SEMICONDUCTOR MATERIALS
Minyou He1, Liang Chen1, 2, , Lingai Su1, Lin Yin1 and Yunsheng Qian2
Corresponding author: Liang Chen Email:812416369@qq.com
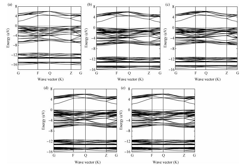
Abstract: To theoretically research the influence of a varied Al component on the active layer of AlGaN photocathodes, the first principle based on density functional theory is used to calculate the formation energy and band structure of AlxGa1-xN with x at 0, 0.125, 0.25, 0.325, and 0.5. The calculation results show that the formation energy declines along with the Al component rise, while the band gap is increasing with Al component increasing. AlxGa1-x with x at 0, 0.125, 0.25, 0.325, and 0.5 are direct band gap semiconductors, and their absorption coefficient curves have the same variation tendency. For further study, we designed two kinds of reflection-mode AlGaN photocathode samples. Sample 1 has an AlxGa1-x active layer with varied Al component ranging from 0.5 to 0 and decreasing from the bulk to the surface, while sample 2 has an AlxGa1-x active layer with the fixed Al component of 0.25. Using the multi-information measurement system, we measured the spectral response of the activated samples at room temperature. Their photocathode parameters were obtained by fitting quantum efficiency curves. Results show that sample 1 has a better spectral response than sample 2 at the range of short-wavelength. This work provides a reference for the structure design of the AlGaN photocathode.
Key words: first-principles, electronic structure, absorption coefficient, spectral response, quantum efficiency, fitting parameter
| [1] |
Munoz E, Monroy E, Pau J L, et al. Ⅲ nitrides and UV detection. J Phys:Condens Matter, 2001, 13(32):7115 doi: 10.1088/0953-8984/13/32/316
|
| [2] |
Seghier D, Gislason H P. Characterization of photoconductivity in AlxGa1-x materials. J Phys D:Appl Phys, 2009, 42(9):095103 doi: 10.1088/0022-3727/42/9/095103
|
| [3] |
Cicek E, Vashaei Z, Huang E K, et al. AlxGa1-x-based deepultraviolet 320×256320×256 focal plane array. Opt Lett, 2012, 37(5):896 doi: 10.1364/OL.37.000896
|
| [4] |
Hanser A D, Nam O H, Bremser M D, et al. Growth, doping and characterization of epitaxial thin films and patterned structures of AlN, GaN, and AlxGa1-x. Diamond Relat Mater, 1999, 8(2):288 http://www.sciencedirect.com/science/article/pii/S0925963598003410
|
| [5] |
Sumiya M, Kamo Y, Ohashi N, et al. Fabrication and hard X-ray photoemission analysis of photocathodes with sharp solar-blind sensitivity using AlGaN films grown on Si substrates. Appl Surf Sci, 2010, 256(14):4442 doi: 10.1016/j.apsusc.2010.01.038
|
| [6] |
Halidou I, Touré A, Nguyen L, et al. Influence of GaN template thickness and morphology on AlxGa1-x luminescence properties. Opt Mater, 2013, 35(5):988 doi: 10.1016/j.optmat.2012.12.009
|
| [7] |
Moustakas T D, Pankove J I, Hamakawa Y. Wide band-gap semiconductors. Materi Res Soc, 1992, 242:335 doi: 10.1557/PROC-242-335
|
| [8] |
Robert F D. Thin films and devices of diamond, silicon carbide and gallium nitride. Physica B, 1993, 185(1):1 https://www.researchgate.net/publication/222180625_Thin_films_and_devices_of_diamond_silicon_carbide_and_gallium_nitride
|
| [9] |
