SEMICONDUCTOR MATERIALS
Yongde Hao, Legui Zhou, Jun Li and Zuoqi Hu
Corresponding author: ZhouLegui,zhoulegui@foxmail.com
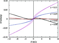
Abstract: Cobalt-doped ZnO powder samples were prepared by sol-gel and hydrothermal method combined. The prepared powder samples were characterized by X-ray diffraction (XRD), scanning electron microscopy (SEM), electron paramagnetic resonance (EPR) and vibrating sample magnetometry (VSM). XRD patterns show that all the samples have a single pure phase with wurtzite structure suggesting that Co2+ occupied Zn2+ sites in the ZnO crystal lattice. SEM images show that crystal grains of cobalt-doped ZnO are hexagonal cone or spheroidal. EPR pattern shows that all of the samples possess oxygen vacancy. Measurement of magnetism indicates that all the samples exhibit room temperature ferromagnetism (RTFM) embedded in a dominant diamagnetic or paramagnetic signal. The dominant signal turns from diamagnetic to paramagnetic with the increase of Co concentration. The magnetic behavior can attribute to defects and Co doping.
Key words: ZnO, dilute magnetic semiconductor, ferromagnetism, sol-gel, hydrothermal method
| [1] |
Furdyna J K. Diluted magnetic semiconductors. J Appl Phys, 1988, 64(4):R29 doi: 10.1063/1.341700
|
| [2] |
Mahadik M A, Hunge Y M, Shinde S S, et al. Semiconducting properties of aluminum-doped ZnO thin films grown by spray pyrolysis technique. Journal of Semiconductors, 2015, 36(3):033002 doi: 10.1088/1674-4926/36/3/033002
|
| [3] |
Saha S K, Rahman M A, Sarkar M R H, et al. Effect of Co doping on structural, optical, electrical and thermal properties of nanostructured ZnO thin films. Journal of Semiconductors, 2015, 36(3):033004 doi: 10.1088/1674-4926/36/3/033004
|
| [4] |
Zheng Dongmei, Wang Zongchi, Xiao Boqi. Optical properties of ionized donor-bound excitons confined in strained wurtzite ZnO/MgxZn1-xO quantum dots. Journal of Semiconductors, 2015, 36(3):033006 doi: 10.1088/1674-4926/36/3/033006
|
| [5] |
Karim A M M T, Khan M K R, Rahman M M. Structural and opto-electrical properties of pyrolized ZnO-CdO crystalline thin films. Journal of Semiconductors, 2015, 36(5):053001 doi: 10.1088/1674-4926/36/5/053001
|
| [6] |
Benhaliliba M, Tiburcio-Silver A, Avila-Garcia A, et al. The sprayed ZnO films:nanostructures and physical parameters. Journal of Semiconductors, 2015, 36(8):083001 doi: 10.1088/1674-4926/36/8/083001
|
| [7] |
Dietl T. Zener model description of ferromagnetism in zincblende magnetic semiconductors. Science, 2000, 287(5455):1019 doi: 10.1126/science.287.5455.1019
|
| [8] |
Sato K, Hiroshi Katayama Y. Material design for transparent ferromagnets with ZnO-based magnetic semiconductors. Jpn J Appl Phys, 2000, 39(6B):L555 http://cn.bing.com/academic/profile?id=2150314106&encoded=0&v=paper_preview&mkt=zh-cn
|
| [9] |
Sharma M, Mehra R M. Effect of thickness on structural, electrical, optical and magnetic properties of Co and Al doped ZnO films deposited by sol-gel route. Appl Surf Sci, 2008, 255(5):2527 doi: 10.1016/j.apsusc.2008.07.153
|
| [10] |
Akilan T, Srinivasan N, Saravanan R. Magnetic and optical properties of Ti doped ZnO prepared by solid state reaction method. Mater Sci Semicond Process, 2015, 30:381 doi: 10.1016/j.mssp.2014.10.025
|
| [11] |
Pal B, Dhara S, Giri P K, et al. Room temperature ferromagnetism with high magnetic moment and optical properties of Co doped ZnO nanorods synthesized by a solvothermal route. Journal of Alloys and Compounds, 2014, 615:378 doi: 10.1016/j.jallcom.2014.06.087
|
| [12] |
Kumar S, Vats P, Gautam S, et al. Electronic structure, magnetic and structural properties of Ni doped ZnO nanoparticles. Materials Research Bulletin, 2014, 59:377 doi: 10.1016/j.materresbull.2014.07.044
