J. Semicond. > 2016, Volume 37?>?Issue 8?> 084003

SEMICONDUCTOR DEVICES

A novel high performance SemiSJ-CSTBT with p-pillar under the bottom of the trench gate

Yan Jia1, Hong Chen2, Ji Tan2, Shuojin Lu3 and Yangjun Zhu3,

+ Author Affiliations

 Corresponding author: Zhu Yangjun, Email: zhuyangjun@ime.ac.cn

DOI: 10.1088/1674-4926/37/8/084003

PDF

Abstract: A novel high performance SemiSJ-CSTBT is proposed with the p-pillar under the bottom of the trench gate. The inserted p-pillar with the neighbouring n-drift region forms a lateral P/N junction, which can adjust the electric distribution in the forward-blocking mode to achieve a higher breakdown voltage compared to the conventional CSTBT. Also, the p-pillar can act as a hole collector at turn-off, which significantly enhances the turn-off speed and obtains a lower turn-off switching loss. Although the turn-off switching loss decreases as the depth of the p-pillar increases, there is no need for a very deep p-pillar. The associated voltage overshoot at turn-off increases dramatically with increasing the depth of p-pillar, which may cause destruction of the devices. Plus, this will add difficulty and cost to the manufacturing process of this new structure. Therefore, the proposed SemiSJ-CSTBT offers considerably better robustness compared to the conventional CSTBT and SJ-CSTBT. The simulation results show that the SemiSJ-CSTBT exhibits an increase in breakdown voltage by 160 V (13%) and a reduction of turn-off switching loss by approximately 15%.

Key words: CSTBThigh breakdown voltagep-pillarSemiSJ-CSTBTturn-off switching loss



[1]
Constapel R, Korec J, Baliga B J. Trench-IGBTs with integrated diverter structures. Proceedings of the 2nd International Symposium on Power Semiconductor Devices and ICs, 1995: 201 http://cn.bing.com/academic/profile?id=2140751637&encoded=0&v=paper_preview&mkt=zh-cn
[2]
Takahashi H, Haruguchi H, Hagino H, et al. Carrier stored trench-gate bipolar transistor (CSTBT)-a novel power device for high voltage application. Proceedings of the 2nd International Symposium on Power Semiconductor Devices and ICs, 1996: 349 http://cn.bing.com/academic/profile?id=1936126188&encoded=0&v=paper_preview&mkt=zh-cn
[3]
Zhang Jinping, Li Zehong, Zhang Bo, et al. A novel high performance TFS SJ IGBT with a buried oxide layer. Chinese Physics B, 2014, 23(08): 625 http://cn.bing.com/academic/profile?id=2402075825&encoded=0&v=paper_preview&mkt=zh-cn
[4]
Tsuchiya T, Park K C, Toyonaga S, et al. CSTBT (Ⅲ) as the next generation IGBT. 20th International Symposium on Power Semiconductor Devices and IC's, 2008: 72 http://cn.bing.com/academic/profile?id=2157464861&encoded=0&v=paper_preview&mkt=zh-cn
[5]
Antoniou M, Udrea F, Bauer F, et al. Point injection in trench insulated gate bipolar transistor for ultra low losses. 24th International Symposium on Power Semiconductor Devices and ICs (ISPSD), 2012: 21 http://cn.bing.com/academic/profile?id=2131204746&encoded=0&v=paper_preview&mkt=zh-cn
[6]
Li Z, Jiang F X, Li B, et al. A new way to break through the limitation of CS-layer doping on the breakdown voltage of CSTBT: the superjunction solution. TENCON 2013-2013 IEEE Region 10 Conference (31194), 2013: 1 http://cn.bing.com/academic/profile?id=2058802035&encoded=0&v=paper_preview&mkt=zh-cn
[7]
Li Zehong, Ren Min, Zhang Bo, et al. Above 700 V superjunction MOSFETs fabricated by deep trench etching and epitaxial growth. Journal of Semiconductors, 2010, 31(8): 084002 doi: 10.1088/1674-4926/31/8/084002
Fig. 1.  (a) SemiSJ-CSTBT. (b) CSTBT.

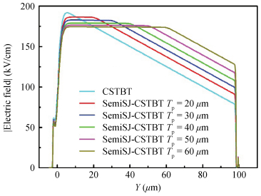
Fig. 2.  (Color online) Electric field profile of CSTBT and SemiSJ-CSTBT with different p-pillar depth.

Fig. 3.  (Color online) The blocking characteristics of the conventional CSTBT and SemiSJ-CSTBT.

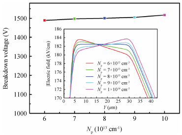
Fig. 4.  (Color online) Influences of $N_{\rm p}$ on BV.

Fig. 5.  (Color online) (a) Hole distribution. (b) Electron distribution.

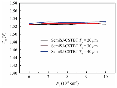
Fig. 6.  (Color online) Influences of $N_{\rm p}$ and $T_{\rm p}$ on $V_{\rm ce}$.

Fig. 7.  (Color online) Forward conduction characteristics of SemiSJ-CSTBT and CSTBT.

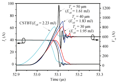
Fig. 8.  (Color online) Simulated switching-off waveforms with varying $T_{\mathrm{p}}$ under inductive load.

