperature in pulsed mode. Compared with the thick InAs n++ plasmon cladding layer, the InAs/AlSb superlattice cladding layers have greater advantages for ICLs with wavelengths less than 4 μm even in InAs based ICLs because in the short-wavelength region they have a higher confinement factor than InAs plasmon waveguides.

Key words: interband cascade laserInAs-basedInAs/AlSb superlattice



[1]
Faist J, Capasso F, Sivco D L, et al. Quantum cascade laser. Science, 1994, 264: 553 doi: 10.1126/science.264.5158.553
[2]
Vitiello M S, Scalari G, Williams B, et al. Quantum cascade lasers: 20 years of challenges. Opt Express, 2015, 23: 5167 doi: 10.1364/OE.23.005167
[3]
Hou C C, Zhao Y, Zhang J C, et al. Room temperature continuous wave operation of quantum cascade laser at λ ~ 9.4 μm. J Semicond, 2018, 39: 034001 doi: 10.1088/1674-4926/39/3/034001
[4]
Ciaffoni L, Grilli R, Hancock G, et al. 3.5-μm high-resolution gas sensing employing a LiNbO3 QPM–DFG waveguide module. Appl Phys B, 2008, 94: 517
[5]
Bauer A, R?ssner K, Lehnhardt T, et al. Mid-infrared semiconductor heterostructure lasers for gas sensing applications. Semicond Sci Technol, 2011, 26: 014032 doi: 10.1088/0268-1242/26/1/014032
[6]
Bandyopadhyay N, Slivken S, Bai Y, et al. High power, continuous wave, room temperature operation of λ ~ 3.4 μm and λ~3.55 μm InP-based quantum cascade lasers. Appl Phys Lett, 2012, 100: 212104 doi: 10.1063/1.4719110
[7]
Bandyopadhyay N, Bai Y, Gokden B, et al. Watt level performance of quantum cascade lasers in room temperature continuous wave operation at λ ~ 3.76 μm. Appl Phys Lett, 2010, 97: 131117 doi: 10.1063/1.3496489
[8]
Yang R Q. Infrared laser based on intersubband transitions in quantum well. Superlattices Microstruct, 1995, 17: 77 doi: 10.1006/spmi.1995.1017
[9]
Kim M, Bewley W W, Canedy C L, et al. High-power continuous-wave interband cascade lasers with 10 active stages. Opt Express, 2015, 23: 9664 doi: 10.1364/OE.23.009664
[10]
Vurgaftman I, Bewley W W, Canedy C L, et al. Rebalancing of internally generated carriers for mid-infrared cascade lasers with very low power consumption. Nature Commun, 2011, 2: 585 doi: 10.1038/ncomms1595
[11]
Edlinger M, Weih R, Scheuermann J, et al. Monolithic single mode interband cascade lasers with wide wavelength tunability. Appl Phys Lett, 2016, 109: 201109 doi: 10.1063/1.4968535
[12]
Weih R, N?hle L, H?fling S, et al. Single mode interband cascade lasers based on lateral metal gratings. Appl Phys Lett, 2014, 105: 071111 doi: 10.1063/1.4893788
[13]
Yang R Q, Li L, Zhao L, et al. Recent progress in development of InAs-based interband cascade lasers. Proc SPIE, 2013, 8640: 86400Q doi: 10.1117/12.2005271
[14]
Li L, Jiang Y, Ye H, et al. Low-threshold InAs-based interband cascade lasers operating at high temperatures. Appl Phys Lett, 2015, 106: 251102 doi: 10.1063/1.4922995
[15]
Tian Z, Yang R Q, Mishima T D, et al. InAs-based interband cascade lasers near 6 μm. Electron Lett, 2008, 45: 48
[16]
Rassel S M S, Li L, Li Y, et al. High-temperature and low-threshold interband cascade lasers at wavelengths longer than 6 μm. Opt Eng, 2018, 57: 011021
[17]
Dallner M, Hau F, H?fling S, et al. InAs-based interband-cascade-lasers emitting around 7 μm with threshold current densities below 1 kA/cm2 at room temperature. Appl Phys Lett, 2015, 106: 041108 doi: 10.1063/1.4907002
[18]
Tian Z, Li L, Ye H, et al. InAs-based interband cascade lasers with emission wavelength at 10.4 μm. Electron Lett, 2012, 48: 113 doi: 10.1049/el.2011.3555
Fig. 2.  (Color online) Calculated band diagram for one cascade stage. The layer structure starting with the barrier separating the active region and the electron injector is as follows: 25 ? AlSb/21.5 ? InAs/29 ? Ga0.7In0.3Sb/19.5 ? InAs/12 ? AlSb/32 ? GaSb/12 ? AlSb/48 ? GaSb/21 ? AlSb/43 ? InAs/12 ? AlSb/33 ? InAs/12 ? AlSb/27 ?.