|
| [13] |
Sharma P, Gupta A, Rao K V, et al. Ferromagnetism above room temperature in bulk and transparent thin films of Mn-doped ZnO. Nat Mater, 2003, 2(10):673 doi: 10.1038/nmat984
|
| [14] |
Güner S, Gürbüz O, ?al??kan S, et al. The structural and magnetic properties of Co+ implanted ZnO films. Appl Surf Sci, 2014, 310:235 doi: 10.1016/j.apsusc.2014.03.085
|
| [15] |
Fu C F, Liu C, Han L F, et al. Effects of substrate temperature on the structural and magnetic properties in Cr-doped ZnO films prepared by magnetron sputtering. Journal of Materials Science:Materials in Electronics, 2014, 25(9):4139 doi: 10.1007/s10854-014-2140-7
|
| [16] |
Sharma P K, Dutta R K, Pandey A C. Doping dependent roomtemperature ferromagnetism and structural properties of dilute magnetic semiconductor ZnO:Cu2+ nanorods. Journal of Magnetism and Magnetic Materials, 2009, 321(24):4001 doi: 10.1016/j.jmmm.2009.07.066
|
| [17] |
Murtaza G, Ahmad R, Rashid M S, et al. Structural and magnetic studies on Zr doped ZnO diluted magnetic semiconductor. Current Applied Physics, 2014, 14(2):176 doi: 10.1016/j.cap.2013.11.002
|
| [18] |
Babu B, Thirumala Rao G, Pushpa Manjari V, et al. Sonochemical assisted synthesis and spectroscopic characterization of Fe3+ doped ZnO diluted magnetic semiconductor. Journal of Materials Science:Materials in Electronics, 2014, 25(9):4179 doi: 10.1007/s10854-014-2146-1
|
| [19] |
Arda L, Acikgoz M, Dogan N, et al. Synthesis, characterization and ESR studies of Zn1-xCoxO nanoparticles. Journal of Superconductivity and Novel Magnetism, 2013, 27(3):799 http://cn.bing.com/academic/profile?id=2039703539&encoded=0&v=paper_preview&mkt=zh-cn
|
| [20] |
Hassan M M, Khan W, Azam A, et al. Effect of size reduction on structural and optical properties of ZnO matrix due to successive doping of Fe ions. J Lumin, 2014, 145:160 doi: 10.1016/j.jlumin.2013.06.024
|
| [21] |
Karamat S, Rawat R S, Lee P, et al. Synthesis and characterization of bulk cobalt-doped ZnO and their thin films. Journal of Superconductivity and Novel Magnetism, 2013, 26(10):3115 doi: 10.1007/s10948-013-2128-1
|
| [22] |
Yan Z, Ma Y, Wang D, et al. Impact of annealing on morphology and ferromagnetism of ZnO nanorods. Appl Phys Lett, 2008, 92(8):081911 doi: 10.1063/1.2887906
|
| [23] |
Kasai P H. Electron spin resonance studies of donors and acceptors in ZnO. Phys Rev, 1963, 130(3):989 doi: 10.1103/PhysRev.130.989
|
| [24] |
Lal R B, Arnett G M. Electron paramagnetic resonance of photosensitive donors in ZnO. Journal of the Physical Society of Japan, 1966, 21(12):2743 doi: 10.1143/JPSJ.21.2743
|
| [25] |
Sancier K M. ESR investigation of photodamage to zinc oxide powders. Surface Science, 1970, 21(1):1 doi: 10.1016/0039-6028(70)90059-2
|
| [26] |
Ischenko V, Polarz S, Grote D, et al. Zinc oxide nanoparticles with defects. Advanced Functional Materials, 2005, 15(12):1945 doi: 10.1002/(ISSN)1616-3028
|
| [27] |
Zhang L, Yin L, Wang C, et al. Origin of visible photoluminescence of ZnO quantum dots:defect-dependent and sizedependent. J Phys Chem C, 2010, 114(21):9651 doi: 10.1021/jp101324a
|
| [28] |
Kakazey N G, Sreckovic T V, Ristic M M. Electronic paramagnetic resonance investigation of the evolution of defects in zinc oxide during tribophysical activation. Journal of Materials Science, 1997, 32(17):4619 doi: 10.1023/A:1018689721667
|
| [29] |
Jing L, Xu Z, Shang J, et al. The preparation and characterization of ZnO ultrafine particles. Materials Science & Engineering A, 2002, 332(1):356 http://cn.bing.com/academic/profile?id=2044112751&encoded=0&v=paper_preview&mkt=zh-cn
|
| [30] |
Chen X G, Yang Y B, Wu R, et al. Room temperature magnetic properties of ZnO nanostructured films. Phys B, 2011, 406(6/7):1341 http://cn.bing.com/academic/profile?id=2046970045&encoded=0&v=paper_preview&mkt=zh-cn
