SEMICONDUCTOR DEVICES
D Nebti, Z Hadjoub, A Guerraoui, F Z Khelifati and A Doghmane
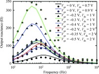
Abstract: The aim of this article is to investigate the effect of dielectric loss tangent on frequency dispersion of output reactance and capacitance in GaAs MESFETs. For this purpose, measurements of output impedance modulus and phase have been carried out within a frequency range of 10 Hz to 10 kHz, and various voltage values of gate-source (Vgs=0, -0.2, -0.3, -0.35, -0.4, -0.45, -0.5 and -0.6 V) and drain-source (Vds=0.7, 0.9, 1, 1.5 and 2 V) Based on the concept of complex permittivity of semiconductor material, complex capacitance is used to analyze and simulate frequency dispersion of output reactance and capacitance of GaAs MESFETs. The results show that conductor losses which dominate the dielectric loss tangent are attributed to trapping mechanisms at the interface of devices; so they influence the frequency dispersion of output reactance and capacitance in particular at low frequencies. This reveals that frequency dispersion of these parameters is also related to dielectric loss tangent of semiconductor materials which affects the response of electronic devices according to frequency variation.
Key words: GaAs MESFET, capacitance, dielectric loss, complex permittivity
| [1] |
Raffo A, Bosi G, Vadalà V, et al. G Behavioral modeling of GaN FETs:a load-line approach. IEEE Trans Microw Theory Tech, 2014, 62(1):73 doi: 10.1109/TMTT.2013.2291710
|
| [2] |
Florian C, Traverso P A, Santarelli A, et al. An active bias network for the characterization of low-frequency dispersion in high-power microwave electron devices. IEEE Trans Instrum Meas, 2013, 62(10):2857 doi: 10.1109/TIM.2013.2263911
|
| [3] |
Van Raay F, Quay R, Eggebert M S, et al. New low-frequency dispersion model for AlGaN/GaN HEMTs using integral transform and state description. IEEE Trans Microw Theory Tech 2013, 61(1):154 http://cn.bing.com/academic/profile?id=2057669315&encoded=0&v=paper_preview&mkt=zh-cn
|
| [4] |
Dieudonne N S, Escotte L, Tartarin J G, et al. Broadband frequency dispersion small signal modeling of the output conductance and transconductance in AlInN/GaN HEMTs. IEEE Trans Electron Devices, 2013, 60(4):1372 doi: 10.1109/TED.2013.2248158
|
| [5] |
Hadjoub Z, Cheikh K, Zouyed A, et al. A quantification of surface state effects in GaAs MESFETs. IOP Conf Ser Mater Sci Eng, 2012, 28(1):1 http://cn.bing.com/academic/profile?id=2081798204&encoded=0&v=paper_preview&mkt=zh-cn
|
| [6] |
Graffeuil J, Hadjoub Z, Fortea J P, et al. Analysis of capacitance and transconductance frequency dispersions in MESFETs for surface characterization. Solid-State Electron, 1986, 29(10):1087 doi: 10.1016/0038-1101(86)90110-3
|
| [7] |
Hadjoub Z, Khelifati F Z, Nebti D, et al. Determination of GaAs MESFETs self-heating temperature via output conductance frequency dispersion. J Optoelectron Adv Mater, 2013, 15(7-8):1131 https://www.researchgate.net/publication/289899624_Determination_of_GaAs_MESFETs_self_heating_temperature_via_output_conductance_frequency_dispersion?_sg=OGSLGySpTO4nMVP4J4irBBfuZaHmZikjUMppusOHVJ4x8HhnXPzdslPqg59kLe1oEGPW38LesP87Td1zg9KejQ
|
| [8] |
Krupka J, Nguyen D, Mazierska J. Microwave and RF methods of contactless mapping of the sheet resistance and the complex permittivity of conductive materials and semiconductors. Meas Sci Technol, 2011, 22(8):1 http://cn.bing.com/academic/profile?id=2033376669&encoded=0&v=paper_preview&mkt=zh-cn
|
| [9] |