Fig. 1.  Schematic diagram of two ICL structures with different waveguides.

Fig. 4.  DCXRD patterns of wafer C582 with thinner InAs spacer layers and InAs/AlSb SL cladding layers.

Fig. 3.  DCXRD patterns of wafer C400 with thicker InAs spacer and cladding layers.

Fig. 6.  (Color online) Measured I–V–P characteristics of a narrow ridge laser (14.5 μm × 2 mm) from wafer C400 in cw mode.

Fig. 5.  (Color online) Temperature dependent emission spectra of a narrow ridge laser (14.5 μm × 2 mm) from wafer C400 in cw mode.

Fig. 7.  (Color online) Optical mode and refractive index profiles of wafers C400 and C582.

Fig. 8.  (Color online) Temperature dependent emission spectra of a wide ridge laser (70 μm × 3 mm) from wafer C582 in pulsed mode.

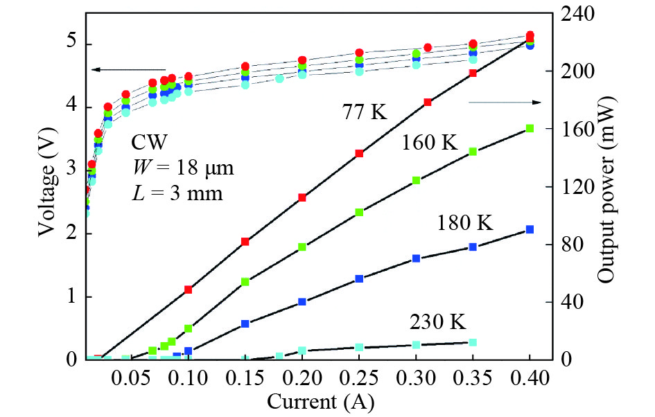
Fig. 9.  (Color online) Measured I–V–P characteristics of a narrow ridge laser (18 μm × 3 mm) from wafer C582 in cw mode.

[1]
Faist J, Capasso F, Sivco D L, et al. Quantum cascade laser. Science, 1994, 264: 553 doi: 10.1126/science.264.5158.553
[2]
Vitiello M S, Scalari G, Williams B, et al. Quantum cascade lasers: 20 years of challenges. Opt Express, 2015, 23: 5167 doi: 10.1364/OE.23.005167
[3]
Hou C C, Zhao Y, Zhang J C, et al. Room temperature continuous wave operation of quantum cascade laser at λ ~ 9.4 μm. J Semicond, 2018, 39: 034001 doi: 10.1088/1674-4926/39/3/034001
[4]
Ciaffoni L, Grilli R, Hancock G, et al. 3.5-μm high-resolution gas sensing employing a LiNbO3 QPM–DFG waveguide module. Appl Phys B, 2008, 94: 517
[5]
Bauer A, R?ssner K, Lehnhardt T, et al. Mid-infrared semiconductor heterostructure lasers for gas sensing applications. Semicond Sci Technol, 2011, 26: 014032 doi: 10.1088/0268-1242/26/1/014032
[6]
Bandyopadhyay N, Slivken S, Bai Y, et al. High power, continuous wave, room temperature operation of λ ~ 3.4 μm and λ~3.55 μm InP-based quantum cascade lasers. Appl Phys Lett, 2012, 100: 212104 doi: 10.1063/1.4719110
[7]
Bandyopadhyay N, Bai Y, Gokden B, et al. Watt level performance of quantum cascade lasers in room temperature continuous wave operation at λ ~ 3.76 μm. Appl Phys Lett, 2010, 97: 131117 doi: 10.1063/1.3496489
[8]
Yang R Q. Infrared laser based on intersubband transitions in quantum well. Superlattices Microstruct, 1995, 17: 77 doi: 10.1006/spmi.1995.1017
[9]
Kim M, Bewley W W, Canedy C L, et al. High-power continuous-wave interband cascade lasers with 10 active stages. Opt Express, 2015, 23: 9664 doi: 10.1364/OE.23.009664
[10]
Vurgaftman I, Bewley W W, Canedy C L, et al. Rebalancing of internally generated carriers for mid-infrared cascade lasers with very low power consumption. Nature Commun, 2011, 2: 585 doi: 10.1038/ncomms1595
[11]
Edlinger M, Weih R, Scheuermann J, et al. Monolithic single mode interband cascade lasers with wide wavelength tunability. Appl Phys Lett, 2016, 109: 201109 doi: 10.1063/1.4968535
[12]
Weih R, N?hle L, H?fling S, et al. Single mode interband cascade lasers based on lateral metal gratings. Appl Phys Lett, 2014, 105: 071111 doi: 10.1063/1.4893788
[13]
Yang R Q, Li L, Zhao L, et al. Recent progress in development of InAs-based interband cascade lasers. Proc SPIE, 2013, 8640: 86400Q doi: 10.1117/12.2005271
[14]
Li L, Jiang Y, Ye H, et al. Low-threshold InAs-based interband cascade lasers operating at high temperatures. Appl Phys Lett, 2015, 106: 251102 doi: 10.1063/1.4922995
[15]
Tian Z, Yang R Q, Mishima T D, et al. InAs-based interband cascade lasers near 6 μm. Electron Lett, 2008, 45: 48
[16]
Rassel S M S, Li L, Li Y, et al. High-temperature and low-threshold interband cascade lasers at wavelengths longer than 6 μm. Opt Eng, 2018, 57: 011021
[17]
Dallner M, Hau F, H?fling S, et al. InAs-based interband-cascade-lasers emitting around 7 μm with threshold current densities below 1 kA/cm2 at room temperature. Appl Phys Lett, 2015, 106: 041108 doi: 10.1063/1.4907002
[18]
Tian Z, Li L, Ye H, et al. InAs-based interband cascade lasers with emission wavelength at 10.4 μm. Electron Lett, 2012, 48: 113 doi: 10.1049/el.2011.3555
  • Search