|
| [31] |
Bououdina M, Omri K, El-Hilo M, et al. Structural and magnetic properties of Mn-doped ZnO nanocrystals. Phys E, 2014, 56:107 doi: 10.1016/j.physe.2013.08.024
|
| [32] |
Arruda L B, Leite D M G, Orlandi M O, et al. Sonochemical synthesis and magnetism in Co-doped ZnO nanoparticles. Journal of Superconductivity and Novel Magnetism, 2012, 26(7):2515 http://cn.bing.com/academic/profile?id=2069227498&encoded=0&v=paper_preview&mkt=zh-cn
|
| [33] |
K?seo?lu Y. A simple microwave-assisted combustion synthesis and structural, optical and magnetic characterization of ZnO nanoplatelets. Ceramics International, 2014, 40(3):4673 doi: 10.1016/j.ceramint.2013.09.008
|
| [34] |
Coey J M D. d0, ferromagnetism. Cheminform, 2005, 36(34):660 http://cn.bing.com/academic/profile?id=39098483&encoded=0&v=paper_preview&mkt=zh-cn
|
| [35] |
Hou D L, Zhao R B, Wei Y Y, et al. Room temperature ferromagnetism in Ni-doped ZnO films. Current Applied Physics, 2010, 10(1):124 doi: 10.1016/j.cap.2009.05.007
|
| [36] |
Wangensteen T, Dhakal T, Merlak M, et al. Growth of uniform ZnO nanoparticles by a microwave plasma process. Journal of Alloys & Compounds, 2011, 509(24):6859 http://cn.bing.com/academic/profile?id=1983022829&encoded=0&v=paper_preview&mkt=zh-cn
|
| [37] |
Kumar S, Thangavel R, Mok B H, et al. Structural and magnetic characterization of undoped ZnO nanopowder. Advanced Science, 2014, 6(2):188 http://cn.bing.com/academic/profile?id=2323464025&encoded=0&v=paper_preview&mkt=zh-cn
|
| [38] |
Kathirvel P, Chandrasekaran J, Manoharan D, et al. Formation and characterization of flame synthesized hexagonal zinc oxide nanorods for gas sensor applications. Ceramics International, 2013, 39(5):5321 doi: 10.1016/j.ceramint.2012.12.037
|
| [39] |
Qin G, Wang X, Zheng J, et al. First-principles investigation of the electronic and magnetic properties of ZnO nanosheet with intrinsic defects. Computational Materials Science, 2014, 81(2):259 http://cn.bing.com/academic/profile?id=2039897489&encoded=0&v=paper_preview&mkt=zh-cn
|
| [40] |
Venkatesan M, Fitzgerald C B, Lunney J G, et al. Anisotropic ferromagnetism in substituted zinc oxide. Phys Rev Lett, 2004, 93(17):177206 doi: 10.1103/PhysRevLett.93.177206
|
| [41] |
Coey J M D, Venkatesan M, Fitzgerald C B. Donor impurity band exchange in dilute ferromagnetic oxides. Nature Materials, 2005, 4(2):173 doi: 10.1038/nmat1310
|
| [42] |
Barick K C, Aslam M, Dravid V P, et al. Self-aggregation and assembly of size-tunable transition metal doped ZnO nanocrystals. J Phys Chem C, 2008, 112(39):15163 doi: 10.1021/jp802361r
|
| [43] |
Patterson C H. Role of defects in ferromagnetism in Zn1-xCoxO:a hybrid density-functional study. Phys Rev B, 2006, 74(14):144432 doi: 10.1103/PhysRevB.74.144432
|
| [44] |
Long P, Zhang H W, Wen Q Y, et al. Origin of room-temperature ferromagnetism for cobalt-doped ZnO diluted magnetic semiconductor. Chin Phys Lett, 2008, 25(4):1438 doi: 10.1088/0256-307X/25/4/074
|
| [45] |
Kumar S. Structural, optical and magnetic properties of sol-gel derived ZnO:Co diluted magnetic semiconductor nanocrystals:an EXAFS study. J Mater Chem C, 2013, 2(3):481 http://cn.bing.com/academic/profile?id=2029192713&encoded=0&v=paper_preview&mkt=zh-cn
|
| [46] |
Kaminski A, Das S S. Polaron percolation in diluted magnetic semiconductors. Phys Rev Lett, 2002, 88(24):930 http://cn.bing.com/academic/profile?id=2094275418&encoded=0&v=paper_preview&mkt=zh-cn
|
| [47] |
Pal B, Giri P K. Defect mediated magnetic interaction and high Tc ferromagnetism in Co doped ZnO nanoparticles. Journal of Nanoscience & Nanotechnology, 2011, 11(11):9167 http://www.ncbi.nlm.nih.gov/pubmed/22400318
|
Table 1. Magnetic parameters of Zn1-xCoxO samples.
