J. Semicond. > 2015, Volume 36?>?Issue 9?> 092001

SEMICONDUCTOR PHYSICS

Energy levels of magneto-optical polaron in spherical quantum dot——Part 1: Strong coupling

A. J. Fotue1, S. C. Kenfack1, N. Issofa1, M. Tiotsop1, H. Fotsin2, E. Mainimo1 and L. C. Fai1

+ Author Affiliations

 Corresponding author: A.J.Fotue,

DOI: 10.1088/1674-4926/36/9/092001

PDF

Abstract: We investigate the influence of a magnetic field on the ground state energy of a polaron in a spherical semiconductor quantum dot (QD) using the modified LLP method. The ground state energy is split into sub-energy levels and there is a degeneracy of energy levels. It is also observed that the degenerate energy increase with the electron-phonon coupling constant and decrease with the magnetic field. The numerical results show that, under the influence of magnetic field and the interaction with the total momentum along the z-direction, the split energy increases and decreases with the longitudinal and the transverse confinement length, respectively.

Key words: magnetic fieldtotal momentummodified LLPpolaron energyquantum dot



[1]
[2]
[3]
[4]
[5]
[6]
[7]
[8]
[9]
[10]
[11]
[12]
[13]
[14]
[15]
[16]
[17]
[18]
[19]
[20]
[21]
[22]
[23]
[24]
[25]
[26]
[27]
[28]
[29]
[30]
[31]
[32]
[33]
[34]
[35]
[36]
[37]
[38]
[39]
[40]
[41]
[42]
[43]
[44]
[45]
[46]
[47]
Fig. 1.  Splitting ground state energies of polaron in 1S state as function of coupling constant α with l1=0.55, l2=0.25 and ωc=0.5.

Fig. 2.  Splitting ground state energies of polaron in 1S state as function of coupling constant α withl1=0.55, l2=0.25 and ωc=7.0.

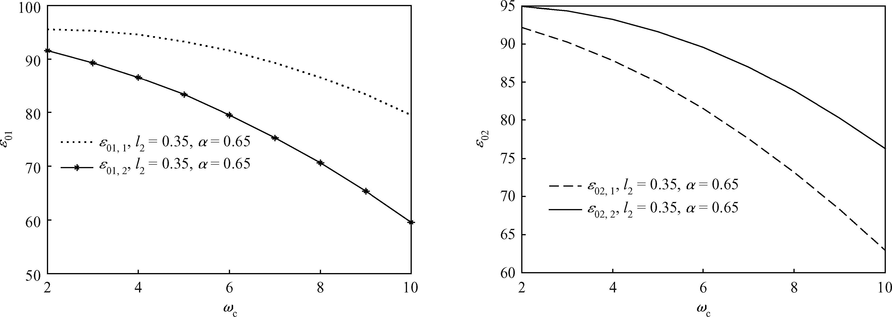
Fig. 3.  Splitting ground state energies of polaron in 1S state as function of cyclotron frequency constant ωc with l1=0.25,l2=0.35 and α=6.5.

Fig. 4.  Splitting ground state energies of polaron in 1S state as function of cyclotron frequency constant ωc with l1=0.30,l2=0.35 and α=6.5.

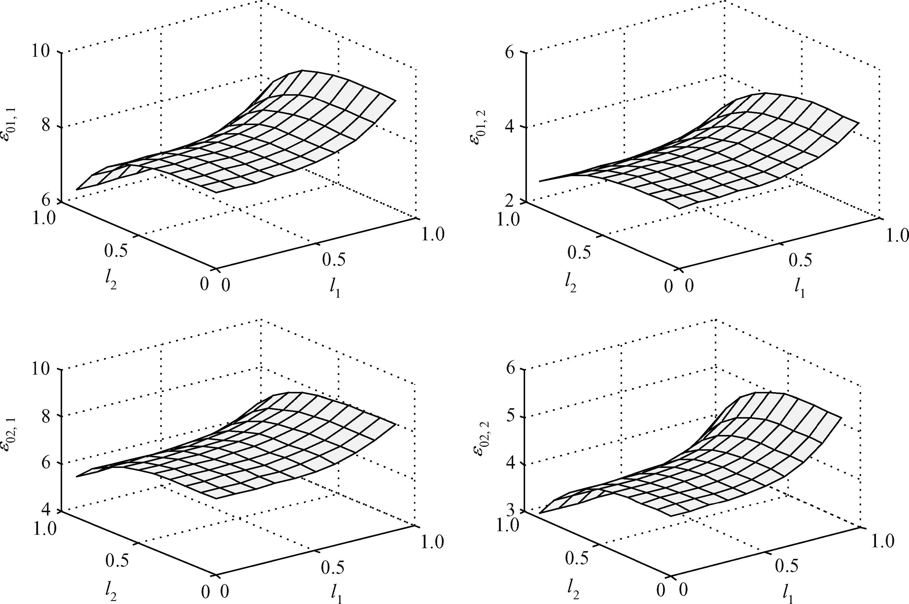
Fig. 5.  Splitting ground state energies of polaron in 1S state as function of confinement length l1 and l2 with α =6.5 and ωc=0.5.

