SEMICONDUCTOR DEVICES
Chunjiang Ren, Shichang Zhong, Yuchao Li, Zhonghui Li, Yuechan Kong and Tangsheng Chen
Corresponding author: Ren Chunjiang, Email: rencj2010@sina.com.cn
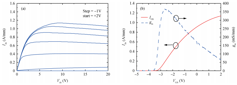
Abstract: Ku-band GaN power transistor with output power over 100 W under the pulsed operation mode is presented. A high temperature AlN nucleation together with an Fe doped GaN buffer was introduced for the developed GaN HEMT. The AlGaN/GaN hetero-structure deposited on 3 inch SiC substrate exhibited a 2DEG hall mobility and density of~2100 cm2/(V·s) and 1.0×1013 cm-2, respectively, at room temperature. Dual field plates were introduced to the designed 0.25 μm GaN HEMT and the source connected field plate was optimized for minimizing the peak field plate near the drain side of the gate, while maintaining excellent power gain performance for Ku-band application. The load-pull measurement at 14 GHz showed a power density of 5.2 W/mm for the fabricated 400 μm gate periphery GaN HEMT operated at a drain bias of 28 V. A Ku-band internally matched GaN power transistor was developed with two 10.8 mm gate periphery GaN HEMT chips combined. The GaN power transistor exhibited an output power of 102 W at 13.3 GHz and 32 V operating voltage under pulsed operation mode with a pulse width of 100 μs and duty cycle of 10%. The associated power gain and power added efficiency were 9.2 dB and 48%, respectively. To the best of the authors' knowledge, the PAE is the highest for Ku-band GaN power transistor with over 100 W output power.
Key words: Ku-band, PAE, AlGaN/GaN, GaN HEMT, field plate
| [1] |
Wu Y F, Moore M, S Axler A, et al. 40-W/mm double field plated GaN HEMTs. IEEE Proceeding of Device Research Conference, 2006: 151 http://cn.bing.com/academic/profile?id=2159824107&encoded=0&v=paper_preview&mkt=zh-cn
|
| [2] |
Maekawa A, Tamamoto T, Mitani E, et al. A 500 W push-pull AlGaN/GaN HEMT amplifier for L-band high power application. IEEE MTT-S Digest, 2006: 722 http://cn.bing.com/academic/profile?id=2070511827&encoded=0&v=paper_preview&mkt=zh-cn
|
| [3] |
Mitani E, Aojima M, Maekawa A, et al. An 800-W AlGaN/GaN HEMT for S-band high-power application. CS MANTECH Conference, 2007: 213 http://cn.bing.com/academic/profile?id=2291711276&encoded=0&v=paper_preview&mkt=zh-cn
|
| [4] |
Walker J, Formicone G, Boueri F, et al. 1 kW GaN S band radar transistor. IEEE International Conference on Microwaves, Communications, Antennas and Electronic Systems, 2013
|
| [5] |
Shigematsu H, Inoue Y, Akasegawa A, et al. C-band 340-W and X-band 100-W GaN power amplifiers with over 50-% PAE. IEEE MTT-s Digest, 2009: 1265 http://cn.bing.com/academic/profile?id=2113231617&encoded=0&v=paper_preview&mkt=zh-cn
|
| [6] |
Kikuchi K, Nishihara M, Yamamoto H, et al. An 8.5-10.0 GHz 310 W GaN HEMT for radar applications. IEEE MTT-s Digest, 2014 http://cn.bing.com/academic/profile?id=2078229187&encoded=0&v=paper_preview&mkt=zh-cn
|
| [7] |
Noto H, Maehara1 H, Uchida1 H, et al. X-and Ku-band internally matched GaN amplifiers with more than 100 W output power. European Microwave Integrated Circuits Conference, 2012: 10758
|
| [8] |
Prejs A, Wood S, Pengelly R, et al. Thermal analysis and its application to high power GaN HEMT amplifiers. IEEE MTT-S International Microwave Symposium, 2009 http://cn.bing.com/academic/profile?id=2095733268&encoded=0&v=paper_preview&mkt=zh-cn
|
| [9] |
Ren Chunjiang, Li Zhonghui, Yu Xuming, et al. Field plated 0.15μm GaN HEMTs for millimeter-wave application. Journal of Semiconductors, 2013, 34(6): 064002 doi: 10.1088/1674-4926/34/6/064002
|
| [10] |