Martinelli R U, Fisher D G. The application of semiconductors with negative electron affinity surfaces to electron emission devices. Proc IEEE, 1974, 62(10):1339 doi: 10.1109/PROC.1974.9626
|
| [10] |
Ainbund M R, Alekseev A N, Alymov O V, et al. Solar-blind UV photocathodes based on AlGaN heterostructures with a 300-to 330-nm spectral sensitivity threshold. Tech Phys Lett, 2012, 38(5):439 doi: 10.1134/S1063785012050033
|
| [11] |
Sumiya M, Kamo Y, Ohashi N, et al. Fabrication and hard X-ray photoemission analysis of photocathodes with sharp solar-blind sensitivity using AlGaN films grown on Si substrates. Appl Surf Sci, 2010, 256(14):4442 doi: 10.1016/j.apsusc.2010.01.038
|
| [12] |
Albanesi E A, Lambrecht W R L, Segall B. Electronic structure and equilibrium properties of GaxAl1-xN alloys. Phys Rev B, 1993, 48(24):17841 doi: 10.1103/PhysRevB.48.17841
|
| [13] |
Hao G H, Chang B K, Shi F, et al. Influence of Al fraction on photoemission performance of AlGaN photocathode. Appl Opt, 2014, 53(17):3637 doi: 10.1364/AO.53.003637
|
| [14] |
Hao G H, Shi F, Cheng H C, et al. Photoemission performance of thin graded structure AlGaN photocathode. Appl Opt, 2015, 54(10):2572 doi: 10.1364/AO.54.002572
|
| [15] |
Yan J, Jacobsen K W, Thygesen K S. Conventional and acoustic surface plasmons on noble metal surfaces:a time-dependent density functional theory study. Phys Rev B, 2012, 86:241404 doi: 10.1103/PhysRevB.86.241404
|
| [16] |
Du Y J, Chang B K, Zhang J J, et al. First-principles study of the electronic structure and optical properties of GaN(0001) surface. Acta Phys Sin, 2012, 61(6):067101 doi: 10.1117/12.841130
|
| [17] |
Du Y J, Chang B K, Wang X H, et al. Study of the optical properties of superlattices ZnO doped with indium. Acta Phys Sin, 2012, 61(5):057101 http://en.cnki.com.cn/Article_en/CJFDTotal-WLXB201205056.htm
|
| [18] |
Zhang L X, McMahon W E, Wei S H. Passivation of deep electronic states of partial dislocations in GaAs:a theoretical study. Appl Phys Lett, 2012, 96:121912 http://adsabs.harvard.edu/abs/2010ApPhL..96l1912Z
|
| [19] |
Yu X H, Ge Z H, Chang B K, et al. First principles study on the influence of vacancy defects on electronic structure and optical properties of Ga0.5Al0.5As photocathodes. Optik, 2014, 125(1):587 doi: 10.1016/j.ijleo.2013.07.058
|
| [20] |
Pickett W E. Pseudopotential methods in condensed matter applications. Phys Rep, 1989, 9(3):115 http://www.sciencedirect.com/science/article/pii/0167797789900026
|
| [21] |
Ceperley D M, Alder B J. Ground state of the electron gas by a stochastic method. Phys Rev Lett, 1980, 45:566 doi: 10.1103/PhysRevLett.45.566
|
| [22] |
Wang W C, Xiong K, Wallace R M, et al. First-principles study of initial growth of GaXO layer on GaAs-β2(2×4) surface and interface passivation by F. J Appl Phys, 2011, 110:103714 doi: 10.1063/1.3662892
|
| [23] |
Silva A M, Silva B P, Sales F A M, et al. Optical absorption and DFT calculations in L-aspartic acid anhydrous crystals:charge carrier effective masses point to semiconducting behavior. Phys Rev B, 2012, 86:195201 doi: 10.1103/PhysRevB.86.195201
|
| [24] |
Kresse G, Hafner J. Ab initio molecular dynamics for liquid metals. Phys Rev B, 1993, 47:558 doi: 10.1103/PhysRevB.47.558
|