![]() |
| [1] |
Furdyna J K. Diluted magnetic semiconductors. J Appl Phys, 1988, 64(4):R29 doi: 10.1063/1.341700
|
| [2] |
Mahadik M A, Hunge Y M, Shinde S S, et al. Semiconducting properties of aluminum-doped ZnO thin films grown by spray pyrolysis technique. Journal of Semiconductors, 2015, 36(3):033002 doi: 10.1088/1674-4926/36/3/033002
|
| [3] |
Saha S K, Rahman M A, Sarkar M R H, et al. Effect of Co doping on structural, optical, electrical and thermal properties of nanostructured ZnO thin films. Journal of Semiconductors, 2015, 36(3):033004 doi: 10.1088/1674-4926/36/3/033004
|
| [4] |
Zheng Dongmei, Wang Zongchi, Xiao Boqi. Optical properties of ionized donor-bound excitons confined in strained wurtzite ZnO/MgxZn1-xO quantum dots. Journal of Semiconductors, 2015, 36(3):033006 doi: 10.1088/1674-4926/36/3/033006
|
| [5] |
Karim A M M T, Khan M K R, Rahman M M. Structural and opto-electrical properties of pyrolized ZnO-CdO crystalline thin films. Journal of Semiconductors, 2015, 36(5):053001 doi: 10.1088/1674-4926/36/5/053001
|
| [6] |
Benhaliliba M, Tiburcio-Silver A, Avila-Garcia A, et al. The sprayed ZnO films:nanostructures and physical parameters. Journal of Semiconductors, 2015, 36(8):083001 doi: 10.1088/1674-4926/36/8/083001
|
| [7] |
Dietl T. Zener model description of ferromagnetism in zincblende magnetic semiconductors. Science, 2000, 287(5455):1019 doi: 10.1126/science.287.5455.1019
|
| [8] |
Sato K, Hiroshi Katayama Y. Material design for transparent ferromagnets with ZnO-based magnetic semiconductors. Jpn J Appl Phys, 2000, 39(6B):L555 http://cn.bing.com/academic/profile?id=2150314106&encoded=0&v=paper_preview&mkt=zh-cn
|
| [9] |
Sharma M, Mehra R M. Effect of thickness on structural, electrical, optical and magnetic properties of Co and Al doped ZnO films deposited by sol-gel route. Appl Surf Sci, 2008, 255(5):2527 doi: 10.1016/j.apsusc.2008.07.153
|
| [10] |
Akilan T, Srinivasan N, Saravanan R. Magnetic and optical properties of Ti doped ZnO prepared by solid state reaction method. Mater Sci Semicond Process, 2015, 30:381 doi: 10.1016/j.mssp.2014.10.025
|
| [11] |
Pal B, Dhara S, Giri P K, et al. Room temperature ferromagnetism with high magnetic moment and optical properties of Co doped ZnO nanorods synthesized by a solvothermal route. Journal of Alloys and Compounds, 2014, 615:378 doi: 10.1016/j.jallcom.2014.06.087
|
| [12] |
Kumar S, Vats P, Gautam S, et al. Electronic structure, magnetic and structural properties of Ni doped ZnO nanoparticles. Materials Research Bulletin, 2014, 59:377 doi: 10.1016/j.materresbull.2014.07.044
|
| [13] |
Sharma P, Gupta A, Rao K V, et al. Ferromagnetism above room temperature in bulk and transparent thin films of Mn-doped ZnO. Nat Mater, 2003, 2(10):673 doi: 10.1038/nmat984
|
| [14] |
Güner S, Gürbüz O, ?al??kan S, et al. The structural and magnetic properties of Co+ implanted ZnO films. Appl Surf Sci, 2014, 310:235 doi: 10.1016/j.apsusc.2014.03.085
|
| [15] |
Fu C F, Liu C, Han L F, et al. Effects of substrate temperature on the structural and magnetic properties in Cr-doped ZnO films prepared by magnetron sputtering. Journal of Materials Science:Materials in Electronics, 2014, 25(9):4139 doi: 10.1007/s10854-014-2140-7
|
| [16] |
Sharma P K, Dutta R K, Pandey A C. Doping dependent roomtemperature ferromagnetism and structural properties of dilute magnetic semiconductor ZnO:Cu2+ nanorods. Journal of Magnetism and Magnetic Materials, 2009, 321(24):4001 doi: 10.1016/j.jmmm.2009.07.066
|
| [17] |
Murtaza G, Ahmad R, Rashid M S, et al. Structural and magnetic studies on Zr doped ZnO diluted magnetic semiconductor. Current Applied Physics, 2014, 14(2):176 doi: 10.1016/j.cap.2013.11.002
|
| [18] |
Babu B, Thirumala Rao G, Pushpa Manjari V, et al. Sonochemical assisted synthesis and spectroscopic characterization of Fe3+ doped ZnO diluted magnetic semiconductor. Journal of Materials Science:Materials in Electronics, 2014, 25(9):4179 doi: 10.1007/s10854-014-2146-1
|
| [19] |
Arda L, Acikgoz M, Dogan N, et al. Synthesis, characterization and ESR studies of Zn1-xCoxO nanoparticles. Journal of Superconductivity and Novel Magnetism, 2013, 27(3):799 http://cn.bing.com/academic/profile?id=2039703539&encoded=0&v=paper_preview&mkt=zh-cn