Saunier, Lee P C, Balistreri A, et al. Progress in GaN performances and reliability. IEEE Compound Semiconductor Integrated circuits Conference, 2010: 35 http://cn.bing.com/academic/profile?id=2118869460&encoded=0&v=paper_preview&mkt=zh-cn
|
| [11] |
Heikman S, Keller S, DenBaars S P, et al. Growth of Fe doped semi-insulating GaN by metalorganic chemical vapor deposition. Appl Phys Lett, 2002, 81: 439 doi: 10.1063/1.1490396
|
| [12] |
Dora Y, Chakraborty A, McCarthy L, et al. High breakdown voltage achieved on AlGaN/GaN HEMTs with integrated slant field plates. IEEE Electron Device Lett, 2006, 27(9): 713 doi: 10.1109/LED.2006.881020
|
| [13] |
Pei Y, Chu R, Shen L, et al. Recessed slant gate AlGaN/GaN high electron mobility transistors with 20.9 W/mm at 10 GHz. Jpn J Appl Phys, 2007, 46(45): L1087 doi: 10.1143/JJAP.46.L1087
|
| [14] |
Ren Chunjiang, Wang Quanhui, Liu Haiqi, et al. 0.5μm AlGaN/GaN HEMT and its application. Research & Progress of Solid State Electronics, 2011, 31(5): 433
|
| [15] |
Chen Tangsheng, Zhou Jianjun, Ren Chunjiang, et al. High power and high efficiency GaN HEMT with WN Schottky barrier. IEEE International Symposium on Radio-Frequency Integration Technology, 2012: 170 http://cn.bing.com/academic/profile?id=2077929669&encoded=0&v=paper_preview&mkt=zh-cn
|
| [16] |
Heying B, We X H, Keller S, et al. Role of threading dislocation on the X-ray diffraction widths in epitaxial GaN films. Appl Phys Lett, 1996, 68(5): 643 doi: 10.1063/1.116495
|
| [17] |
Horio K, Yonemoto K, Takayanagi H, et al. Physics-based simulation of buffer-trapping effects on slow current transients and current collapse in GaN field effect transistors. J Appl Phys, 2005, 98(12): 124502 doi: 10.1063/1.2141653
|
| [18] |
Horio K and Nakajima A. Physical mechanism of buffer-related current transients and current slump in AlGaN/GaN high electron mobility transistors. J Appl Phys, 2008, 47: 3428 doi: 10.1143/JJAP.47.3428
|
| [19] |
Fu S T, Komiak J J, Lester L F, et al. C-band 20 W internally matched GaAs based pseudomorphic HEMT power amplifiers. GaAs IC Symposium, 1993: 355 https://www.researchgate.net/publication/3602109_C-band_20_watt_internally_matched_GaAs_based_pseudomorphic_HEMT_power_amplifiers
|
| [20] |
Zhong Shichang, Chen Tangsheng, Lin Gang, et al. 8-Watt internally matched GaAs power amplifier for 16-16.5 GHz band. ICSICT, 2006 http://cn.bing.com/academic/profile?id=2342837535&encoded=0&v=paper_preview&mkt=zh-cn
|
| [21] |
Yamauchi K, Noto H, Nonomura H, et al. A 45% power added efficiency, Ku-band 60W GaN power amplifier. IEEE MTT-S Digest, 2011 http://cn.bing.com/academic/profile?id=2105014494&encoded=0&v=paper_preview&mkt=zh-cn
|
| [22] |
Takagi K, Takatsuka S, Kashiwabara Y, et al. Ku-band AlGaN/GaN-HEMT with over 30% of PAE. IEEE MTT-S Digest, 2009: 457 http://cn.bing.com/academic/profile?id=2114541566&encoded=0&v=paper_preview&mkt=zh-cn
|
| [23] |
Takagi K, Kashiwabara Y, Masuda K, et al. Ku-band AlGaN/GaN HEMT with over 30 W. European Microwave Integrated Circuits Conference, 2007: 169 http://cn.bing.com/academic/profile?id=2100866175&encoded=0&v=paper_preview&mkt=zh-cn
|
| [24] |
Bar-Cohen A, Maurer J J, Felbinger J G. DARPA's intra/interchip enhanced cooling (ICECool) program. CS MANTECH Conference, 2013: 171
|
| [25] |
Faili F, Diduck Q, Babic D I, et al. Development ofⅢ-nitride HEMTs on CVD diamond substrates. CS MANTECH Conference, 2011 http://cn.bing.com/academic/profile?id=2182028725&encoded=0&v=paper_preview&mkt=zh-cn
|
| [26] |
