ARTICLES
Na Tian1, 2, Zhe Wang1, Kai Ma1, 2, Xu Yang1, Nan Qi1, 2, Jian Liu1, 2, Nanjian Wu1, 2, Runjiang Dou1, 2, and Liyuan Liu1, 2,
Corresponding author: Runjiang Dou, dourj@semi.ac.cn; Liyuan Liu, liuly@semi.ac.cn
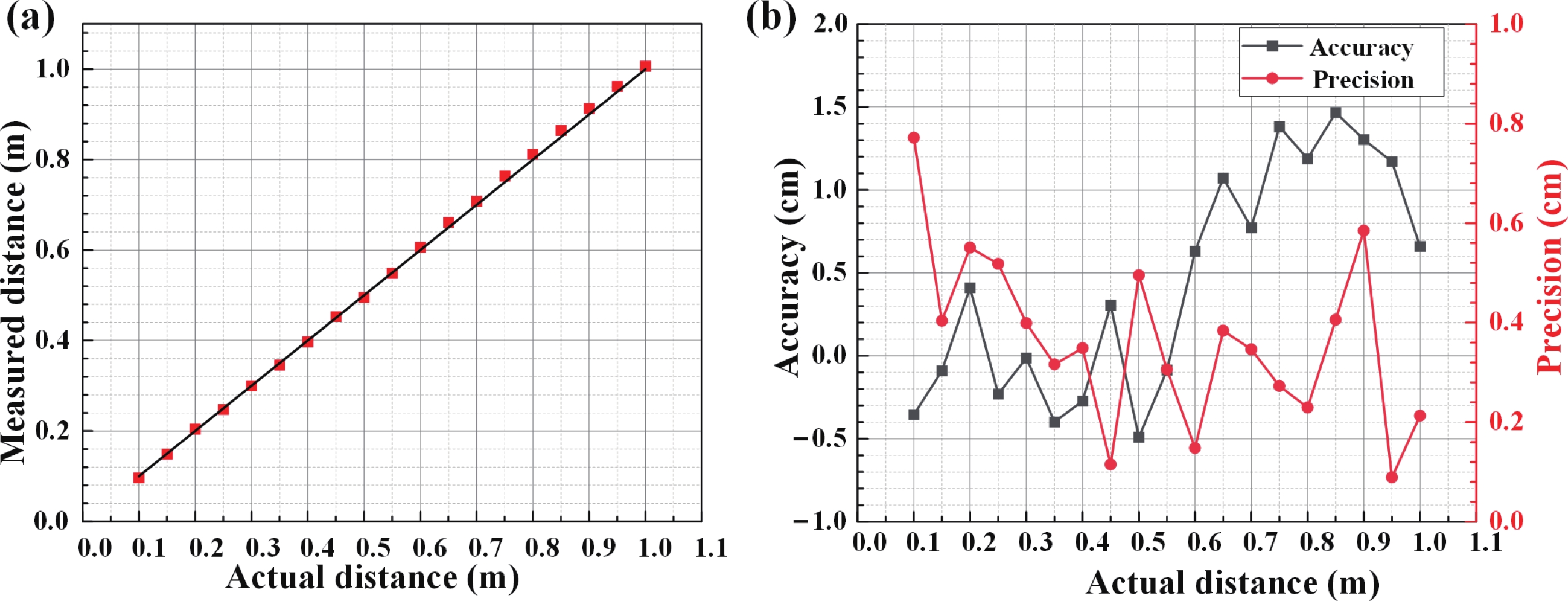
Abstract: This paper presents a design of single photon avalanche diode (SPAD) light detection and ranging (LiDAR) sensor with 128 × 128 pixels and 128 column-parallel time-to-analog-merged-analog-to-digital converts (TA-ADCs). Unlike the conventional TAC-based SPAD LiDAR sensor, in which the TAC and ADC are separately implemented, we propose to merge the TAC and ADC by sharing their capacitors, thus avoiding the analog readout noise of TAC’s output buffer, improving the conversion rate, and reducing chip area. The reverse start-stop logic is employed to reduce the power of the TA-ADC. Fabricated in a 180 nm CMOS process, our prototype sensor exhibits a timing resolution of 25 ps, a DNL of +0.30/?0.77 LSB, an INL of +1.41/?2.20 LSB, and a total power consumption of 190 mW. A flash LiDAR system based on this sensor demonstrates the function of 2D/3D imaging with 128 × 128 resolution, 25 kHz inter-frame rate, and sub-centimeter ranging precision.