| [25] |
Perdew J P, Burke K, Ernzerhof M. Generalized gradient approximation made simple. Appl Phys Lett, 1996, 77:3865 doi: 10.1103/PhysRevLett.77.3865
|
| [26] |
Monkhorst H J, Pack J D. Special points for Brillouin-zone integrations. Phys Rev B, 1976, 13:5188 doi: 10.1103/PhysRevB.13.5188
|
| [27] |
Ke F S, Fu Y X, Duan G Y, et al. CrO codoping effect on electronic and optical properties of GaN. J Infrared Millimeter Wave, 2011, 30(3):825 http://www.oalib.com/paper/1598084
|
| [28] |
Scarrozza M, Pourtois G, Houssa M, et al. A first-principles study of the structural and electronic properties of Ⅲ-Ⅴ/thermal oxide interfaces. Surf Sci, 2009, 86(7):1747
|
| [29] |
Wang W, Lee G, Huang M, et al. First-principles study of GaAs(001)-β2(2×4) surface oxidation and passivation with H, Cl, S, F, and GaO. J Appl Phys, 2010, 107:103720 doi: 10.1063/1.3369540
|
| [30] |
Rinke P, Scheffler M, Qteish A, et al. Band gap and band parameters of InN and GaN from quasiparticle energy calculations based on exact-exchange density-functional theory. Appl Phys Lett, 2006, 89:161919 doi: 10.1063/1.2364469
|
| [31] |
Scarrozza M, Pourtois G, Houssa M, et al. Adsorption of molecular oxygen the reconstructed b2(2×4)-GaAs(001) surface:a first-principles study. Surf Sci, 2009, 603:203 doi: 10.1016/j.susc.2008.11.002
|
| [32] |
Rinke P, Scheffler M, Qteish A, et al. Band gap and band parameters of InN and GaN from quasiparticle energy calculations based on exact-exchange density-functional theory. Appl Phys Lett, 2006, 89:161919 doi: 10.1063/1.2364469
|
| [33] |
Spicer W E, Herrera-G?mez A. Modern theory and applications of photocathodes. Proc SPIE, 1993, 2022(1):18 doi: 10.1117/12.158575
|
| [34] |
Long J P, Yang L J, Li D M, et al. First-principles calculations of structural, electronic, optical and elastic properties of LiEu2Si3. Solid State Sci, 2013, 20:36 doi: 10.1016/j.solidstatesciences.2013.03.007
|
| [35] |
Hanser A D, Nam O H, Bremser M D, et al. Growth, doping and characterization of epitaxial thin films and patterned structures of AlN, GaN, and AlxGa1-x. Diamond Relat Mater, 1999, 8(2):288 http://www.sciencedirect.com/science/article/pii/S0925963598003410
|
| [36] |
Wang X H, Gao P, Wang H G, et al. Influence of wet chemical cleaning on quantum efficiency of GaN photocathode. Chin Phys B, 2013, 22(2):027901 doi: 10.1088/1674-1056/22/2/027901
|
| [37] |
Zhang Y, Niu J, Zhou J, et al. Variation of spectral response for exponential-doped transmission-mode GaAs photocathodes in the preparation process. Appl Opt, 2010, 20(20):3935 https://www.researchgate.net/publication/6895162_Spectral_response_variation_of_a_negative-electron-affinity_photocathode_in_the_preparation_process
|
| [38] |
Chen X, Zhang Y, Chang B, et al. Research on quantum efficiency of reflection-mode GaAs photocathode with thin emission layer. Opt Commun, 2013, 287:35 doi: 10.1016/j.optcom.2012.09.030
|
| [39] |
Zhang Y, Niu J, Zhao J, et al. Influence of exponential-doping structure on photoemission capability of transmission-mode GaAs photocathodes. J Appl Phys, 2010, 108:093108 doi: 10.1063/1.3504193
|
Table 1.
Formation energy of Al
|
Table 2.
Band gaps of Al
|
Table 3. Fitted performance parameters of the two samples.