|
| [20] |
Hassan M M, Khan W, Azam A, et al. Effect of size reduction on structural and optical properties of ZnO matrix due to successive doping of Fe ions. J Lumin, 2014, 145:160 doi: 10.1016/j.jlumin.2013.06.024
|
| [21] |
Karamat S, Rawat R S, Lee P, et al. Synthesis and characterization of bulk cobalt-doped ZnO and their thin films. Journal of Superconductivity and Novel Magnetism, 2013, 26(10):3115 doi: 10.1007/s10948-013-2128-1
|
| [22] |
Yan Z, Ma Y, Wang D, et al. Impact of annealing on morphology and ferromagnetism of ZnO nanorods. Appl Phys Lett, 2008, 92(8):081911 doi: 10.1063/1.2887906
|
| [23] |
Kasai P H. Electron spin resonance studies of donors and acceptors in ZnO. Phys Rev, 1963, 130(3):989 doi: 10.1103/PhysRev.130.989
|
| [24] |
Lal R B, Arnett G M. Electron paramagnetic resonance of photosensitive donors in ZnO. Journal of the Physical Society of Japan, 1966, 21(12):2743 doi: 10.1143/JPSJ.21.2743
|
| [25] |
Sancier K M. ESR investigation of photodamage to zinc oxide powders. Surface Science, 1970, 21(1):1 doi: 10.1016/0039-6028(70)90059-2
|
| [26] |
Ischenko V, Polarz S, Grote D, et al. Zinc oxide nanoparticles with defects. Advanced Functional Materials, 2005, 15(12):1945 doi: 10.1002/(ISSN)1616-3028
|
| [27] |
Zhang L, Yin L, Wang C, et al. Origin of visible photoluminescence of ZnO quantum dots:defect-dependent and sizedependent. J Phys Chem C, 2010, 114(21):9651 doi: 10.1021/jp101324a
|
| [28] |
Kakazey N G, Sreckovic T V, Ristic M M. Electronic paramagnetic resonance investigation of the evolution of defects in zinc oxide during tribophysical activation. Journal of Materials Science, 1997, 32(17):4619 doi: 10.1023/A:1018689721667
|
| [29] |
Jing L, Xu Z, Shang J, et al. The preparation and characterization of ZnO ultrafine particles. Materials Science & Engineering A, 2002, 332(1):356 http://cn.bing.com/academic/profile?id=2044112751&encoded=0&v=paper_preview&mkt=zh-cn
|
| [30] |
Chen X G, Yang Y B, Wu R, et al. Room temperature magnetic properties of ZnO nanostructured films. Phys B, 2011, 406(6/7):1341 http://cn.bing.com/academic/profile?id=2046970045&encoded=0&v=paper_preview&mkt=zh-cn
|
| [31] |
Bououdina M, Omri K, El-Hilo M, et al. Structural and magnetic properties of Mn-doped ZnO nanocrystals. Phys E, 2014, 56:107 doi: 10.1016/j.physe.2013.08.024
|
| [32] |
Arruda L B, Leite D M G, Orlandi M O, et al. Sonochemical synthesis and magnetism in Co-doped ZnO nanoparticles. Journal of Superconductivity and Novel Magnetism, 2012, 26(7):2515 http://cn.bing.com/academic/profile?id=2069227498&encoded=0&v=paper_preview&mkt=zh-cn
|
| [33] |
K?seo?lu Y. A simple microwave-assisted combustion synthesis and structural, optical and magnetic characterization of ZnO nanoplatelets. Ceramics International, 2014, 40(3):4673 doi: 10.1016/j.ceramint.2013.09.008
|
| [34] |
Coey J M D. d0, ferromagnetism. Cheminform, 2005, 36(34):660 http://cn.bing.com/academic/profile?id=39098483&encoded=0&v=paper_preview&mkt=zh-cn
|
| [35] |
Hou D L, Zhao R B, Wei Y Y, et al. Room temperature ferromagnetism in Ni-doped ZnO films. Current Applied Physics, 2010, 10(1):124 doi: 10.1016/j.cap.2009.05.007
|
| [36] |
Wangensteen T, Dhakal T, Merlak M, et al. Growth of uniform ZnO nanoparticles by a microwave plasma process. Journal of Alloys & Compounds, 2011, 509(24):6859 http://cn.bing.com/academic/profile?id=1983022829&encoded=0&v=paper_preview&mkt=zh-cn
|
| [37] |
Kumar S, Thangavel R, Mok B H, et al. Structural and magnetic characterization of undoped ZnO nanopowder. Advanced Science, 2014, 6(2):188 http://cn.bing.com/academic/profile?id=2323464025&encoded=0&v=paper_preview&mkt=zh-cn
|
| [38] |
Kathirvel P, Chandrasekaran J, Manoharan D, et al. Formation and characterization of flame synthesized hexagonal zinc oxide nanorods for gas sensor applications. Ceramics International, 2013, 39(5):5321 doi: 10.1016/j.ceramint.2012.12.037
|
| [39] |
Qin G, Wang X, Zheng J, et al. First-principles investigation of the electronic and magnetic properties of ZnO nanosheet with intrinsic defects. Computational Materials Science, 2014, 81(2):259 http://cn.bing.com/academic/profile?id=2039897489&encoded=0&v=paper_preview&mkt=zh-cn