Key words: 3D imaging, CMOS imagers, direct time-of-flight (dTOF), time-to-analog converter (TAC)
| [1] |
Villa F, Severini F, Madonini F, et al. SPADs and SiPMs arrays for long-range high-speed light detection and ranging (LiDAR). Sensors, 2021, 21, 3839 doi: 10.3390/s21113839
|
| [2] |
Jahromi S, Jansson J P, Ker?nen P, et al. A 32 × 128 SPAD-257 TDC receiver IC for pulsed TOF solid-state 3-D imaging. IEEE J Solid State Circuits, 2020, 55, 1960 doi: 10.1109/JSSC.2020.2970704
|
| [3] |
Li Y, Ibanez-Guzman J. Lidar for autonomous driving: The principles, challenges, and trends for automotive lidar and perception systems. IEEE Signal Process Mag, 2020, 37, 50 doi: 10.1109/MSP.2020.2973615
|
| [4] |
Jansson J P, Ker?nen P, Jahromi S, et al. Enhancing nutt-based time-to-digital converter performance with internal systematic averaging. IEEE Trans Instrum Meas, 2020, 69, 3928 doi: 10.1109/TIM.2019.2932156
|
| [5] |
Parmesan L, Dutton N A W, Calder N J, et al. A 9.8 μm sample and hold time to amplitude converter CMOS SPAD pixel. 2014 44th European Solid State Device Research Conference (ESSDERC), 2014, 290 doi: 10.1109/ESSDERC.2014.6948817
|
| [6] |
Abidi A A. Phase noise and jitter in CMOS ring oscillators. IEEE J Solid State Circuits, 2006, 41, 1803 doi: 10.1109/JSSC.2006.876206
|
| [7] |
Crotti M, Rech I, Ghioni M. Four channel, 40 ps resolution, fully integrated time-to-amplitude converter for time-resolved photon counting. IEEE J Solid-State Circuits, 2012, 47, 699 doi: 10.1109/JSSC.2011.2176161
|
| [8] |
Morrison D, Kennedy S, Delic D, et al. A 64 × 64 SPAD flash LIDAR sensor using a triple integration timing technique with 1.95 mm depth resolution. IEEE Sens J, 2021, 21, 11361 doi: 10.1109/JSEN.2020.3030788
|
| [9] |
Parmesan L, Dutton N A W, Calder N J, et al. A 256 × 256 SPAD array with in-pixel time to amplitude conversion for fluorescence lifetime imaging microscopy. 2015 International Image Sensor Workshop (IISW), 2015, 904 doi: 10.60928/rtc5-akao
|
| [10] |
Whitcombe A, Lee C C, Kuriparambil Thekkumpate A B, et al. A VTC/TDC-assisted 4 × interleaved 3.8 GS/s 7b 6.0 mW SAR ADC with 13 GHz ERBW. IEEE J Solid-State Circuits, 2023, 58, 972 doi: 10.1109/JSSC.2022.3231783
|
| [11] |
Whitcombe A, Kundu S, Chandrakumar H, et al. A 76mW 40GS/s 7b time-interleaved hybrid voltage/time-domain ADC with common-mode input tracking. 2024 IEEE International Solid-State Circuits Conference (ISSCC), 2024, 392 doi: 10.1109/ISSCC49657.2024.10454355
|
| [12] |
Yang X, Yao C H, Kang L, et al. A bio-inspired spiking vision chip based on SPAD imaging and direct spike computing for versatile edge vision. IEEE J Solid-State Circuits, 2023, 1 doi: 10.1109/JSSC.2023.3340018
|
| [13] |
Rapp J, Ma Y T, Dawson R M A, et al. High-flux single-photon lidar. Optica, 2021, 8, 30 doi: 10.1364/OPTICA.403190
|
| [14] |
Hu J, Liu B Z, Ma R, et al. A 32 × 32-pixel flash LiDAR sensor with noise filtering for high-background noise applications. IEEE Trans Circuits Syst I Regul Pap, 2022, 69, 645 doi: 10.1109/TCSI.2020.3048367
|
| [15] |
Park B, Park I, Park C, et al. A 64 × 64 SPAD-based indirect time-of-flight image sensor with 2-tap analog pulse counters. IEEE J Solid State Circuits, 2021, 56, 2956 doi: 10.1109/JSSC.2021.3094524
|
Table 1. Comparison with other SPAD flash LIDAR sensors.