|
| [1] |
Munoz E, Monroy E, Pau J L, et al. Ⅲ nitrides and UV detection. J Phys:Condens Matter, 2001, 13(32):7115 doi: 10.1088/0953-8984/13/32/316
|
| [2] |
Seghier D, Gislason H P. Characterization of photoconductivity in AlxGa1-x materials. J Phys D:Appl Phys, 2009, 42(9):095103 doi: 10.1088/0022-3727/42/9/095103
|
| [3] |
Cicek E, Vashaei Z, Huang E K, et al. AlxGa1-x-based deepultraviolet 320×256320×256 focal plane array. Opt Lett, 2012, 37(5):896 doi: 10.1364/OL.37.000896
|
| [4] |
Hanser A D, Nam O H, Bremser M D, et al. Growth, doping and characterization of epitaxial thin films and patterned structures of AlN, GaN, and AlxGa1-x. Diamond Relat Mater, 1999, 8(2):288 http://www.sciencedirect.com/science/article/pii/S0925963598003410
|
| [5] |
Sumiya M, Kamo Y, Ohashi N, et al. Fabrication and hard X-ray photoemission analysis of photocathodes with sharp solar-blind sensitivity using AlGaN films grown on Si substrates. Appl Surf Sci, 2010, 256(14):4442 doi: 10.1016/j.apsusc.2010.01.038
|
| [6] |
Halidou I, Touré A, Nguyen L, et al. Influence of GaN template thickness and morphology on AlxGa1-x luminescence properties. Opt Mater, 2013, 35(5):988 doi: 10.1016/j.optmat.2012.12.009
|
| [7] |
Moustakas T D, Pankove J I, Hamakawa Y. Wide band-gap semiconductors. Materi Res Soc, 1992, 242:335 doi: 10.1557/PROC-242-335
|
| [8] |
Robert F D. Thin films and devices of diamond, silicon carbide and gallium nitride. Physica B, 1993, 185(1):1 https://www.researchgate.net/publication/222180625_Thin_films_and_devices_of_diamond_silicon_carbide_and_gallium_nitride
|
| [9] |
Martinelli R U, Fisher D G. The application of semiconductors with negative electron affinity surfaces to electron emission devices. Proc IEEE, 1974, 62(10):1339 doi: 10.1109/PROC.1974.9626
|
| [10] |
Ainbund M R, Alekseev A N, Alymov O V, et al. Solar-blind UV photocathodes based on AlGaN heterostructures with a 300-to 330-nm spectral sensitivity threshold. Tech Phys Lett, 2012, 38(5):439 doi: 10.1134/S1063785012050033
|
| [11] |
Sumiya M, Kamo Y, Ohashi N, et al. Fabrication and hard X-ray photoemission analysis of photocathodes with sharp solar-blind sensitivity using AlGaN films grown on Si substrates. Appl Surf Sci, 2010, 256(14):4442 doi: 10.1016/j.apsusc.2010.01.038
|
| [12] |
Albanesi E A, Lambrecht W R L, Segall B. Electronic structure and equilibrium properties of GaxAl1-xN alloys. Phys Rev B, 1993, 48(24):17841 doi: 10.1103/PhysRevB.48.17841
|
| [13] |
Hao G H, Chang B K, Shi F, et al. Influence of Al fraction on photoemission performance of AlGaN photocathode. Appl Opt, 2014, 53(17):3637 doi: 10.1364/AO.53.003637
|
| [14] |
Hao G H, Shi F, Cheng H C, et al. Photoemission performance of thin graded structure AlGaN photocathode. Appl Opt, 2015, 54(10):2572 doi: 10.1364/AO.54.002572
|
| [15] |
Yan J, Jacobsen K W, Thygesen K S. Conventional and acoustic surface plasmons on noble metal surfaces:a time-dependent density functional theory study. Phys Rev B, 2012, 86:241404 doi: 10.1103/PhysRevB.86.241404
|
| [16] |
Du Y J, Chang B K, Zhang J J, et al. First-principles study of the electronic structure and optical properties of GaN(0001) surface. Acta Phys Sin, 2012, 61(6):067101 doi: 10.1117/12.841130
|
| [17] |
Du Y J, Chang B K, Wang X H, et al. Study of the optical properties of superlattices ZnO doped with indium. Acta Phys Sin, 2012, 61(5):057101 http://en.cnki.com.cn/Article_en/CJFDTotal-WLXB201205056.htm