Krupka J. Contactless methods of conductivity and sheet resistance measurement for semiconductors, conductors and superconductors. Meas Sci Technol, 2013, 24(6):1 http://cn.bing.com/academic/profile?id=1965673491&encoded=0&v=paper_preview&mkt=zh-cn
|
| [10] |
Shekharam T, Laxminarasimha Rao V, Yellaiah G, et al. AC conductivity, dielectric and impedance studies of Cd0.8-xPbxZn0.2S mixed semiconductor compounds. J Alloys Compd, 2014, 617:952 doi: 10.1016/j.jallcom.2014.08.116
|
| [11] |
Ertu?rul R, Tataro?lu A. Influence of temperature and frequency on dielectric permittivity and ac conductivity of Au/SnO2/n-Si (MOS) structures. Chin Phys Lett, 2012, 29(7):077304 doi: 10.1088/0256-307X/29/7/077304
|
| [12] |
Tekeli Z, G?k?en M, Altindal ?, et al. On the profile of frequency dependent dielectric properties of (Ni/Au)/GaN/Al0.3Ga0.7N heterostructures. Microelectron Reliab, 2011, 51(3):581 doi: 10.1016/j.microrel.2010.09.018
|
| [13] |
Krupka J. Frequency domain complex permittivity measurements at microwave frequencies. Meas Sci Technol, 2006, 17(6):55 doi: 10.1088/0957-0233/17/6/R01
|
| [14] |
Sadjid A A, Ambreen N, Bushara F, et al. Temperature dependence anomalous dielectric relaxation in Co doped ZnO nanoparticles. Mater Res Bull, 2012, 47(12):4161 doi: 10.1016/j.materresbull.2012.08.079
|
| [15] |
?afak A Y, Asar T, Altindal ?, et al. Investigation of dielectric relaxation and ac electrical conductivity using impedance spectroscopy method in (AuZn)/TiO2/p-GaAs (110) Schottky barrier diodes. J Alloys Compd, 2015, 628:442 doi: 10.1016/j.jallcom.2014.12.170
|
| [16] |
Krupka J, Breeze J, Centeno A, et al. Measurements of permittivity, dielectric loss tangent and resistivity of float zone silicon at microwave frequencies. IEEE Trans Microw Theory Tech, 2006, 54(10):3995 http://cn.bing.com/academic/profile?id=2103519635&encoded=0&v=paper_preview&mkt=zh-cn
|
| [17] |
Krupka J, Mazierska J. Contactless measurements of resistivity of semiconductor wafers employing single-post and split-post dielectric-resonator techniques. IEEE Trans Instrum Meas, 2007, 56(5):1839 doi: 10.1109/TIM.2007.903647
|
| [18] |
Lin H C, Kim, S K, Chang D, et al. Direct-current and radio-frequency characterizations of GaAs metal-insulator-semiconductor field-effect transistors enabled by self-assembled nanodielectrics. Appl Phys Lett, 2007, 91(9):092103 doi: 10.1063/1.2776013
|
| [19] |
Ding Y, Luo H H, Yan X L. Current oscillations and low-frequency noises in GaAs MESFET channels with sidegating bias. Journal of Zhejiang University Science C, 2011, 12(7):597 doi: 10.1631/jzus.C1000312
|
| [20] |
Birbas A N, Brunn B, van Rheenen A D, et al. Low-frequency noise in GaAs MESFETs related to backgating effects. IEE Proc G Circ Dev Syst, 1991, 138(2):175 doi: 10.1049/ip-g-2.1991.0033
|
| [21] |
Izpura J I. 1/f electrical noise due to space charge regions. J. Eur. Ceram Soc, 2007, 27(13——15):4011 http://cn.bing.com/academic/profile?id=2075353569&encoded=0&v=paper_preview&mkt=zh-cn
|
| [22] |
Manifacier J C. Contact vs bulk effects in N-semi-insulating N and P-semi-insulating-P diodes. Solid-State Electron, 2013, 80:45 doi: 10.1016/j.sse.2012.10.003
|
| [23] |
Kayis C, Zhu C Y, Wu M, et al. Field assisted emission in AlGaN/GaN heterostructure field-effect transistors using low-frequency noise technique. J Appl Phys, 2011, 109(8):084522 doi: 10.1063/1.3576104
|
| [24] |
Shukla A, Choudhary R N P, Thakur A K. Thermal, structural and complex impedance analysis of Mn4+ modified BaTiO3 electroceramic. J Phys Chem Solids, 2009, 70(11):1401 doi: 10.1016/j.jpcs.2009.08.015
|
Table 1. Device parameters.