    Advanced Search >>

    GET CITATION

    shu

    Export: BibTex EndNote

    Article Metrics

    Article views: 4243 Times PDF downloads: 73 Times Cited by: 0 Times

    History

    Received: 28 May 2018 Revised: 27 June 2018 Online: Uncorrected proof: 13 September 2018Published: 01 November 2018

    Catalog

      Email This Article

      User name:
      Email:*請輸入正確郵箱
      Code:*驗證碼錯誤
      Tian Yu, Shuman Liu, Jinchuan Zhang, Bo Xu, Lijun Wang, Junqi Liu, Ning Zhuo, Shenqiang Zhai, Xiaoling Ye, Yonghai Chen, Fengqi Liu, Zhanguo Wang. InAs-based interband cascade lasers at 4.0 μm operating at room temperature[J]. Journal of Semiconductors, 2018, 39(11): 114003. doi: 10.1088/1674-4926/39/11/114003 ****T Yu, S M Liu, J C Zhang, B Xu, L J Wang, J Q Liu, N Zhuo, S Q Zhai, X L Ye, Y H Chen, F Q Liu, Z G Wang, InAs-based interband cascade lasers at 4.0 μm operating at room temperature[J]. J. Semicond., 2018, 39(11): 114003. doi: 10.1088/1674-4926/39/11/114003.
      Citation:
      Tian Yu, Shuman Liu, Jinchuan Zhang, Bo Xu, Lijun Wang, Junqi Liu, Ning Zhuo, Shenqiang Zhai, Xiaoling Ye, Yonghai Chen, Fengqi Liu, Zhanguo Wang. InAs-based interband cascade lasers at 4.0 μm operating at room temperature[J]. Journal of Semiconductors, 2018, 39(11): 114003. doi: 10.1088/1674-4926/39/11/114003 ****
      T Yu, S M Liu, J C Zhang, B Xu, L J Wang, J Q Liu, N Zhuo, S Q Zhai, X L Ye, Y H Chen, F Q Liu, Z G Wang, InAs-based interband cascade lasers at 4.0 μm operating at room temperature[J]. J. Semicond., 2018, 39(11): 114003. doi: 10.1088/1674-4926/39/11/114003.

      InAs-based interband cascade lasers at 4.0 μm operating at room temperature

      DOI: 10.1088/1674-4926/39/11/114003
      Funds:

      Project supported by the National Natural Science Foundation of China (Nos. 61790583, 61774150, 61774151) and the National Basic Research Program of China (No. 2014CB643903).

      More Information

      Catalog

        /

        DownLoad:  Full-Size Img  PowerPoint
        Return
        Return