|
| [18] |
Zhang L X, McMahon W E, Wei S H. Passivation of deep electronic states of partial dislocations in GaAs:a theoretical study. Appl Phys Lett, 2012, 96:121912 http://adsabs.harvard.edu/abs/2010ApPhL..96l1912Z
|
| [19] |
Yu X H, Ge Z H, Chang B K, et al. First principles study on the influence of vacancy defects on electronic structure and optical properties of Ga0.5Al0.5As photocathodes. Optik, 2014, 125(1):587 doi: 10.1016/j.ijleo.2013.07.058
|
| [20] |
Pickett W E. Pseudopotential methods in condensed matter applications. Phys Rep, 1989, 9(3):115 http://www.sciencedirect.com/science/article/pii/0167797789900026
|
| [21] |
Ceperley D M, Alder B J. Ground state of the electron gas by a stochastic method. Phys Rev Lett, 1980, 45:566 doi: 10.1103/PhysRevLett.45.566
|
| [22] |
Wang W C, Xiong K, Wallace R M, et al. First-principles study of initial growth of GaXO layer on GaAs-β2(2×4) surface and interface passivation by F. J Appl Phys, 2011, 110:103714 doi: 10.1063/1.3662892
|
| [23] |
Silva A M, Silva B P, Sales F A M, et al. Optical absorption and DFT calculations in L-aspartic acid anhydrous crystals:charge carrier effective masses point to semiconducting behavior. Phys Rev B, 2012, 86:195201 doi: 10.1103/PhysRevB.86.195201
|
| [24] |
Kresse G, Hafner J. Ab initio molecular dynamics for liquid metals. Phys Rev B, 1993, 47:558 doi: 10.1103/PhysRevB.47.558
|
| [25] |
Perdew J P, Burke K, Ernzerhof M. Generalized gradient approximation made simple. Appl Phys Lett, 1996, 77:3865 doi: 10.1103/PhysRevLett.77.3865
|
| [26] |
Monkhorst H J, Pack J D. Special points for Brillouin-zone integrations. Phys Rev B, 1976, 13:5188 doi: 10.1103/PhysRevB.13.5188
|
| [27] |
Ke F S, Fu Y X, Duan G Y, et al. CrO codoping effect on electronic and optical properties of GaN. J Infrared Millimeter Wave, 2011, 30(3):825 http://www.oalib.com/paper/1598084
|
| [28] |
Scarrozza M, Pourtois G, Houssa M, et al. A first-principles study of the structural and electronic properties of Ⅲ-Ⅴ/thermal oxide interfaces. Surf Sci, 2009, 86(7):1747
|
| [29] |
Wang W, Lee G, Huang M, et al. First-principles study of GaAs(001)-β2(2×4) surface oxidation and passivation with H, Cl, S, F, and GaO. J Appl Phys, 2010, 107:103720 doi: 10.1063/1.3369540
|
| [30] |
Rinke P, Scheffler M, Qteish A, et al. Band gap and band parameters of InN and GaN from quasiparticle energy calculations based on exact-exchange density-functional theory. Appl Phys Lett, 2006, 89:161919 doi: 10.1063/1.2364469
|
| [31] |
Scarrozza M, Pourtois G, Houssa M, et al. Adsorption of molecular oxygen the reconstructed b2(2×4)-GaAs(001) surface:a first-principles study. Surf Sci, 2009, 603:203 doi: 10.1016/j.susc.2008.11.002
|
| [32] |
Rinke P, Scheffler M, Qteish A, et al. Band gap and band parameters of InN and GaN from quasiparticle energy calculations based on exact-exchange density-functional theory. Appl Phys Lett, 2006, 89:161919 doi: 10.1063/1.2364469
|
| [33] |
Spicer W E, Herrera-G?mez A. Modern theory and applications of photocathodes. Proc SPIE, 1993, 2022(1):18 doi: 10.1117/12.158575
|
| [34] |
Long J P, Yang L J, Li D M, et al. First-principles calculations of structural, electronic, optical and elastic properties of LiEu2Si3. Solid State Sci, 2013, 20:36 doi: 10.1016/j.solidstatesciences.2013.03.007
|
| [35] |