![]() |
Table 2. Simulation parameters.
![]() |
| [1] |
Raffo A, Bosi G, Vadalà V, et al. G Behavioral modeling of GaN FETs:a load-line approach. IEEE Trans Microw Theory Tech, 2014, 62(1):73 doi: 10.1109/TMTT.2013.2291710
|
| [2] |
Florian C, Traverso P A, Santarelli A, et al. An active bias network for the characterization of low-frequency dispersion in high-power microwave electron devices. IEEE Trans Instrum Meas, 2013, 62(10):2857 doi: 10.1109/TIM.2013.2263911
|
| [3] |
Van Raay F, Quay R, Eggebert M S, et al. New low-frequency dispersion model for AlGaN/GaN HEMTs using integral transform and state description. IEEE Trans Microw Theory Tech 2013, 61(1):154 http://cn.bing.com/academic/profile?id=2057669315&encoded=0&v=paper_preview&mkt=zh-cn
|
| [4] |
Dieudonne N S, Escotte L, Tartarin J G, et al. Broadband frequency dispersion small signal modeling of the output conductance and transconductance in AlInN/GaN HEMTs. IEEE Trans Electron Devices, 2013, 60(4):1372 doi: 10.1109/TED.2013.2248158
|
| [5] |
Hadjoub Z, Cheikh K, Zouyed A, et al. A quantification of surface state effects in GaAs MESFETs. IOP Conf Ser Mater Sci Eng, 2012, 28(1):1 http://cn.bing.com/academic/profile?id=2081798204&encoded=0&v=paper_preview&mkt=zh-cn
|
| [6] |
Graffeuil J, Hadjoub Z, Fortea J P, et al. Analysis of capacitance and transconductance frequency dispersions in MESFETs for surface characterization. Solid-State Electron, 1986, 29(10):1087 doi: 10.1016/0038-1101(86)90110-3
|
| [7] |
Hadjoub Z, Khelifati F Z, Nebti D, et al. Determination of GaAs MESFETs self-heating temperature via output conductance frequency dispersion. J Optoelectron Adv Mater, 2013, 15(7-8):1131 https://www.researchgate.net/publication/289899624_Determination_of_GaAs_MESFETs_self_heating_temperature_via_output_conductance_frequency_dispersion?_sg=OGSLGySpTO4nMVP4J4irBBfuZaHmZikjUMppusOHVJ4x8HhnXPzdslPqg59kLe1oEGPW38LesP87Td1zg9KejQ
|
| [8] |
Krupka J, Nguyen D, Mazierska J. Microwave and RF methods of contactless mapping of the sheet resistance and the complex permittivity of conductive materials and semiconductors. Meas Sci Technol, 2011, 22(8):1 http://cn.bing.com/academic/profile?id=2033376669&encoded=0&v=paper_preview&mkt=zh-cn
|
| [9] |
Krupka J. Contactless methods of conductivity and sheet resistance measurement for semiconductors, conductors and superconductors. Meas Sci Technol, 2013, 24(6):1 http://cn.bing.com/academic/profile?id=1965673491&encoded=0&v=paper_preview&mkt=zh-cn
|
| [10] |
Shekharam T, Laxminarasimha Rao V, Yellaiah G, et al. AC conductivity, dielectric and impedance studies of Cd0.8-xPbxZn0.2S mixed semiconductor compounds. J Alloys Compd, 2014, 617:952 doi: 10.1016/j.jallcom.2014.08.116
|
| [11] |
Ertu?rul R, Tataro?lu A. Influence of temperature and frequency on dielectric permittivity and ac conductivity of Au/SnO2/n-Si (MOS) structures. Chin Phys Lett, 2012, 29(7):077304 doi: 10.1088/0256-307X/29/7/077304
|
| [12] |
Tekeli Z, G?k?en M, Altindal ?, et al. On the profile of frequency dependent dielectric properties of (Ni/Au)/GaN/Al0.3Ga0.7N heterostructures. Microelectron Reliab, 2011, 51(3):581 doi: 10.1016/j.microrel.2010.09.018
|
| [13] |
Krupka J. Frequency domain complex permittivity measurements at microwave frequencies. Meas Sci Technol, 2006, 17(6):55 doi: 10.1088/0957-0233/17/6/R01
