J. Semicond. > 2013, Volume 34?>?Issue 9?> 094001

SEMICONDUCTOR DEVICES

Structural parameters improvement of an integrated HBT in a cascode configuration opto-electronic mixer

Hassan Kaatuzian, Hadi Dehghan Nayeri, Masoud Ataei and Ashkan Zandi

+ Author Affiliations

 Corresponding author: Hassan Kaatuzian, Email: hsnkato@aut.ac.ir

DOI: 10.1088/1674-4926/34/9/094001

PDF

Abstract: We analyze an integrated electrically pumped opto-electronic mixer, which consists of two InP/GaInAs hetero junction bipolar transistors (HBT), in a cascode configuration. A new HBT with modified physical structure is proposed and simulated to improve the frequency characteristics of a cascode mixer. For the verification and calibrating software simulator, we compare the simulation results of a typical HBT, before modifying it and comparing it with empirical reported experiments. Then we examine the simulator on our modified proposed HBT to prove its wider frequency characteristics with better flatness and acceptable down conversion gain. Although the idea is examined in several GHz modulation, it may easily be extended to state of the art HBT cascode mixers in much higher frequency range.

Key words: cascodedown conversion gainmixeropto-electronicphoto HBTsimulation



[1]
Darcie T. Sub carrier multiplexing for multiple-access light wave networks. J Lightwave Technol, 1987, 5(8):1103 doi: 10.1109/JLT.1987.1075615
[2]
Liu C P, Seeds A J, Wake D. Two-terminal edge-coupled InP/InGaAs heterojunction phototransistor optoelectronic mixer. IEEE Microw Guided Wave Lett, 1997, 7(3):72 doi: 10.1109/75.556036
[3]
Betser Y, Lasri J, Sidorov V, et al. An integrated heterojunction bipolar transistor cascode opto-electronic mixer. IEEE Trans Microw Theory Tech, 1999, 47(7):1358 doi: 10.1109/22.775479
[4]
Sedra A S, Smith K C. Microelectronic circuits. USA:Oxford University Press, 1997
[5]
Liu W. Fundamentals of Ⅲ-Ⅴ devices. USA:John Wiley and Sons, 1999
[6]
Chandrasekhar S, Luanardi L M, Gnauck A H, et al. High-speed monolithic pin/HBT and HPT/HBT photoreceivers implemented with simple phototransistor structure. IEEE Photonics Technol Lett, 1993, 5(11):1316 doi: 10.1109/68.250055
[7]
Betser Y, Ritter D. A single-stage three-terminal heterojunction bipolar transistor optoelectronic mixer. J Lightwave Technol, 1998, 16(4):605 doi: 10.1109/50.664070
[8]
Hamm R A, Ritter D, Temkin H. A compact MOMBE growth system. J Vac Sci Technol, 1997, A12:2790 http://depa.fquim.unam.mx/amyd/archivero/VITEK_17603.pdf
[9]
Kaatuzian H, Nayeri H D. Characteristics improvement of an integrated HBT cascode opto-electronic mixer. AOE Conference Proceedings SaK43. pdf, China, 2008
Fig. 1.  T model for bipolar transistor.

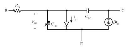
Fig. 2.  P-SPICE model for transistor.

Fig. 3.  P-SPICE model for transistor used for our simulation.

Fig. 4.  Schematic diagram of the epitaxial layer structure and mesa structure. The optical window is located on the base mesa.

Fig. 5.  Experimental setup for measuring the opto-electronic cascode mixer.

Fig. 6.  Schematic of the simulation of single HBT mixer.

Fig. 7.  Down conversion gain comparison of simulation results and experimental results.

Fig. 8.  Schematic of the simulation for cascode pair and comparison with experiment.

Fig. 9.  Comparison of simulation results and experimental results for cascode pair.

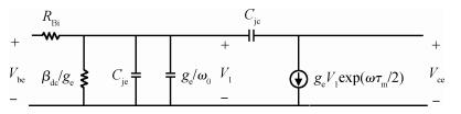
Fig. 10.  hybrid-$\pi$ model used for an HBT.

Fig. 11.  Down conversion gain of single HBT mixer versus RF frequency.

Fig. 12.  Down conversion gain of cascode HBT mixer versus RF frequency.

Fig. 13.  New proposed transistor schematic.