|
| [40] |
Venkatesan M, Fitzgerald C B, Lunney J G, et al. Anisotropic ferromagnetism in substituted zinc oxide. Phys Rev Lett, 2004, 93(17):177206 doi: 10.1103/PhysRevLett.93.177206
|
| [41] |
Coey J M D, Venkatesan M, Fitzgerald C B. Donor impurity band exchange in dilute ferromagnetic oxides. Nature Materials, 2005, 4(2):173 doi: 10.1038/nmat1310
|
| [42] |
Barick K C, Aslam M, Dravid V P, et al. Self-aggregation and assembly of size-tunable transition metal doped ZnO nanocrystals. J Phys Chem C, 2008, 112(39):15163 doi: 10.1021/jp802361r
|
| [43] |
Patterson C H. Role of defects in ferromagnetism in Zn1-xCoxO:a hybrid density-functional study. Phys Rev B, 2006, 74(14):144432 doi: 10.1103/PhysRevB.74.144432
|
| [44] |
Long P, Zhang H W, Wen Q Y, et al. Origin of room-temperature ferromagnetism for cobalt-doped ZnO diluted magnetic semiconductor. Chin Phys Lett, 2008, 25(4):1438 doi: 10.1088/0256-307X/25/4/074
|
| [45] |
Kumar S. Structural, optical and magnetic properties of sol-gel derived ZnO:Co diluted magnetic semiconductor nanocrystals:an EXAFS study. J Mater Chem C, 2013, 2(3):481 http://cn.bing.com/academic/profile?id=2029192713&encoded=0&v=paper_preview&mkt=zh-cn
|
| [46] |
Kaminski A, Das S S. Polaron percolation in diluted magnetic semiconductors. Phys Rev Lett, 2002, 88(24):930 http://cn.bing.com/academic/profile?id=2094275418&encoded=0&v=paper_preview&mkt=zh-cn
|
| [47] |
Pal B, Giri P K. Defect mediated magnetic interaction and high Tc ferromagnetism in Co doped ZnO nanoparticles. Journal of Nanoscience & Nanotechnology, 2011, 11(11):9167 http://www.ncbi.nlm.nih.gov/pubmed/22400318
|
Article views: 3767 Times PDF downloads: 17 Times Cited by: 0 Times
Received: 25 October 2015 Revised: 30 March 2016 Online: Published: 01 November 2016
| Citation: |
Yongde Hao, Legui Zhou, Jun Li, Zuoqi Hu. Structural, morphological and magnetic properties of Zn1-xCoxO prepared by sol-gel and hydrothermal method combined[J]. Journal of Semiconductors, 2016, 37(11): 113002. doi: 10.1088/1674-4926/37/11/113002
****
Y D Hao, L G Zhou, J Li, Z Q Hu. Structural, morphological and magnetic properties of Zn1-xCoxO prepared by sol-gel and hydrothermal method combined[J]. J. Semicond., 2016, 37(11): 113002. doi: 10.1088/1674-4926/37/11/113002.
|
Project supported by the 46th Institute of China Electronics Technology Group Corporation (No. 0231182346).
46th Institute of China Electronics Technology Group Corporation 0231182346
| [1] |
Furdyna J K. Diluted magnetic semiconductors. J Appl Phys, 1988, 64(4):R29 doi: 10.1063/1.341700
|
| [2] |
Mahadik M A, Hunge Y M, Shinde S S, et al. Semiconducting properties of aluminum-doped ZnO thin films grown by spray pyrolysis technique. Journal of Semiconductors, 2015, 36(3):033002 doi: 10.1088/1674-4926/36/3/033002
|
| [3] |
Saha S K, Rahman M A, Sarkar M R H, et al. Effect of Co doping on structural, optical, electrical and thermal properties of nanostructured ZnO thin films. Journal of Semiconductors, 2015, 36(3):033004 doi: 10.1088/1674-4926/36/3/033004
|
| [4] |
Zheng Dongmei, Wang Zongchi, Xiao Boqi. Optical properties of ionized donor-bound excitons confined in strained wurtzite ZnO/MgxZn1-xO quantum dots. Journal of Semiconductors, 2015, 36(3):033006 doi: 10.1088/1674-4926/36/3/033006
|
| [5] |
Karim A M M T, Khan M K R, Rahman M M. Structural and opto-electrical properties of pyrolized ZnO-CdO crystalline thin films. Journal of Semiconductors, 2015, 36(5):053001 doi: 10.1088/1674-4926/36/5/053001
|
| [6] |
Benhaliliba M, Tiburcio-Silver A, Avila-Garcia A, et al. The sprayed ZnO films:nanostructures and physical parameters. Journal of Semiconductors, 2015, 36(8):083001 doi: 10.1088/1674-4926/36/8/083001
|
| [7] |
Dietl T. Zener model description of ferromagnetism in zincblende magnetic semiconductors. Science, 2000, 287(5455):1019 doi: 10.1126/science.287.5455.1019
|
| [8] |
Sato K, Hiroshi Katayama Y. Material design for transparent ferromagnets with ZnO-based magnetic semiconductors. Jpn J Appl Phys, 2000, 39(6B):L555 http://cn.bing.com/academic/profile?id=2150314106&encoded=0&v=paper_preview&mkt=zh-cn
|
| [9] |