|
| [14] |
Sadjid A A, Ambreen N, Bushara F, et al. Temperature dependence anomalous dielectric relaxation in Co doped ZnO nanoparticles. Mater Res Bull, 2012, 47(12):4161 doi: 10.1016/j.materresbull.2012.08.079
|
| [15] |
?afak A Y, Asar T, Altindal ?, et al. Investigation of dielectric relaxation and ac electrical conductivity using impedance spectroscopy method in (AuZn)/TiO2/p-GaAs (110) Schottky barrier diodes. J Alloys Compd, 2015, 628:442 doi: 10.1016/j.jallcom.2014.12.170
|
| [16] |
Krupka J, Breeze J, Centeno A, et al. Measurements of permittivity, dielectric loss tangent and resistivity of float zone silicon at microwave frequencies. IEEE Trans Microw Theory Tech, 2006, 54(10):3995 http://cn.bing.com/academic/profile?id=2103519635&encoded=0&v=paper_preview&mkt=zh-cn
|
| [17] |
Krupka J, Mazierska J. Contactless measurements of resistivity of semiconductor wafers employing single-post and split-post dielectric-resonator techniques. IEEE Trans Instrum Meas, 2007, 56(5):1839 doi: 10.1109/TIM.2007.903647
|
| [18] |
Lin H C, Kim, S K, Chang D, et al. Direct-current and radio-frequency characterizations of GaAs metal-insulator-semiconductor field-effect transistors enabled by self-assembled nanodielectrics. Appl Phys Lett, 2007, 91(9):092103 doi: 10.1063/1.2776013
|
| [19] |
Ding Y, Luo H H, Yan X L. Current oscillations and low-frequency noises in GaAs MESFET channels with sidegating bias. Journal of Zhejiang University Science C, 2011, 12(7):597 doi: 10.1631/jzus.C1000312
|
| [20] |
Birbas A N, Brunn B, van Rheenen A D, et al. Low-frequency noise in GaAs MESFETs related to backgating effects. IEE Proc G Circ Dev Syst, 1991, 138(2):175 doi: 10.1049/ip-g-2.1991.0033
|
| [21] |
Izpura J I. 1/f electrical noise due to space charge regions. J. Eur. Ceram Soc, 2007, 27(13——15):4011 http://cn.bing.com/academic/profile?id=2075353569&encoded=0&v=paper_preview&mkt=zh-cn
|
| [22] |
Manifacier J C. Contact vs bulk effects in N-semi-insulating N and P-semi-insulating-P diodes. Solid-State Electron, 2013, 80:45 doi: 10.1016/j.sse.2012.10.003
|
| [23] |
Kayis C, Zhu C Y, Wu M, et al. Field assisted emission in AlGaN/GaN heterostructure field-effect transistors using low-frequency noise technique. J Appl Phys, 2011, 109(8):084522 doi: 10.1063/1.3576104
|
| [24] |
Shukla A, Choudhary R N P, Thakur A K. Thermal, structural and complex impedance analysis of Mn4+ modified BaTiO3 electroceramic. J Phys Chem Solids, 2009, 70(11):1401 doi: 10.1016/j.jpcs.2009.08.015
|
Article views: 3186 Times PDF downloads: 21 Times Cited by: 0 Times
Received: 10 November 2015 Revised: 06 April 2016 Online: Published: 01 November 2016
| Citation: |
D Nebti, Z Hadjoub, A Guerraoui, F Z Khelifati, A Doghmane. Frequency dispersion investigation of output reactance and capacitance in GaAs MESFETs by means of dielectric loss tangent consideration[J]. Journal of Semiconductors, 2016, 37(11): 114001. doi: 10.1088/1674-4926/37/11/114001
****
D Nebti, Z Hadjoub, A Guerraoui, F Z Khelifati, A Doghmane. Frequency dispersion investigation of output reactance and capacitance in GaAs MESFETs by means of dielectric loss tangent consideration[J]. J. Semicond., 2016, 37(11): 114001. doi: 10.1088/1674-4926/37/11/114001.