Fig. 9.  (Color online) Hole density profiles during switching-off at the peak $V_{\mathrm{ce}}$ for the SemiSJ-CSTBT with (a) $T_{\mathrm{p}}=$ 30 $\mu $m and (b) CSTBT.

Fig. 10.  (Color online) Tradeoff curves between $V_{\mathrm{ce}}$ and $E_{\mathrm{off}}$.

Table 1.   Simulation parameters.

[1]
Constapel R, Korec J, Baliga B J. Trench-IGBTs with integrated diverter structures. Proceedings of the 2nd International Symposium on Power Semiconductor Devices and ICs, 1995: 201 http://cn.bing.com/academic/profile?id=2140751637&encoded=0&v=paper_preview&mkt=zh-cn
[2]
Takahashi H, Haruguchi H, Hagino H, et al. Carrier stored trench-gate bipolar transistor (CSTBT)-a novel power device for high voltage application. Proceedings of the 2nd International Symposium on Power Semiconductor Devices and ICs, 1996: 349 http://cn.bing.com/academic/profile?id=1936126188&encoded=0&v=paper_preview&mkt=zh-cn
[3]
Zhang Jinping, Li Zehong, Zhang Bo, et al. A novel high performance TFS SJ IGBT with a buried oxide layer. Chinese Physics B, 2014, 23(08): 625 http://cn.bing.com/academic/profile?id=2402075825&encoded=0&v=paper_preview&mkt=zh-cn
[4]
Tsuchiya T, Park K C, Toyonaga S, et al. CSTBT (Ⅲ) as the next generation IGBT. 20th International Symposium on Power Semiconductor Devices and IC's, 2008: 72 http://cn.bing.com/academic/profile?id=2157464861&encoded=0&v=paper_preview&mkt=zh-cn
[5]
Antoniou M, Udrea F, Bauer F, et al. Point injection in trench insulated gate bipolar transistor for ultra low losses. 24th International Symposium on Power Semiconductor Devices and ICs (ISPSD), 2012: 21 http://cn.bing.com/academic/profile?id=2131204746&encoded=0&v=paper_preview&mkt=zh-cn
[6]
Li Z, Jiang F X, Li B, et al. A new way to break through the limitation of CS-layer doping on the breakdown voltage of CSTBT: the superjunction solution. TENCON 2013-2013 IEEE Region 10 Conference (31194), 2013: 1 http://cn.bing.com/academic/profile?id=2058802035&encoded=0&v=paper_preview&mkt=zh-cn
[7]
Li Zehong, Ren Min, Zhang Bo, et al. Above 700 V superjunction MOSFETs fabricated by deep trench etching and epitaxial growth. Journal of Semiconductors, 2010, 31(8): 084002 doi: 10.1088/1674-4926/31/8/084002
  • Search

    Advanced Search >>

    GET CITATION

    shu

    Export: BibTex EndNote

    Article Metrics

    Article views: 3438 Times PDF downloads: 24 Times Cited by: 0 Times

    History

    Received: 20 January 2016 Revised: 21 February 2016 Online: Published: 01 August 2016

    Catalog

      Email This Article

      User name:
      Email:*請輸入正確郵箱
      Code:*驗證碼錯誤
      Yan Jia, Hong Chen, Ji Tan, Shuojin Lu, Yangjun Zhu. A novel high performance SemiSJ-CSTBT with p-pillar under the bottom of the trench gate[J]. Journal of Semiconductors, 2016, 37(8): 084003. doi: 10.1088/1674-4926/37/8/084003 ****Y Jia, H Chen, J Tan, S J Lu, Y J Zhu. A novel high performance SemiSJ-CSTBT with p-pillar under the bottom of the trench gate[J]. J. Semicond., 2016, 37(8): 084003. doi: 10.1088/1674-4926/37/8/084003.
      Citation:
      Yan Jia, Hong Chen, Ji Tan, Shuojin Lu, Yangjun Zhu. A novel high performance SemiSJ-CSTBT with p-pillar under the bottom of the trench gate[J]. Journal of Semiconductors, 2016, 37(8): 084003. doi: 10.1088/1674-4926/37/8/084003 ****
      Y Jia, H Chen, J Tan, S J Lu, Y J Zhu. A novel high performance SemiSJ-CSTBT with p-pillar under the bottom of the trench gate[J]. J. Semicond., 2016, 37(8): 084003. doi: 10.1088/1674-4926/37/8/084003.

      A novel high performance SemiSJ-CSTBT with p-pillar under the bottom of the trench gate

      DOI: 10.1088/1674-4926/37/8/084003
      Funds:

      the National Major Science and Technology Special Project of China 2013ZX02305005-002

      Project supported by the National Major Science and Technology Special Project of China (No. 2013ZX02305005-002) and the Major Program of the National Natural Science Foundation of China (No. 51490681)

      the Major Program of the National Natural Science Foundation of China 51490681

      More Information
      • Corresponding author: Zhu Yangjun, Email: zhuyangjun@ime.ac.cn
      • Received Date: 2016-01-20
      • Revised Date: 2016-02-21
      • Published Date: 2016-08-01

      Catalog

        /

        DownLoad:  Full-Size Img  PowerPoint
        Return
        Return