J. Semicond. > 2015, Volume 36?>?Issue 12?> 124002

SEMICONDUCTOR DEVICES

Inhomogeneous barrier height effect on the current-voltage characteristics of an Au/n-InP Schottky diode

Kamal Zeghdar1, Lakhdar Dehimi1, 2, Achour Saadoune1 and Nouredine Sengouga1

+ Author Affiliations

 Corresponding author: Nouredine Sengouga,Email: n.sengouga@univ-biskra.dz

DOI: 10.1088/1674-4926/36/12/124002

PDF

Abstract: We report the current-voltage(I-V) characteristics of the Schottky diode(Au/n-InP) as a function of temperature. The SILVACO-TCAD numerical simulator is used to calculate the I-V characteristic in the temperature range of 280-400 K. This is to study the effect of temperature on the I-V curves and assess the main parameters that characterize the Schottky diode such as the ideality factor, the height of the barrier and the series resistance. The I-V characteristics are analyzed on the basis of standard thermionic emission(TE) theory and the inhomogeneous barrier heights(BHs) assuming a Gaussian distribution. It is shown that the ideality factor decreases while the barrier height increases with increasing temperature, on the basis of TE theory. Furthermore, the homogeneous BH value of approximately 0.524 eV for the device has been obtained from the linear relationship between the temperature-dependent experimentally effective BHs and ideality factors. The modified Richardson plot, according to the inhomogeneity of the BHs, has a good linearity over the temperature range. The evaluated Richardson constant A* was 10.32 A·cm-2·K-2, which is close to the theoretical value of 9.4 A·cm-2·K-2 for n-InP. The temperature dependence of the I-V characteristics of the Au/n-InP Schottky diode have been successfully explained on the basis of the thermionic emission(TE) mechanism with a Gaussian distribution of the Schottky barrier heights(SBHs). Simulated I-V characteristics are in good agreement with the measurements[Korucu D, Mammadov T S. J Optoelectronics Advanced Materials, 2012, 14:41]. The barrier height obtained using Gaussian Schottky barrier distribution is 0.52 eV, which is about half the band gap of InP.

Key words: simulationSDBSilvacoInPtemperatureI-V-T



[1]
[2]
[3]
[4]
[5]
[6]
[7]
[8]
[9]
[10]
[11]
[12]
[13]
[14]
[15]
[16]
[17]
[18]
[19]
[20]
[21]
[22]
[23]
[24]
[25]
Fig. 1.  (Color online) A two dimensional schematic cross section of the simulated Au/n-InP Schottky diode.

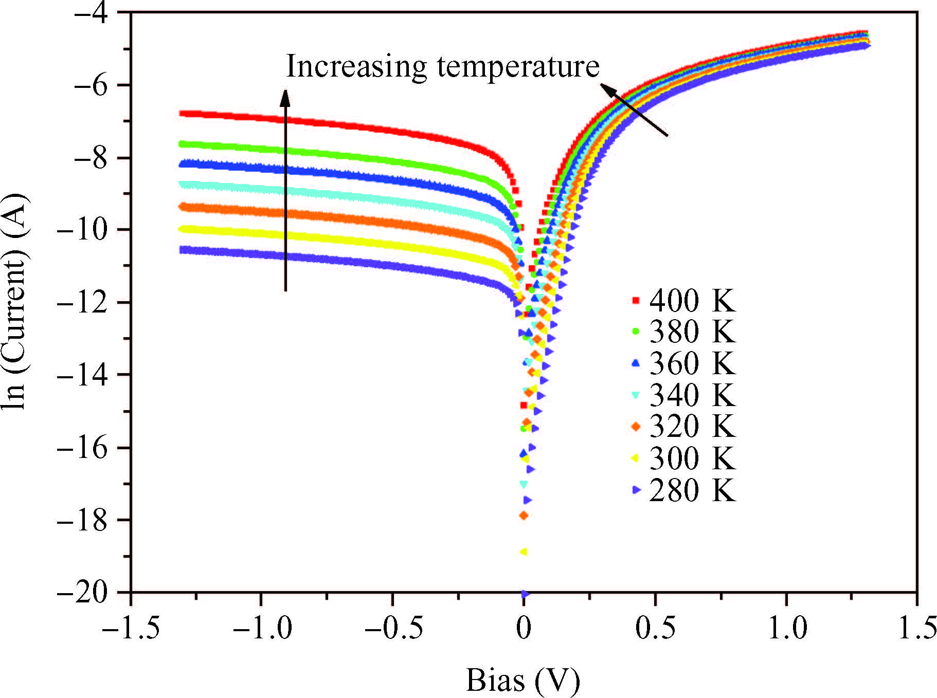
Fig. 2.  (Color online) The simulated I –V characteristics of an Au/n-InP Schottky diode in the temperature range of 200–400 K.