|
| [1] |
Raffo A, Bosi G, Vadalà V, et al. G Behavioral modeling of GaN FETs:a load-line approach. IEEE Trans Microw Theory Tech, 2014, 62(1):73 doi: 10.1109/TMTT.2013.2291710
|
| [2] |
Florian C, Traverso P A, Santarelli A, et al. An active bias network for the characterization of low-frequency dispersion in high-power microwave electron devices. IEEE Trans Instrum Meas, 2013, 62(10):2857 doi: 10.1109/TIM.2013.2263911
|
| [3] |
Van Raay F, Quay R, Eggebert M S, et al. New low-frequency dispersion model for AlGaN/GaN HEMTs using integral transform and state description. IEEE Trans Microw Theory Tech 2013, 61(1):154 http://cn.bing.com/academic/profile?id=2057669315&encoded=0&v=paper_preview&mkt=zh-cn
|
| [4] |
Dieudonne N S, Escotte L, Tartarin J G, et al. Broadband frequency dispersion small signal modeling of the output conductance and transconductance in AlInN/GaN HEMTs. IEEE Trans Electron Devices, 2013, 60(4):1372 doi: 10.1109/TED.2013.2248158
|
| [5] |
Hadjoub Z, Cheikh K, Zouyed A, et al. A quantification of surface state effects in GaAs MESFETs. IOP Conf Ser Mater Sci Eng, 2012, 28(1):1 http://cn.bing.com/academic/profile?id=2081798204&encoded=0&v=paper_preview&mkt=zh-cn
|
| [6] |
Graffeuil J, Hadjoub Z, Fortea J P, et al. Analysis of capacitance and transconductance frequency dispersions in MESFETs for surface characterization. Solid-State Electron, 1986, 29(10):1087 doi: 10.1016/0038-1101(86)90110-3
|
| [7] |
Hadjoub Z, Khelifati F Z, Nebti D, et al. Determination of GaAs MESFETs self-heating temperature via output conductance frequency dispersion. J Optoelectron Adv Mater, 2013, 15(7-8):1131 https://www.researchgate.net/publication/289899624_Determination_of_GaAs_MESFETs_self_heating_temperature_via_output_conductance_frequency_dispersion?_sg=OGSLGySpTO4nMVP4J4irBBfuZaHmZikjUMppusOHVJ4x8HhnXPzdslPqg59kLe1oEGPW38LesP87Td1zg9KejQ
|
| [8] |
Krupka J, Nguyen D, Mazierska J. Microwave and RF methods of contactless mapping of the sheet resistance and the complex permittivity of conductive materials and semiconductors. Meas Sci Technol, 2011, 22(8):1 http://cn.bing.com/academic/profile?id=2033376669&encoded=0&v=paper_preview&mkt=zh-cn
|
| [9] |
Krupka J. Contactless methods of conductivity and sheet resistance measurement for semiconductors, conductors and superconductors. Meas Sci Technol, 2013, 24(6):1 http://cn.bing.com/academic/profile?id=1965673491&encoded=0&v=paper_preview&mkt=zh-cn
|
| [10] |
Shekharam T, Laxminarasimha Rao V, Yellaiah G, et al. AC conductivity, dielectric and impedance studies of Cd0.8-xPbxZn0.2S mixed semiconductor compounds. J Alloys Compd, 2014, 617:952 doi: 10.1016/j.jallcom.2014.08.116
|
| [11] |
Ertu?rul R, Tataro?lu A. Influence of temperature and frequency on dielectric permittivity and ac conductivity of Au/SnO2/n-Si (MOS) structures. Chin Phys Lett, 2012, 29(7):077304 doi: 10.1088/0256-307X/29/7/077304
|
| [12] |