| Parameters | Unit | This work | Ref. [8] | Ref. [2] | Ref. [14] |
| Technology | ? | 180 nm | 130 nm HV | 350 nm HV | 180 nm HV |
| Pixel array | ? | 128 × 128 | 64 × 64 | 32 × 128 | 32 × 32 |
| Pixel pitch | μm | 30 | 60 × 51 | 40 | 60 |
| Fill factor | % | 10 | 0.66 | 35 | 7.2 |
| Timing technique | ? | TA-ADC | Counter + TII with off-chip ADC |
Delay line TDC |
RO TDC |
| Time res. [1LSB] | ps | 25 | 13 | 78 | 200 |
| Timing depth | bit | 12 | 24 | 13 | 13 |
| Timing DNL | LSB ps |
0.77(a) 19.3(a) |
0.47(b) 6.1(b) |
0.83 65 |
0.29 58 |
| Timing INL | LSB ps |
2.2(a) 55(a) |
14.4(b) 187(b) |
1.24 97 |
2.53 506 |
| Image distance | m | 0.5 | 50 | 3.5 | 3.5?9 |
| Depth precision | m | 0.0077 | N/A | <0.02 | 0.02(d) |
| Depth accuracy | m | 0.0147 | 0.0073 | N/A | 0.03(d) |
| Inter-frame rate | kHz | 25 | 8.3 | 23 | 270 |
| Chip size | mm2 | 5.2 × 6.2 | 3.9 × 3.3(c) | 5.5 × 6.6 | 2.9 × 2.9 |
| Power consumption | mW | 190 | 733 | 180 | 240 |
| FoM(e) | pJ/pixel | 7.14 | N/A | 10.92 | 1.93 |
| (a) For the lower 9 bits. (b) For the lower 22 bits. (c) Size of the 64 × 64 pixel array. (d) Estimated for Nth = 1, at 2m, system1. (e) $ {\text{FoM}}=\dfrac{\text{depth precision}\cdot \text{power}}{\text{image distance}\cdot \text{inter}\_\text{frame rate}\cdot \text{ pixel number}} $ (pJ/pixel). |
|||||
DownLoad: CSV
| [1] |
Villa F, Severini F, Madonini F, et al. SPADs and SiPMs arrays for long-range high-speed light detection and ranging (LiDAR). Sensors, 2021, 21, 3839 doi: 10.3390/s21113839
|
| [2] |
Jahromi S, Jansson J P, Ker?nen P, et al. A 32 × 128 SPAD-257 TDC receiver IC for pulsed TOF solid-state 3-D imaging. IEEE J Solid State Circuits, 2020, 55, 1960 doi: 10.1109/JSSC.2020.2970704
|
| [3] |
Li Y, Ibanez-Guzman J. Lidar for autonomous driving: The principles, challenges, and trends for automotive lidar and perception systems. IEEE Signal Process Mag, 2020, 37, 50 doi: 10.1109/MSP.2020.2973615
|
| [4] |
Jansson J P, Ker?nen P, Jahromi S, et al. Enhancing nutt-based time-to-digital converter performance with internal systematic averaging. IEEE Trans Instrum Meas, 2020, 69, 3928 doi: 10.1109/TIM.2019.2932156
|
| [5] |
Parmesan L, Dutton N A W, Calder N J, et al. A 9.8 μm sample and hold time to amplitude converter CMOS SPAD pixel. 2014 44th European Solid State Device Research Conference (ESSDERC), 2014, 290 doi: 10.1109/ESSDERC.2014.6948817
|
| [6] |
Abidi A A. Phase noise and jitter in CMOS ring oscillators. IEEE J Solid State Circuits, 2006, 41, 1803 doi: 10.1109/JSSC.2006.876206
|
| [7] |
Crotti M, Rech I, Ghioni M. Four channel, 40 ps resolution, fully integrated time-to-amplitude converter for time-resolved photon counting. IEEE J Solid-State Circuits, 2012, 47, 699 doi: 10.1109/JSSC.2011.2176161
|
| [8] |
Morrison D, Kennedy S, Delic D, et al. A 64 × 64 SPAD flash LIDAR sensor using a triple integration timing technique with 1.95 mm depth resolution. IEEE Sens J, 2021, 21, 11361 doi: 10.1109/JSEN.2020.3030788
|
| [9] |
Parmesan L, Dutton N A W, Calder N J, et al. A 256 × 256 SPAD array with in-pixel time to amplitude conversion for fluorescence lifetime imaging microscopy. 2015 International Image Sensor Workshop (IISW), 2015, 904 doi: 10.60928/rtc5-akao
|
| [10] |
Whitcombe A, Lee C C, Kuriparambil Thekkumpate A B, et al. A VTC/TDC-assisted 4 × interleaved 3.8 GS/s 7b 6.0 mW SAR ADC with 13 GHz ERBW. IEEE J Solid-State Circuits, 2023, 58, 972 doi: 10.1109/JSSC.2022.3231783
|
| [11] |
Whitcombe A, Kundu S, Chandrakumar H, et al. A 76mW 40GS/s 7b time-interleaved hybrid voltage/time-domain ADC with common-mode input tracking. 2024 IEEE International Solid-State Circuits Conference (ISSCC), 2024, 392 doi: 10.1109/ISSCC49657.2024.10454355