Hanser A D, Nam O H, Bremser M D, et al. Growth, doping and characterization of epitaxial thin films and patterned structures of AlN, GaN, and AlxGa1-x. Diamond Relat Mater, 1999, 8(2):288 http://www.sciencedirect.com/science/article/pii/S0925963598003410
|
| [36] |
Wang X H, Gao P, Wang H G, et al. Influence of wet chemical cleaning on quantum efficiency of GaN photocathode. Chin Phys B, 2013, 22(2):027901 doi: 10.1088/1674-1056/22/2/027901
|
| [37] |
Zhang Y, Niu J, Zhou J, et al. Variation of spectral response for exponential-doped transmission-mode GaAs photocathodes in the preparation process. Appl Opt, 2010, 20(20):3935 https://www.researchgate.net/publication/6895162_Spectral_response_variation_of_a_negative-electron-affinity_photocathode_in_the_preparation_process
|
| [38] |
Chen X, Zhang Y, Chang B, et al. Research on quantum efficiency of reflection-mode GaAs photocathode with thin emission layer. Opt Commun, 2013, 287:35 doi: 10.1016/j.optcom.2012.09.030
|
| [39] |
Zhang Y, Niu J, Zhao J, et al. Influence of exponential-doping structure on photoemission capability of transmission-mode GaAs photocathodes. J Appl Phys, 2010, 108:093108 doi: 10.1063/1.3504193
|
Article views: 3170 Times PDF downloads: 21 Times Cited by: 0 Times
Received: 10 October 2016 Revised: 14 December 2016 Online: Published: 01 June 2017
| Citation: |
Minyou He, Liang Chen, Lingai Su, Lin Yin, Yunsheng Qian. Comparative research on the influence of varied Al component on the active layer of AlGaN photocathode[J]. Journal of Semiconductors, 2017, 38(6): 063004. doi: 10.1088/1674-4926/38/6/063004
****
M Y He, L Chen, L G Su, L Yin, Y S Qian. Comparative research on the influence of varied Al component on the active layer of AlGaN photocathode[J]. J. Semicond., 2017, 38(6): 063004. doi: 10.1088/1674-4926/38/6/063004.
|
the Public Technology Applied Research Project of Zhejiang Province 2013C31068
the National Natural Science Foundation of China 61308089
the National Natural Science Foundation of China 6144005
Project supported by the National Natural Science Foundation of China (Nos. 61308089, 6144005) and the Public Technology Applied Research Project of Zhejiang Province (No. 2013C31068)
| [1] |
Munoz E, Monroy E, Pau J L, et al. Ⅲ nitrides and UV detection. J Phys:Condens Matter, 2001, 13(32):7115 doi: 10.1088/0953-8984/13/32/316
|
| [2] |
Seghier D, Gislason H P. Characterization of photoconductivity in AlxGa1-x materials. J Phys D:Appl Phys, 2009, 42(9):095103 doi: 10.1088/0022-3727/42/9/095103
|
| [3] |
Cicek E, Vashaei Z, Huang E K, et al. AlxGa1-x-based deepultraviolet 320×256320×256 focal plane array. Opt Lett, 2012, 37(5):896 doi: 10.1364/OL.37.000896
|
| [4] |
Hanser A D, Nam O H, Bremser M D, et al. Growth, doping and characterization of epitaxial thin films and patterned structures of AlN, GaN, and AlxGa1-x. Diamond Relat Mater, 1999, 8(2):288 http://www.sciencedirect.com/science/article/pii/S0925963598003410
|
| [5] |
Sumiya M, Kamo Y, Ohashi N, et al. Fabrication and hard X-ray photoemission analysis of photocathodes with sharp solar-blind sensitivity using AlGaN films grown on Si substrates. Appl Surf Sci, 2010, 256(14):4442 doi: 10.1016/j.apsusc.2010.01.038
|
| [6] |
Halidou I, Touré A, Nguyen L, et al. Influence of GaN template thickness and morphology on AlxGa1-x luminescence properties. Opt Mater, 2013, 35(5):988 doi: 10.1016/j.optmat.2012.12.009
|
| [7] |