Tyhach M, Bernstein S, Saledas P, et al. Comparison of GaN on diamond with GaN on SiC HEMT and MMIC performance. CS MANTECH Conference, 2012 https://www.researchgate.net/profile/Firooz_Faili/publication/285236607_Comparison_of_GaN_on_Diamond_with_GaN_on_SiC_HEMT_and_MMIC_Performance/links/565cf39708aeafc2aac72c20.pdf?origin=publication_detail
|
| [27] |
Faqir M, Batten T, Mrotzek T, et al. Novel packaging solutions for GaN power electronics: silver-diamond composite packages. CS Mantech Conference, 2010: 307 http://cn.bing.com/academic/profile?id=2336343329&encoded=0&v=paper_preview&mkt=zh-cn
|
| [1] |
Wu Y F, Moore M, S Axler A, et al. 40-W/mm double field plated GaN HEMTs. IEEE Proceeding of Device Research Conference, 2006: 151 http://cn.bing.com/academic/profile?id=2159824107&encoded=0&v=paper_preview&mkt=zh-cn
|
| [2] |
Maekawa A, Tamamoto T, Mitani E, et al. A 500 W push-pull AlGaN/GaN HEMT amplifier for L-band high power application. IEEE MTT-S Digest, 2006: 722 http://cn.bing.com/academic/profile?id=2070511827&encoded=0&v=paper_preview&mkt=zh-cn
|
| [3] |
Mitani E, Aojima M, Maekawa A, et al. An 800-W AlGaN/GaN HEMT for S-band high-power application. CS MANTECH Conference, 2007: 213 http://cn.bing.com/academic/profile?id=2291711276&encoded=0&v=paper_preview&mkt=zh-cn
|
| [4] |
Walker J, Formicone G, Boueri F, et al. 1 kW GaN S band radar transistor. IEEE International Conference on Microwaves, Communications, Antennas and Electronic Systems, 2013
|
| [5] |
Shigematsu H, Inoue Y, Akasegawa A, et al. C-band 340-W and X-band 100-W GaN power amplifiers with over 50-% PAE. IEEE MTT-s Digest, 2009: 1265 http://cn.bing.com/academic/profile?id=2113231617&encoded=0&v=paper_preview&mkt=zh-cn
|
| [6] |
Kikuchi K, Nishihara M, Yamamoto H, et al. An 8.5-10.0 GHz 310 W GaN HEMT for radar applications. IEEE MTT-s Digest, 2014 http://cn.bing.com/academic/profile?id=2078229187&encoded=0&v=paper_preview&mkt=zh-cn
|
| [7] |
Noto H, Maehara1 H, Uchida1 H, et al. X-and Ku-band internally matched GaN amplifiers with more than 100 W output power. European Microwave Integrated Circuits Conference, 2012: 10758
|
| [8] |
Prejs A, Wood S, Pengelly R, et al. Thermal analysis and its application to high power GaN HEMT amplifiers. IEEE MTT-S International Microwave Symposium, 2009 http://cn.bing.com/academic/profile?id=2095733268&encoded=0&v=paper_preview&mkt=zh-cn
|
| [9] |
Ren Chunjiang, Li Zhonghui, Yu Xuming, et al. Field plated 0.15μm GaN HEMTs for millimeter-wave application. Journal of Semiconductors, 2013, 34(6): 064002 doi: 10.1088/1674-4926/34/6/064002
|
| [10] |
Saunier, Lee P C, Balistreri A, et al. Progress in GaN performances and reliability. IEEE Compound Semiconductor Integrated circuits Conference, 2010: 35 http://cn.bing.com/academic/profile?id=2118869460&encoded=0&v=paper_preview&mkt=zh-cn
|
| [11] |
Heikman S, Keller S, DenBaars S P, et al. Growth of Fe doped semi-insulating GaN by metalorganic chemical vapor deposition. Appl Phys Lett, 2002, 81: 439 doi: 10.1063/1.1490396
|
| [12] |
Dora Y, Chakraborty A, McCarthy L, et al. High breakdown voltage achieved on AlGaN/GaN HEMTs with integrated slant field plates. IEEE Electron Device Lett, 2006, 27(9): 713 doi: 10.1109/LED.2006.881020
|
| [13] |
Pei Y, Chu R, Shen L, et al. Recessed slant gate AlGaN/GaN high electron mobility transistors with 20.9 W/mm at 10 GHz. Jpn J Appl Phys, 2007, 46(45): L1087 doi: 10.1143/JJAP.46.L1087
|
| [14] |
Ren Chunjiang, Wang Quanhui, Liu Haiqi, et al. 0.5μm AlGaN/GaN HEMT and its application. Research & Progress of Solid State Electronics, 2011, 31(5): 433
|
| [15] |