|
| [12] |
Yang X, Yao C H, Kang L, et al. A bio-inspired spiking vision chip based on SPAD imaging and direct spike computing for versatile edge vision. IEEE J Solid-State Circuits, 2023, 1 doi: 10.1109/JSSC.2023.3340018
|
| [13] |
Rapp J, Ma Y T, Dawson R M A, et al. High-flux single-photon lidar. Optica, 2021, 8, 30 doi: 10.1364/OPTICA.403190
|
| [14] |
Hu J, Liu B Z, Ma R, et al. A 32 × 32-pixel flash LiDAR sensor with noise filtering for high-background noise applications. IEEE Trans Circuits Syst I Regul Pap, 2022, 69, 645 doi: 10.1109/TCSI.2020.3048367
|
| [15] |
Park B, Park I, Park C, et al. A 64 × 64 SPAD-based indirect time-of-flight image sensor with 2-tap analog pulse counters. IEEE J Solid State Circuits, 2021, 56, 2956 doi: 10.1109/JSSC.2021.3094524
|
Article views: 2810 Times PDF downloads: 222 Times Cited by: 0 Times
Received: 18 March 2024 Revised: 13 April 2024 Online: Accepted Manuscript: 14 May 2024Uncorrected proof: 15 May 2024Published: 15 August 2024
| Citation: |
Na Tian, Zhe Wang, Kai Ma, Xu Yang, Nan Qi, Jian Liu, Nanjian Wu, Runjiang Dou, Liyuan Liu. A 128 × 128 SPAD LiDAR sensor with column-parallel 25 ps resolution TA-ADCs[J]. Journal of Semiconductors, 2024, 45(8): 082201. doi: 10.1088/1674-4926/24030019
****
N Tian, Z Wang, K Ma, X Yang, N Qi, J Liu, N J Wu, R J Dou, and L Y Liu, A 128 × 128 SPAD LiDAR sensor with column-parallel 25 ps resolution TA-ADCs[J]. J. Semicond., 2024, 45(8), 082201 doi: 10.1088/1674-4926/24030019
|
Na Tian is pursuing a Ph.D. with the State Key Laboratory of Super-lattices and Microstructures, Institute of Semiconductors, Chinese Academy of Sciences, Beijing, China. Her research activity focuses on the design and development of time-of-flight imaging, and mixed-signal circuits
Zhe Wang engaged in postdoctoral research work at the Institute of Semiconductors, Chinese Academy of Sciences, Beijing, China, in 2021, where he became an Assistant Researcher in 2023. His research interests include analog and mixed-signal integrated circuits design and SPAD image sensor design
Kai Ma is pursuing an M.S. degree with the State Key Laboratory of Superlattices and Microstructures, Institute of Semiconductors, Chinese Academy of Sciences, Beijing, China. His current research interests include analog and mixed-signal integrated circuits design, high-performance sensor interface design, and CMOS image sensor design
Xu Yang finished her Post-Doctoral Fellow Training at the Institute of Semiconductors, Chinese Academy of Sciences, in 2023, where she is currently a Research Assistant. Her research interests include bio-inspired spiking vision chips, spiking neural network and image processing algorithms, and parallel image processor architectures
Nan Qi is now a Full Professor of electrical circuits and systems at the Institute of Semiconductors, Chinese Academy of Sciences, Beijing. His research interests include the design of integrated circuits for high-speed wireline/optical and wireless transceivers
Jian Liu is a Full Professor in microelectronics and solid-state electronics with the State Key Laboratory of Super-lattices and Microstructures, Institute of Semiconductors, Chinese Academy of Sciences, Beijing, China, since 2005. His research interests include semiconductor optoelectronic detectors, terahertz imagers, and metamaterials
Nanjian Wu has been a Professor with the State Key Laboratory of Super-lattices and Microstructures, Institute of Semiconductors, Chinese Academy of Sciences, Beijing, China, since 2000. His research includes the field of mixed-signal VLSI and vision chip design