Tekeli Z, G?k?en M, Altindal ?, et al. On the profile of frequency dependent dielectric properties of (Ni/Au)/GaN/Al0.3Ga0.7N heterostructures. Microelectron Reliab, 2011, 51(3):581 doi: 10.1016/j.microrel.2010.09.018
|
| [13] |
Krupka J. Frequency domain complex permittivity measurements at microwave frequencies. Meas Sci Technol, 2006, 17(6):55 doi: 10.1088/0957-0233/17/6/R01
|
| [14] |
Sadjid A A, Ambreen N, Bushara F, et al. Temperature dependence anomalous dielectric relaxation in Co doped ZnO nanoparticles. Mater Res Bull, 2012, 47(12):4161 doi: 10.1016/j.materresbull.2012.08.079
|
| [15] |
?afak A Y, Asar T, Altindal ?, et al. Investigation of dielectric relaxation and ac electrical conductivity using impedance spectroscopy method in (AuZn)/TiO2/p-GaAs (110) Schottky barrier diodes. J Alloys Compd, 2015, 628:442 doi: 10.1016/j.jallcom.2014.12.170
|
| [16] |
Krupka J, Breeze J, Centeno A, et al. Measurements of permittivity, dielectric loss tangent and resistivity of float zone silicon at microwave frequencies. IEEE Trans Microw Theory Tech, 2006, 54(10):3995 http://cn.bing.com/academic/profile?id=2103519635&encoded=0&v=paper_preview&mkt=zh-cn
|
| [17] |
Krupka J, Mazierska J. Contactless measurements of resistivity of semiconductor wafers employing single-post and split-post dielectric-resonator techniques. IEEE Trans Instrum Meas, 2007, 56(5):1839 doi: 10.1109/TIM.2007.903647
|
| [18] |
Lin H C, Kim, S K, Chang D, et al. Direct-current and radio-frequency characterizations of GaAs metal-insulator-semiconductor field-effect transistors enabled by self-assembled nanodielectrics. Appl Phys Lett, 2007, 91(9):092103 doi: 10.1063/1.2776013
|
| [19] |
Ding Y, Luo H H, Yan X L. Current oscillations and low-frequency noises in GaAs MESFET channels with sidegating bias. Journal of Zhejiang University Science C, 2011, 12(7):597 doi: 10.1631/jzus.C1000312
|
| [20] |
Birbas A N, Brunn B, van Rheenen A D, et al. Low-frequency noise in GaAs MESFETs related to backgating effects. IEE Proc G Circ Dev Syst, 1991, 138(2):175 doi: 10.1049/ip-g-2.1991.0033
|
| [21] |
Izpura J I. 1/f electrical noise due to space charge regions. J. Eur. Ceram Soc, 2007, 27(13——15):4011 http://cn.bing.com/academic/profile?id=2075353569&encoded=0&v=paper_preview&mkt=zh-cn
|
| [22] |
Manifacier J C. Contact vs bulk effects in N-semi-insulating N and P-semi-insulating-P diodes. Solid-State Electron, 2013, 80:45 doi: 10.1016/j.sse.2012.10.003
|
| [23] |
Kayis C, Zhu C Y, Wu M, et al. Field assisted emission in AlGaN/GaN heterostructure field-effect transistors using low-frequency noise technique. J Appl Phys, 2011, 109(8):084522 doi: 10.1063/1.3576104
|
| [24] |
Shukla A, Choudhary R N P, Thakur A K. Thermal, structural and complex impedance analysis of Mn4+ modified BaTiO3 electroceramic. J Phys Chem Solids, 2009, 70(11):1401 doi: 10.1016/j.jpcs.2009.08.015
|
Journal of Semiconductors © 2017 All Rights Reserved 京ICP備05085259號-2