Fig. 14.  Down conversion gain of new proposed single HBT mixer versus RF frequency and comparison with previous transistor.

Fig. 15.  Down conversion gain of new proposed cascode HBT mixer versus

Table 1.   Values of the equivalent circuit components.

Table 2.   Set of physical dimensions for our new proposed HBT device.

Table 3.   Comparison between some equivalent circuit components in this work and Ref. [3].

[1]
Darcie T. Sub carrier multiplexing for multiple-access light wave networks. J Lightwave Technol, 1987, 5(8):1103 doi: 10.1109/JLT.1987.1075615
[2]
Liu C P, Seeds A J, Wake D. Two-terminal edge-coupled InP/InGaAs heterojunction phototransistor optoelectronic mixer. IEEE Microw Guided Wave Lett, 1997, 7(3):72 doi: 10.1109/75.556036
[3]
Betser Y, Lasri J, Sidorov V, et al. An integrated heterojunction bipolar transistor cascode opto-electronic mixer. IEEE Trans Microw Theory Tech, 1999, 47(7):1358 doi: 10.1109/22.775479
[4]
Sedra A S, Smith K C. Microelectronic circuits. USA:Oxford University Press, 1997
[5]
Liu W. Fundamentals of Ⅲ-Ⅴ devices. USA:John Wiley and Sons, 1999
[6]
Chandrasekhar S, Luanardi L M, Gnauck A H, et al. High-speed monolithic pin/HBT and HPT/HBT photoreceivers implemented with simple phototransistor structure. IEEE Photonics Technol Lett, 1993, 5(11):1316 doi: 10.1109/68.250055
[7]
Betser Y, Ritter D. A single-stage three-terminal heterojunction bipolar transistor optoelectronic mixer. J Lightwave Technol, 1998, 16(4):605 doi: 10.1109/50.664070
[8]
Hamm R A, Ritter D, Temkin H. A compact MOMBE growth system. J Vac Sci Technol, 1997, A12:2790 http://depa.fquim.unam.mx/amyd/archivero/VITEK_17603.pdf
[9]
Kaatuzian H, Nayeri H D. Characteristics improvement of an integrated HBT cascode opto-electronic mixer. AOE Conference Proceedings SaK43. pdf, China, 2008
  • Search

    Advanced Search >>

    GET CITATION

    shu

    Export: BibTex EndNote

    Article Metrics

    Article views: 4397 Times PDF downloads: 12 Times Cited by: 0 Times

    History

    Received: 13 February 2013 Revised: 17 March 2013 Online: Published: 01 September 2013

    Catalog

      Email This Article

      User name:
      Email:*請輸入正確郵箱
      Code:*驗證碼錯誤
      Hassan Kaatuzian, Hadi Dehghan Nayeri, Masoud Ataei, Ashkan Zandi. Structural parameters improvement of an integrated HBT in a cascode configuration opto-electronic mixer[J]. Journal of Semiconductors, 2013, 34(9): 094001. doi: 10.1088/1674-4926/34/9/094001 ****H Kaatuzian, H D Nayeri, M Ataei, A Zandi. Structural parameters improvement of an integrated HBT in a cascode configuration opto-electronic mixer[J]. J. Semicond., 2013, 34(9): 094001. doi:? 10.1088/1674-4926/34/9/094001.
      Citation:
      Hassan Kaatuzian, Hadi Dehghan Nayeri, Masoud Ataei, Ashkan Zandi. Structural parameters improvement of an integrated HBT in a cascode configuration opto-electronic mixer[J]. Journal of Semiconductors, 2013, 34(9): 094001. doi: 10.1088/1674-4926/34/9/094001 ****
      H Kaatuzian, H D Nayeri, M Ataei, A Zandi. Structural parameters improvement of an integrated HBT in a cascode configuration opto-electronic mixer[J]. J. Semicond., 2013, 34(9): 094001. doi:? 10.1088/1674-4926/34/9/094001.

      Structural parameters improvement of an integrated HBT in a cascode configuration opto-electronic mixer

      DOI: 10.1088/1674-4926/34/9/094001
      More Information
      • Corresponding author: Hassan Kaatuzian, Email: hsnkato@aut.ac.ir
      • Received Date: 2013-02-13
      • Revised Date: 2013-03-17
      • Published Date: 2013-09-01

      Catalog

        /

        DownLoad:  Full-Size Img  PowerPoint
        Return
        Return