Fig. 3.  The extracted ideality factor n and the barrier height ΦB from the I –V characteristics of the Au/n-InP Schottky diode (Figure 2) in the temperature range 280–400 K.

Fig. 4.  Semi-logarithmic I/[1-exp.(qV/kT)] versus V plot from the reverse bias I –V data in Figure 2 for Au/n-InP SD in the temperature range of 280–400 K.

Fig. 5.  Barrier height versus temperature plot for the Au/n-InP SD in the temperature range of 280–400 K.

Fig. 6.  The Richardson plot of ln.(I0=T2) versus 103/T

Fig. 7.  The apparent barrier height versus $q/2kT$ curves of the Au/n-InP Schottky barrier diode according to a Gaussian distribution of BHs.

Fig. 8.  The $1/n-$ 1 versus $q/2kT$ curve of the Au/n-InP Schottky barrier diode according to a Gaussian distribution of BHs.

Fig. 9.  The modified Richardson $\ln(I_0/T^2)-(q^2\sigma^2_0/2k^2T^2)$ versus $q/kT$ plot for the Au/n-InP Schottky barrier diode according to a Gaussian distribution of BHs.

[1]
[2]
[3]
[4]
[5]
[6]
[7]
[8]
[9]
[10]
[11]
[12]
[13]
[14]
[15]
[16]
[17]
[18]
[19]
[20]
[21]
[22]
[23]
[24]
[25]
  • Search

    Advanced Search >>

    GET CITATION

    shu

    Export: BibTex EndNote

    Article Metrics

    Article views: 5076 Times PDF downloads: 119 Times Cited by: 0 Times

    History

    Received: 23 March 2015 Revised: Online: Published: 01 December 2015

    Catalog

      Email This Article

      User name:
      Email:*請輸入正確郵箱
      Code:*驗證碼錯誤
      Kamal Zeghdar, Lakhdar Dehimi, Achour Saadoune, Nouredine Sengouga. Inhomogeneous barrier height effect on the current-voltage characteristics of an Au/n-InP Schottky diode[J]. Journal of Semiconductors, 2015, 36(12): 124002. doi: 10.1088/1674-4926/36/12/124002 ****K Zeghdar, L Dehimi, A Saadaune, N Sengouga. Inhomogeneous barrier height effect on the current-voltage characteristics of an Au/n-InP Schottky diode[J]. J. Semicond., 2015, 36(12): 124002. doi:? 10.1088/1674-4926/36/12/124002.
      Citation:
      Kamal Zeghdar, Lakhdar Dehimi, Achour Saadoune, Nouredine Sengouga. Inhomogeneous barrier height effect on the current-voltage characteristics of an Au/n-InP Schottky diode[J]. Journal of Semiconductors, 2015, 36(12): 124002. doi: 10.1088/1674-4926/36/12/124002 ****
      K Zeghdar, L Dehimi, A Saadaune, N Sengouga. Inhomogeneous barrier height effect on the current-voltage characteristics of an Au/n-InP Schottky diode[J]. J. Semicond., 2015, 36(12): 124002. doi:? 10.1088/1674-4926/36/12/124002.

      Inhomogeneous barrier height effect on the current-voltage characteristics of an Au/n-InP Schottky diode

      DOI: 10.1088/1674-4926/36/12/124002
      More Information
      • Corresponding author: Nouredine Sengouga,Email: n.sengouga@univ-biskra.dz
      • Received Date: 2015-03-23
      • Accepted Date: 2015-06-30
      • Published Date: 2015-01-25

      Catalog

        /

        DownLoad:  Full-Size Img  PowerPoint
        Return
        Return