Chen Tangsheng, Zhou Jianjun, Ren Chunjiang, et al. High power and high efficiency GaN HEMT with WN Schottky barrier. IEEE International Symposium on Radio-Frequency Integration Technology, 2012: 170 http://cn.bing.com/academic/profile?id=2077929669&encoded=0&v=paper_preview&mkt=zh-cn
|
| [16] |
Heying B, We X H, Keller S, et al. Role of threading dislocation on the X-ray diffraction widths in epitaxial GaN films. Appl Phys Lett, 1996, 68(5): 643 doi: 10.1063/1.116495
|
| [17] |
Horio K, Yonemoto K, Takayanagi H, et al. Physics-based simulation of buffer-trapping effects on slow current transients and current collapse in GaN field effect transistors. J Appl Phys, 2005, 98(12): 124502 doi: 10.1063/1.2141653
|
| [18] |
Horio K and Nakajima A. Physical mechanism of buffer-related current transients and current slump in AlGaN/GaN high electron mobility transistors. J Appl Phys, 2008, 47: 3428 doi: 10.1143/JJAP.47.3428
|
| [19] |
Fu S T, Komiak J J, Lester L F, et al. C-band 20 W internally matched GaAs based pseudomorphic HEMT power amplifiers. GaAs IC Symposium, 1993: 355 https://www.researchgate.net/publication/3602109_C-band_20_watt_internally_matched_GaAs_based_pseudomorphic_HEMT_power_amplifiers
|
| [20] |
Zhong Shichang, Chen Tangsheng, Lin Gang, et al. 8-Watt internally matched GaAs power amplifier for 16-16.5 GHz band. ICSICT, 2006 http://cn.bing.com/academic/profile?id=2342837535&encoded=0&v=paper_preview&mkt=zh-cn
|
| [21] |
Yamauchi K, Noto H, Nonomura H, et al. A 45% power added efficiency, Ku-band 60W GaN power amplifier. IEEE MTT-S Digest, 2011 http://cn.bing.com/academic/profile?id=2105014494&encoded=0&v=paper_preview&mkt=zh-cn
|
| [22] |
Takagi K, Takatsuka S, Kashiwabara Y, et al. Ku-band AlGaN/GaN-HEMT with over 30% of PAE. IEEE MTT-S Digest, 2009: 457 http://cn.bing.com/academic/profile?id=2114541566&encoded=0&v=paper_preview&mkt=zh-cn
|
| [23] |
Takagi K, Kashiwabara Y, Masuda K, et al. Ku-band AlGaN/GaN HEMT with over 30 W. European Microwave Integrated Circuits Conference, 2007: 169 http://cn.bing.com/academic/profile?id=2100866175&encoded=0&v=paper_preview&mkt=zh-cn
|
| [24] |
Bar-Cohen A, Maurer J J, Felbinger J G. DARPA's intra/interchip enhanced cooling (ICECool) program. CS MANTECH Conference, 2013: 171
|
| [25] |
Faili F, Diduck Q, Babic D I, et al. Development ofⅢ-nitride HEMTs on CVD diamond substrates. CS MANTECH Conference, 2011 http://cn.bing.com/academic/profile?id=2182028725&encoded=0&v=paper_preview&mkt=zh-cn
|
| [26] |
Tyhach M, Bernstein S, Saledas P, et al. Comparison of GaN on diamond with GaN on SiC HEMT and MMIC performance. CS MANTECH Conference, 2012 https://www.researchgate.net/profile/Firooz_Faili/publication/285236607_Comparison_of_GaN_on_Diamond_with_GaN_on_SiC_HEMT_and_MMIC_Performance/links/565cf39708aeafc2aac72c20.pdf?origin=publication_detail
|
| [27] |
Faqir M, Batten T, Mrotzek T, et al. Novel packaging solutions for GaN power electronics: silver-diamond composite packages. CS Mantech Conference, 2010: 307 http://cn.bing.com/academic/profile?id=2336343329&encoded=0&v=paper_preview&mkt=zh-cn
|
Article views: 4465 Times PDF downloads: 64 Times Cited by: 0 Times
Received: 07 January 2016 Revised: 27 February 2016 Online: Published: 01 August 2016
| Citation: |
Chunjiang Ren, Shichang Zhong, Yuchao Li, Zhonghui Li, Yuechan Kong, Tangsheng Chen. Design, fabrication and characterising of 100 W GaN HEMT for Ku-bandapplication[J]. Journal of Semiconductors, 2016, 37(8): 084002. doi: 10.1088/1674-4926/37/8/084002
****
C J Ren, S C Zhong, Y C Li, Z H Li, Y C Kong, T S Chen. Design, fabrication and characterising of 100 W GaN HEMT for Ku-bandapplication[J]. J. Semicond., 2016, 37(8): 084002. doi: 10.1088/1674-4926/37/8/084002.