Moustakas T D, Pankove J I, Hamakawa Y. Wide band-gap semiconductors. Materi Res Soc, 1992, 242:335 doi: 10.1557/PROC-242-335
|
| [8] |
Robert F D. Thin films and devices of diamond, silicon carbide and gallium nitride. Physica B, 1993, 185(1):1 https://www.researchgate.net/publication/222180625_Thin_films_and_devices_of_diamond_silicon_carbide_and_gallium_nitride
|
| [9] |
Martinelli R U, Fisher D G. The application of semiconductors with negative electron affinity surfaces to electron emission devices. Proc IEEE, 1974, 62(10):1339 doi: 10.1109/PROC.1974.9626
|
| [10] |
Ainbund M R, Alekseev A N, Alymov O V, et al. Solar-blind UV photocathodes based on AlGaN heterostructures with a 300-to 330-nm spectral sensitivity threshold. Tech Phys Lett, 2012, 38(5):439 doi: 10.1134/S1063785012050033
|
| [11] |
Sumiya M, Kamo Y, Ohashi N, et al. Fabrication and hard X-ray photoemission analysis of photocathodes with sharp solar-blind sensitivity using AlGaN films grown on Si substrates. Appl Surf Sci, 2010, 256(14):4442 doi: 10.1016/j.apsusc.2010.01.038
|
| [12] |
Albanesi E A, Lambrecht W R L, Segall B. Electronic structure and equilibrium properties of GaxAl1-xN alloys. Phys Rev B, 1993, 48(24):17841 doi: 10.1103/PhysRevB.48.17841
|
| [13] |
Hao G H, Chang B K, Shi F, et al. Influence of Al fraction on photoemission performance of AlGaN photocathode. Appl Opt, 2014, 53(17):3637 doi: 10.1364/AO.53.003637
|
| [14] |
Hao G H, Shi F, Cheng H C, et al. Photoemission performance of thin graded structure AlGaN photocathode. Appl Opt, 2015, 54(10):2572 doi: 10.1364/AO.54.002572
|
| [15] |
Yan J, Jacobsen K W, Thygesen K S. Conventional and acoustic surface plasmons on noble metal surfaces:a time-dependent density functional theory study. Phys Rev B, 2012, 86:241404 doi: 10.1103/PhysRevB.86.241404
|
| [16] |
Du Y J, Chang B K, Zhang J J, et al. First-principles study of the electronic structure and optical properties of GaN(0001) surface. Acta Phys Sin, 2012, 61(6):067101 doi: 10.1117/12.841130
|
| [17] |
Du Y J, Chang B K, Wang X H, et al. Study of the optical properties of superlattices ZnO doped with indium. Acta Phys Sin, 2012, 61(5):057101 http://en.cnki.com.cn/Article_en/CJFDTotal-WLXB201205056.htm
|
| [18] |
Zhang L X, McMahon W E, Wei S H. Passivation of deep electronic states of partial dislocations in GaAs:a theoretical study. Appl Phys Lett, 2012, 96:121912 http://adsabs.harvard.edu/abs/2010ApPhL..96l1912Z
|
| [19] |
Yu X H, Ge Z H, Chang B K, et al. First principles study on the influence of vacancy defects on electronic structure and optical properties of Ga0.5Al0.5As photocathodes. Optik, 2014, 125(1):587 doi: 10.1016/j.ijleo.2013.07.058
|
| [20] |
Pickett W E. Pseudopotential methods in condensed matter applications. Phys Rep, 1989, 9(3):115 http://www.sciencedirect.com/science/article/pii/0167797789900026
|
| [21] |
Ceperley D M, Alder B J. Ground state of the electron gas by a stochastic method. Phys Rev Lett, 1980, 45:566 doi: 10.1103/PhysRevLett.45.566
|
| [22] |
Wang W C, Xiong K, Wallace R M, et al. First-principles study of initial growth of GaXO layer on GaAs-β2(2×4) surface and interface passivation by F. J Appl Phys, 2011, 110:103714 doi: 10.1063/1.3662892
|
| [23] |
Silva A M, Silva B P, Sales F A M, et al. Optical absorption and DFT calculations in L-aspartic acid anhydrous crystals:charge carrier effective masses point to semiconducting behavior. Phys Rev B, 2012, 86:195201 doi: 10.1103/PhysRevB.86.195201