Runjiang Dou is a Senior Engineer at the Institute of Semiconductors, Chinese Academy of Sciences, Beijing. His research interests include the design of vision systems based on intelligent hardware
Liyuan Liu joined the State Key Laboratory of Super-lattices and Microstructures, Institute of Semiconductors, Chinese Academy of Sciences, Beijing, as an Associate Professor in 2012, where he became a Professor in 2018. His research interests include mixed-signal IC design, CMOS image sensors design, terahertz image sensors design, and monolithic vision chip design
| [1] |
Villa F, Severini F, Madonini F, et al. SPADs and SiPMs arrays for long-range high-speed light detection and ranging (LiDAR). Sensors, 2021, 21, 3839 doi: 10.3390/s21113839
|
| [2] |
Jahromi S, Jansson J P, Ker?nen P, et al. A 32 × 128 SPAD-257 TDC receiver IC for pulsed TOF solid-state 3-D imaging. IEEE J Solid State Circuits, 2020, 55, 1960 doi: 10.1109/JSSC.2020.2970704
|
| [3] |
Li Y, Ibanez-Guzman J. Lidar for autonomous driving: The principles, challenges, and trends for automotive lidar and perception systems. IEEE Signal Process Mag, 2020, 37, 50 doi: 10.1109/MSP.2020.2973615
|
| [4] |
Jansson J P, Ker?nen P, Jahromi S, et al. Enhancing nutt-based time-to-digital converter performance with internal systematic averaging. IEEE Trans Instrum Meas, 2020, 69, 3928 doi: 10.1109/TIM.2019.2932156
|
| [5] |
Parmesan L, Dutton N A W, Calder N J, et al. A 9.8 μm sample and hold time to amplitude converter CMOS SPAD pixel. 2014 44th European Solid State Device Research Conference (ESSDERC), 2014, 290 doi: 10.1109/ESSDERC.2014.6948817
|
| [6] |
Abidi A A. Phase noise and jitter in CMOS ring oscillators. IEEE J Solid State Circuits, 2006, 41, 1803 doi: 10.1109/JSSC.2006.876206
|
| [7] |
Crotti M, Rech I, Ghioni M. Four channel, 40 ps resolution, fully integrated time-to-amplitude converter for time-resolved photon counting. IEEE J Solid-State Circuits, 2012, 47, 699 doi: 10.1109/JSSC.2011.2176161
|
| [8] |
Morrison D, Kennedy S, Delic D, et al. A 64 × 64 SPAD flash LIDAR sensor using a triple integration timing technique with 1.95 mm depth resolution. IEEE Sens J, 2021, 21, 11361 doi: 10.1109/JSEN.2020.3030788
|
| [9] |
Parmesan L, Dutton N A W, Calder N J, et al. A 256 × 256 SPAD array with in-pixel time to amplitude conversion for fluorescence lifetime imaging microscopy. 2015 International Image Sensor Workshop (IISW), 2015, 904 doi: 10.60928/rtc5-akao
|
| [10] |
Whitcombe A, Lee C C, Kuriparambil Thekkumpate A B, et al. A VTC/TDC-assisted 4 × interleaved 3.8 GS/s 7b 6.0 mW SAR ADC with 13 GHz ERBW. IEEE J Solid-State Circuits, 2023, 58, 972 doi: 10.1109/JSSC.2022.3231783
|
| [11] |
Whitcombe A, Kundu S, Chandrakumar H, et al. A 76mW 40GS/s 7b time-interleaved hybrid voltage/time-domain ADC with common-mode input tracking. 2024 IEEE International Solid-State Circuits Conference (ISSCC), 2024, 392 doi: 10.1109/ISSCC49657.2024.10454355
|
| [12] |
Yang X, Yao C H, Kang L, et al. A bio-inspired spiking vision chip based on SPAD imaging and direct spike computing for versatile edge vision. IEEE J Solid-State Circuits, 2023, 1 doi: 10.1109/JSSC.2023.3340018
|
| [13] |
Rapp J, Ma Y T, Dawson R M A, et al. High-flux single-photon lidar. Optica, 2021, 8, 30 doi: 10.1364/OPTICA.403190
|
| [14] |
Hu J, Liu B Z, Ma R, et al. A 32 × 32-pixel flash LiDAR sensor with noise filtering for high-background noise applications. IEEE Trans Circuits Syst I Regul Pap, 2022, 69, 645 doi: 10.1109/TCSI.2020.3048367
|
| [15] |
Park B, Park I, Park C, et al. A 64 × 64 SPAD-based indirect time-of-flight image sensor with 2-tap analog pulse counters. IEEE J Solid State Circuits, 2021, 56, 2956 doi: 10.1109/JSSC.2021.3094524
|
Journal of Semiconductors © 2017 All Rights Reserved 京ICP備05085259號-2