Fig. 6.  Splitting ground state energies of polaron in 1S state as function confinement length l1 and l2 with α =6.5 and ωc=2.0.

Fig. 7.  Splitting ground state energies of polaron in 1S state as function of confinement length l1 and l2 with α =6.5 and ωc=5.0.

DownLoad: CSV
DownLoad: CSV
DownLoad: CSV
DownLoad: CSV
DownLoad: CSV
DownLoad: CSV
DownLoad: CSV
DownLoad: CSV
DownLoad: CSV
DownLoad: CSV
DownLoad: CSV
DownLoad: CSV
DownLoad: CSV
DownLoad: CSV
DownLoad: CSV
DownLoad: CSV
DownLoad: CSV
[1]
[2]
[3]
[4]
[5]
[6]
[7]
[8]
[9]
[10]
[11]
[12]
[13]
[14]
[15]
[16]
[17]
[18]
[19]
[20]
[21]
[22]
[23]
[24]
[25]
[26]
[27]
[28]
[29]
[30]
[31]
[32]
[33]
[34]
[35]
[36]
[37]
[38]
[39]
[40]
[41]
[42]
[43]
[44]
[45]
[46]
[47]
  • Search

    Advanced Search >>

    GET CITATION

    shu

    Export: BibTex EndNote

    Article Metrics

    Article views: 2953 Times PDF downloads: 37 Times Cited by: 0 Times

    History

    Received: 26 December 2014 Revised: Online: Published: 01 September 2015

    Catalog

      Email This Article

      User name:
      Email:*請輸入正確郵箱
      Code:*驗證碼錯誤
      A. J. Fotue, S. C. Kenfack, N. Issofa, M. Tiotsop, H. Fotsin, E. Mainimo, L. C. Fai. Energy levels of magneto-optical polaron in spherical quantum dot——Part 1: Strong coupling[J]. Journal of Semiconductors, 2015, 36(9): 092001. doi: 10.1088/1674-4926/36/9/092001 ****A. J. Fotue, S. C. Kenfack, N. Issofa, M. Tiotsop, H. Fotsin, E. Mainimo, L. C. Fai. Energy levels of magneto-optical polaron in spherical quantum dot——Part 1: Strong coupling[J]. J. Semicond., 2015, 36(9): 092001. doi: 10.1088/1674-4926/36/9/092001.
      Citation:
      A. J. Fotue, S. C. Kenfack, N. Issofa, M. Tiotsop, H. Fotsin, E. Mainimo, L. C. Fai. Energy levels of magneto-optical polaron in spherical quantum dot——Part 1: Strong coupling[J]. Journal of Semiconductors, 2015, 36(9): 092001. doi: 10.1088/1674-4926/36/9/092001 ****
      A. J. Fotue, S. C. Kenfack, N. Issofa, M. Tiotsop, H. Fotsin, E. Mainimo, L. C. Fai. Energy levels of magneto-optical polaron in spherical quantum dot——Part 1: Strong coupling[J]. J. Semicond., 2015, 36(9): 092001. doi: 10.1088/1674-4926/36/9/092001.

      Energy levels of magneto-optical polaron in spherical quantum dot——Part 1: Strong coupling

      DOI: 10.1088/1674-4926/36/9/092001
      Funds:

      More Information

      Catalog

        /

        DownLoad:  Full-Size Img  PowerPoint
        Return
        Return