|
| [1] |
Wu Y F, Moore M, S Axler A, et al. 40-W/mm double field plated GaN HEMTs. IEEE Proceeding of Device Research Conference, 2006: 151 http://cn.bing.com/academic/profile?id=2159824107&encoded=0&v=paper_preview&mkt=zh-cn
|
| [2] |
Maekawa A, Tamamoto T, Mitani E, et al. A 500 W push-pull AlGaN/GaN HEMT amplifier for L-band high power application. IEEE MTT-S Digest, 2006: 722 http://cn.bing.com/academic/profile?id=2070511827&encoded=0&v=paper_preview&mkt=zh-cn
|
| [3] |
Mitani E, Aojima M, Maekawa A, et al. An 800-W AlGaN/GaN HEMT for S-band high-power application. CS MANTECH Conference, 2007: 213 http://cn.bing.com/academic/profile?id=2291711276&encoded=0&v=paper_preview&mkt=zh-cn
|
| [4] |
Walker J, Formicone G, Boueri F, et al. 1 kW GaN S band radar transistor. IEEE International Conference on Microwaves, Communications, Antennas and Electronic Systems, 2013
|
| [5] |
Shigematsu H, Inoue Y, Akasegawa A, et al. C-band 340-W and X-band 100-W GaN power amplifiers with over 50-% PAE. IEEE MTT-s Digest, 2009: 1265 http://cn.bing.com/academic/profile?id=2113231617&encoded=0&v=paper_preview&mkt=zh-cn
|
| [6] |
Kikuchi K, Nishihara M, Yamamoto H, et al. An 8.5-10.0 GHz 310 W GaN HEMT for radar applications. IEEE MTT-s Digest, 2014 http://cn.bing.com/academic/profile?id=2078229187&encoded=0&v=paper_preview&mkt=zh-cn
|
| [7] |
Noto H, Maehara1 H, Uchida1 H, et al. X-and Ku-band internally matched GaN amplifiers with more than 100 W output power. European Microwave Integrated Circuits Conference, 2012: 10758
|
| [8] |
Prejs A, Wood S, Pengelly R, et al. Thermal analysis and its application to high power GaN HEMT amplifiers. IEEE MTT-S International Microwave Symposium, 2009 http://cn.bing.com/academic/profile?id=2095733268&encoded=0&v=paper_preview&mkt=zh-cn
|
| [9] |
Ren Chunjiang, Li Zhonghui, Yu Xuming, et al. Field plated 0.15μm GaN HEMTs for millimeter-wave application. Journal of Semiconductors, 2013, 34(6): 064002 doi: 10.1088/1674-4926/34/6/064002
|
| [10] |
Saunier, Lee P C, Balistreri A, et al. Progress in GaN performances and reliability. IEEE Compound Semiconductor Integrated circuits Conference, 2010: 35 http://cn.bing.com/academic/profile?id=2118869460&encoded=0&v=paper_preview&mkt=zh-cn
|
| [11] |
Heikman S, Keller S, DenBaars S P, et al. Growth of Fe doped semi-insulating GaN by metalorganic chemical vapor deposition. Appl Phys Lett, 2002, 81: 439 doi: 10.1063/1.1490396
|
| [12] |
Dora Y, Chakraborty A, McCarthy L, et al. High breakdown voltage achieved on AlGaN/GaN HEMTs with integrated slant field plates. IEEE Electron Device Lett, 2006, 27(9): 713 doi: 10.1109/LED.2006.881020
|
| [13] |
Pei Y, Chu R, Shen L, et al. Recessed slant gate AlGaN/GaN high electron mobility transistors with 20.9 W/mm at 10 GHz. Jpn J Appl Phys, 2007, 46(45): L1087 doi: 10.1143/JJAP.46.L1087
|
| [14] |
Ren Chunjiang, Wang Quanhui, Liu Haiqi, et al. 0.5μm AlGaN/GaN HEMT and its application. Research & Progress of Solid State Electronics, 2011, 31(5): 433
|
| [15] |