Sharma M, Mehra R M. Effect of thickness on structural, electrical, optical and magnetic properties of Co and Al doped ZnO films deposited by sol-gel route. Appl Surf Sci, 2008, 255(5):2527 doi: 10.1016/j.apsusc.2008.07.153
|
| [10] |
Akilan T, Srinivasan N, Saravanan R. Magnetic and optical properties of Ti doped ZnO prepared by solid state reaction method. Mater Sci Semicond Process, 2015, 30:381 doi: 10.1016/j.mssp.2014.10.025
|
| [11] |
Pal B, Dhara S, Giri P K, et al. Room temperature ferromagnetism with high magnetic moment and optical properties of Co doped ZnO nanorods synthesized by a solvothermal route. Journal of Alloys and Compounds, 2014, 615:378 doi: 10.1016/j.jallcom.2014.06.087
|
| [12] |
Kumar S, Vats P, Gautam S, et al. Electronic structure, magnetic and structural properties of Ni doped ZnO nanoparticles. Materials Research Bulletin, 2014, 59:377 doi: 10.1016/j.materresbull.2014.07.044
|
| [13] |
Sharma P, Gupta A, Rao K V, et al. Ferromagnetism above room temperature in bulk and transparent thin films of Mn-doped ZnO. Nat Mater, 2003, 2(10):673 doi: 10.1038/nmat984
|
| [14] |
Güner S, Gürbüz O, ?al??kan S, et al. The structural and magnetic properties of Co+ implanted ZnO films. Appl Surf Sci, 2014, 310:235 doi: 10.1016/j.apsusc.2014.03.085
|
| [15] |
Fu C F, Liu C, Han L F, et al. Effects of substrate temperature on the structural and magnetic properties in Cr-doped ZnO films prepared by magnetron sputtering. Journal of Materials Science:Materials in Electronics, 2014, 25(9):4139 doi: 10.1007/s10854-014-2140-7
|
| [16] |
Sharma P K, Dutta R K, Pandey A C. Doping dependent roomtemperature ferromagnetism and structural properties of dilute magnetic semiconductor ZnO:Cu2+ nanorods. Journal of Magnetism and Magnetic Materials, 2009, 321(24):4001 doi: 10.1016/j.jmmm.2009.07.066
|
| [17] |
Murtaza G, Ahmad R, Rashid M S, et al. Structural and magnetic studies on Zr doped ZnO diluted magnetic semiconductor. Current Applied Physics, 2014, 14(2):176 doi: 10.1016/j.cap.2013.11.002
|
| [18] |
Babu B, Thirumala Rao G, Pushpa Manjari V, et al. Sonochemical assisted synthesis and spectroscopic characterization of Fe3+ doped ZnO diluted magnetic semiconductor. Journal of Materials Science:Materials in Electronics, 2014, 25(9):4179 doi: 10.1007/s10854-014-2146-1
|
| [19] |
Arda L, Acikgoz M, Dogan N, et al. Synthesis, characterization and ESR studies of Zn1-xCoxO nanoparticles. Journal of Superconductivity and Novel Magnetism, 2013, 27(3):799 http://cn.bing.com/academic/profile?id=2039703539&encoded=0&v=paper_preview&mkt=zh-cn
|
| [20] |
Hassan M M, Khan W, Azam A, et al. Effect of size reduction on structural and optical properties of ZnO matrix due to successive doping of Fe ions. J Lumin, 2014, 145:160 doi: 10.1016/j.jlumin.2013.06.024
|
| [21] |
Karamat S, Rawat R S, Lee P, et al. Synthesis and characterization of bulk cobalt-doped ZnO and their thin films. Journal of Superconductivity and Novel Magnetism, 2013, 26(10):3115 doi: 10.1007/s10948-013-2128-1
|
| [22] |
Yan Z, Ma Y, Wang D, et al. Impact of annealing on morphology and ferromagnetism of ZnO nanorods. Appl Phys Lett, 2008, 92(8):081911 doi: 10.1063/1.2887906
|
| [23] |
Kasai P H. Electron spin resonance studies of donors and acceptors in ZnO. Phys Rev, 1963, 130(3):989 doi: 10.1103/PhysRev.130.989
|
| [24] |
Lal R B, Arnett G M. Electron paramagnetic resonance of photosensitive donors in ZnO. Journal of the Physical Society of Japan, 1966, 21(12):2743 doi: 10.1143/JPSJ.21.2743
|
| [25] |
Sancier K M. ESR investigation of photodamage to zinc oxide powders. Surface Science, 1970, 21(1):1 doi: 10.1016/0039-6028(70)90059-2
|
| [26] |
Ischenko V, Polarz S, Grote D, et al. Zinc oxide nanoparticles with defects. Advanced Functional Materials, 2005, 15(12):1945 doi: 10.1002/(ISSN)1616-3028
|
| [27] |
Zhang L, Yin L, Wang C, et al. Origin of visible photoluminescence of ZnO quantum dots:defect-dependent and sizedependent. J Phys Chem C, 2010, 114(21):9651 doi: 10.1021/jp101324a
|
| [28] |
Kakazey N G, Sreckovic T V, Ristic M M. Electronic paramagnetic resonance investigation of the evolution of defects in zinc oxide during tribophysical activation. Journal of Materials Science, 1997, 32(17):4619 doi: 10.1023/A:1018689721667