|
| [24] |
Kresse G, Hafner J. Ab initio molecular dynamics for liquid metals. Phys Rev B, 1993, 47:558 doi: 10.1103/PhysRevB.47.558
|
| [25] |
Perdew J P, Burke K, Ernzerhof M. Generalized gradient approximation made simple. Appl Phys Lett, 1996, 77:3865 doi: 10.1103/PhysRevLett.77.3865
|
| [26] |
Monkhorst H J, Pack J D. Special points for Brillouin-zone integrations. Phys Rev B, 1976, 13:5188 doi: 10.1103/PhysRevB.13.5188
|
| [27] |
Ke F S, Fu Y X, Duan G Y, et al. CrO codoping effect on electronic and optical properties of GaN. J Infrared Millimeter Wave, 2011, 30(3):825 http://www.oalib.com/paper/1598084
|
| [28] |
Scarrozza M, Pourtois G, Houssa M, et al. A first-principles study of the structural and electronic properties of Ⅲ-Ⅴ/thermal oxide interfaces. Surf Sci, 2009, 86(7):1747
|
| [29] |
Wang W, Lee G, Huang M, et al. First-principles study of GaAs(001)-β2(2×4) surface oxidation and passivation with H, Cl, S, F, and GaO. J Appl Phys, 2010, 107:103720 doi: 10.1063/1.3369540
|
| [30] |
Rinke P, Scheffler M, Qteish A, et al. Band gap and band parameters of InN and GaN from quasiparticle energy calculations based on exact-exchange density-functional theory. Appl Phys Lett, 2006, 89:161919 doi: 10.1063/1.2364469
|
| [31] |
Scarrozza M, Pourtois G, Houssa M, et al. Adsorption of molecular oxygen the reconstructed b2(2×4)-GaAs(001) surface:a first-principles study. Surf Sci, 2009, 603:203 doi: 10.1016/j.susc.2008.11.002
|
| [32] |
Rinke P, Scheffler M, Qteish A, et al. Band gap and band parameters of InN and GaN from quasiparticle energy calculations based on exact-exchange density-functional theory. Appl Phys Lett, 2006, 89:161919 doi: 10.1063/1.2364469
|
| [33] |
Spicer W E, Herrera-G?mez A. Modern theory and applications of photocathodes. Proc SPIE, 1993, 2022(1):18 doi: 10.1117/12.158575
|
| [34] |
Long J P, Yang L J, Li D M, et al. First-principles calculations of structural, electronic, optical and elastic properties of LiEu2Si3. Solid State Sci, 2013, 20:36 doi: 10.1016/j.solidstatesciences.2013.03.007
|
| [35] |
Hanser A D, Nam O H, Bremser M D, et al. Growth, doping and characterization of epitaxial thin films and patterned structures of AlN, GaN, and AlxGa1-x. Diamond Relat Mater, 1999, 8(2):288 http://www.sciencedirect.com/science/article/pii/S0925963598003410
|
| [36] |
Wang X H, Gao P, Wang H G, et al. Influence of wet chemical cleaning on quantum efficiency of GaN photocathode. Chin Phys B, 2013, 22(2):027901 doi: 10.1088/1674-1056/22/2/027901
|
| [37] |
Zhang Y, Niu J, Zhou J, et al. Variation of spectral response for exponential-doped transmission-mode GaAs photocathodes in the preparation process. Appl Opt, 2010, 20(20):3935 https://www.researchgate.net/publication/6895162_Spectral_response_variation_of_a_negative-electron-affinity_photocathode_in_the_preparation_process
|
| [38] |
Chen X, Zhang Y, Chang B, et al. Research on quantum efficiency of reflection-mode GaAs photocathode with thin emission layer. Opt Commun, 2013, 287:35 doi: 10.1016/j.optcom.2012.09.030
|
| [39] |
Zhang Y, Niu J, Zhao J, et al. Influence of exponential-doping structure on photoemission capability of transmission-mode GaAs photocathodes. J Appl Phys, 2010, 108:093108 doi: 10.1063/1.3504193
|
Journal of Semiconductors © 2017 All Rights Reserved 京ICP備05085259號(hào)-2