Chen Tangsheng, Zhou Jianjun, Ren Chunjiang, et al. High power and high efficiency GaN HEMT with WN Schottky barrier. IEEE International Symposium on Radio-Frequency Integration Technology, 2012: 170 http://cn.bing.com/academic/profile?id=2077929669&encoded=0&v=paper_preview&mkt=zh-cn
|
| [16] |
Heying B, We X H, Keller S, et al. Role of threading dislocation on the X-ray diffraction widths in epitaxial GaN films. Appl Phys Lett, 1996, 68(5): 643 doi: 10.1063/1.116495
|
| [17] |
Horio K, Yonemoto K, Takayanagi H, et al. Physics-based simulation of buffer-trapping effects on slow current transients and current collapse in GaN field effect transistors. J Appl Phys, 2005, 98(12): 124502 doi: 10.1063/1.2141653
|
| [18] |
Horio K and Nakajima A. Physical mechanism of buffer-related current transients and current slump in AlGaN/GaN high electron mobility transistors. J Appl Phys, 2008, 47: 3428 doi: 10.1143/JJAP.47.3428
|
| [19] |
Fu S T, Komiak J J, Lester L F, et al. C-band 20 W internally matched GaAs based pseudomorphic HEMT power amplifiers. GaAs IC Symposium, 1993: 355 https://www.researchgate.net/publication/3602109_C-band_20_watt_internally_matched_GaAs_based_pseudomorphic_HEMT_power_amplifiers
|
| [20] |
Zhong Shichang, Chen Tangsheng, Lin Gang, et al. 8-Watt internally matched GaAs power amplifier for 16-16.5 GHz band. ICSICT, 2006 http://cn.bing.com/academic/profile?id=2342837535&encoded=0&v=paper_preview&mkt=zh-cn
|
| [21] |
Yamauchi K, Noto H, Nonomura H, et al. A 45% power added efficiency, Ku-band 60W GaN power amplifier. IEEE MTT-S Digest, 2011 http://cn.bing.com/academic/profile?id=2105014494&encoded=0&v=paper_preview&mkt=zh-cn
|
| [22] |
Takagi K, Takatsuka S, Kashiwabara Y, et al. Ku-band AlGaN/GaN-HEMT with over 30% of PAE. IEEE MTT-S Digest, 2009: 457 http://cn.bing.com/academic/profile?id=2114541566&encoded=0&v=paper_preview&mkt=zh-cn
|
| [23] |
Takagi K, Kashiwabara Y, Masuda K, et al. Ku-band AlGaN/GaN HEMT with over 30 W. European Microwave Integrated Circuits Conference, 2007: 169 http://cn.bing.com/academic/profile?id=2100866175&encoded=0&v=paper_preview&mkt=zh-cn
|
| [24] |
Bar-Cohen A, Maurer J J, Felbinger J G. DARPA's intra/interchip enhanced cooling (ICECool) program. CS MANTECH Conference, 2013: 171
|
| [25] |
Faili F, Diduck Q, Babic D I, et al. Development ofⅢ-nitride HEMTs on CVD diamond substrates. CS MANTECH Conference, 2011 http://cn.bing.com/academic/profile?id=2182028725&encoded=0&v=paper_preview&mkt=zh-cn
|
| [26] |
Tyhach M, Bernstein S, Saledas P, et al. Comparison of GaN on diamond with GaN on SiC HEMT and MMIC performance. CS MANTECH Conference, 2012 https://www.researchgate.net/profile/Firooz_Faili/publication/285236607_Comparison_of_GaN_on_Diamond_with_GaN_on_SiC_HEMT_and_MMIC_Performance/links/565cf39708aeafc2aac72c20.pdf?origin=publication_detail
|
| [27] |
Faqir M, Batten T, Mrotzek T, et al. Novel packaging solutions for GaN power electronics: silver-diamond composite packages. CS Mantech Conference, 2010: 307 http://cn.bing.com/academic/profile?id=2336343329&encoded=0&v=paper_preview&mkt=zh-cn
|
Journal of Semiconductors © 2017 All Rights Reserved 京ICP備05085259號-2