|
| [29] |
Jing L, Xu Z, Shang J, et al. The preparation and characterization of ZnO ultrafine particles. Materials Science & Engineering A, 2002, 332(1):356 http://cn.bing.com/academic/profile?id=2044112751&encoded=0&v=paper_preview&mkt=zh-cn
|
| [30] |
Chen X G, Yang Y B, Wu R, et al. Room temperature magnetic properties of ZnO nanostructured films. Phys B, 2011, 406(6/7):1341 http://cn.bing.com/academic/profile?id=2046970045&encoded=0&v=paper_preview&mkt=zh-cn
|
| [31] |
Bououdina M, Omri K, El-Hilo M, et al. Structural and magnetic properties of Mn-doped ZnO nanocrystals. Phys E, 2014, 56:107 doi: 10.1016/j.physe.2013.08.024
|
| [32] |
Arruda L B, Leite D M G, Orlandi M O, et al. Sonochemical synthesis and magnetism in Co-doped ZnO nanoparticles. Journal of Superconductivity and Novel Magnetism, 2012, 26(7):2515 http://cn.bing.com/academic/profile?id=2069227498&encoded=0&v=paper_preview&mkt=zh-cn
|
| [33] |
K?seo?lu Y. A simple microwave-assisted combustion synthesis and structural, optical and magnetic characterization of ZnO nanoplatelets. Ceramics International, 2014, 40(3):4673 doi: 10.1016/j.ceramint.2013.09.008
|
| [34] |
Coey J M D. d0, ferromagnetism. Cheminform, 2005, 36(34):660 http://cn.bing.com/academic/profile?id=39098483&encoded=0&v=paper_preview&mkt=zh-cn
|
| [35] |
Hou D L, Zhao R B, Wei Y Y, et al. Room temperature ferromagnetism in Ni-doped ZnO films. Current Applied Physics, 2010, 10(1):124 doi: 10.1016/j.cap.2009.05.007
|
| [36] |
Wangensteen T, Dhakal T, Merlak M, et al. Growth of uniform ZnO nanoparticles by a microwave plasma process. Journal of Alloys & Compounds, 2011, 509(24):6859 http://cn.bing.com/academic/profile?id=1983022829&encoded=0&v=paper_preview&mkt=zh-cn
|
| [37] |
Kumar S, Thangavel R, Mok B H, et al. Structural and magnetic characterization of undoped ZnO nanopowder. Advanced Science, 2014, 6(2):188 http://cn.bing.com/academic/profile?id=2323464025&encoded=0&v=paper_preview&mkt=zh-cn
|
| [38] |
Kathirvel P, Chandrasekaran J, Manoharan D, et al. Formation and characterization of flame synthesized hexagonal zinc oxide nanorods for gas sensor applications. Ceramics International, 2013, 39(5):5321 doi: 10.1016/j.ceramint.2012.12.037
|
| [39] |
Qin G, Wang X, Zheng J, et al. First-principles investigation of the electronic and magnetic properties of ZnO nanosheet with intrinsic defects. Computational Materials Science, 2014, 81(2):259 http://cn.bing.com/academic/profile?id=2039897489&encoded=0&v=paper_preview&mkt=zh-cn
|
| [40] |
Venkatesan M, Fitzgerald C B, Lunney J G, et al. Anisotropic ferromagnetism in substituted zinc oxide. Phys Rev Lett, 2004, 93(17):177206 doi: 10.1103/PhysRevLett.93.177206
|
| [41] |
Coey J M D, Venkatesan M, Fitzgerald C B. Donor impurity band exchange in dilute ferromagnetic oxides. Nature Materials, 2005, 4(2):173 doi: 10.1038/nmat1310
|
| [42] |
Barick K C, Aslam M, Dravid V P, et al. Self-aggregation and assembly of size-tunable transition metal doped ZnO nanocrystals. J Phys Chem C, 2008, 112(39):15163 doi: 10.1021/jp802361r
|
| [43] |
Patterson C H. Role of defects in ferromagnetism in Zn1-xCoxO:a hybrid density-functional study. Phys Rev B, 2006, 74(14):144432 doi: 10.1103/PhysRevB.74.144432
|
| [44] |
Long P, Zhang H W, Wen Q Y, et al. Origin of room-temperature ferromagnetism for cobalt-doped ZnO diluted magnetic semiconductor. Chin Phys Lett, 2008, 25(4):1438 doi: 10.1088/0256-307X/25/4/074
|
| [45] |
Kumar S. Structural, optical and magnetic properties of sol-gel derived ZnO:Co diluted magnetic semiconductor nanocrystals:an EXAFS study. J Mater Chem C, 2013, 2(3):481 http://cn.bing.com/academic/profile?id=2029192713&encoded=0&v=paper_preview&mkt=zh-cn
|
| [46] |
Kaminski A, Das S S. Polaron percolation in diluted magnetic semiconductors. Phys Rev Lett, 2002, 88(24):930 http://cn.bing.com/academic/profile?id=2094275418&encoded=0&v=paper_preview&mkt=zh-cn
|
| [47] |
Pal B, Giri P K. Defect mediated magnetic interaction and high Tc ferromagnetism in Co doped ZnO nanoparticles. Journal of Nanoscience & Nanotechnology, 2011, 11(11):9167 http://www.ncbi.nlm.nih.gov/pubmed/22400318
|
Journal of Semiconductors © 2017 All Rights Reserved 京ICP備05085259號-2