The interplay of magnetic and semiconducting properties has been in the focus for more than a half of the century. In this introductory article we briefly review the key properties and functionalities of various magnetic semiconductor families, including europium chalcogenides, chromium spinels, dilute magnetic semiconductors, dilute ferromagnetic semiconductors and insulators, mentioning also sources of non-uniformities in the magnetization distribution, accounting for an apparent high Curie temperature ferromagnetism in many systems. Our survey is carried out from today's perspective of ferromagnetic and antiferromagnetic spintronics as well as of the emerging fields of magnetic topological materials and atomically thin 2D layers.
Over the past half a century, considerable research activities have been directing towards the development of magnetic semiconductors that can work at room temperature. These efforts were aimed at seeking room temperature magnetic semiconductors with strong and controllable s, p-d exchange interaction. With this s, p-d exchange interaction, one can utilize the spin degree of freedom to design applicable spintronics devices with very attractive functions that are not available in conventional semiconductors. Here, we first review the progress in understanding of this particular material and the dilemma to prepare a room temperature magnetic semiconductor. Then we discuss recent experimental progresses to pursue strong s, p-d interaction to realize room temperature magnetic semiconductors, which are achieved by introducing a very high concentration of magnetic atoms by means of low-temperature nonequilibrium growth.
We review ferromagnetic resonance (FMR) and related phenomena in the ferromagnetic semiconductor (Ga,Mn)As and single crystalline Fe/GaAs (001) hybrid structures. In both systems, spin-orbit interaction is the key ingredient for various intriguing phenomena.
This paper describes interlayer exchange coupling (IEC) phenomena in ferromagnetic multilayer structures, focusing on the unique IEC features observed in ferromagnetic semiconductor (Ga,Mn)As-based systems. The dependence of IEC on the structural parameters, such as non-magnetic spacer thickness, number of magnetic layers, and carrier density in the systems has been investigated by using magnetotransport measurements. The samples in the series show both a typical anisotropic magnetoresistance (AMR) and giant magnetoresistance (GMR)-like effects indicating realization of both ferromagnetic (FM) and antiferromagnetic (AFM) IEC in (Ga,Mn)As-based multilayer structures. The results revealed that the presence of carriers in the non-magnetic spacer is an important factor to realize AFM IEC in this system. The studies further reveal that the IEC occurs over a much longer distance than predicted by current theories, strongly suggesting that the IEC in (Ga,Mn)As-based multilayers is a long-range interaction. Due to the long-range nature of IEC in the (Ga,Mn)As-based systems, the next nearest neighbor (NNN) IEC cannot be ignored and results in multi-step transitions during magnetization reversal that correspond to diverse spin configurations in the system. The strength of NNN IEC was experimentally determined by measuring minor loops that correspond to magnetization flips in specific (Ga,Mn)As layer in the multilayer system.
Magnetic semiconductors have been demonstrated to work at low temperatures, but not yet at room temperature for spin electronic applications. In contrast to the p-type diluted magnetic semiconductors, n-type diluted magnetic semiconductors are few. Using a combined method of the density function theory and quantum Monte Carlo simulation, we briefly discuss the recent progress to obtain diluted magnetic semiconductors with both p- and n-type carriers by choosing host semiconductors with a narrow band gap. In addition, the recent progress on two-dimensional intrinsic magnetic semiconductors with possible room temperature ferromangetism and quantum anomalous Hall effect are also discussed.
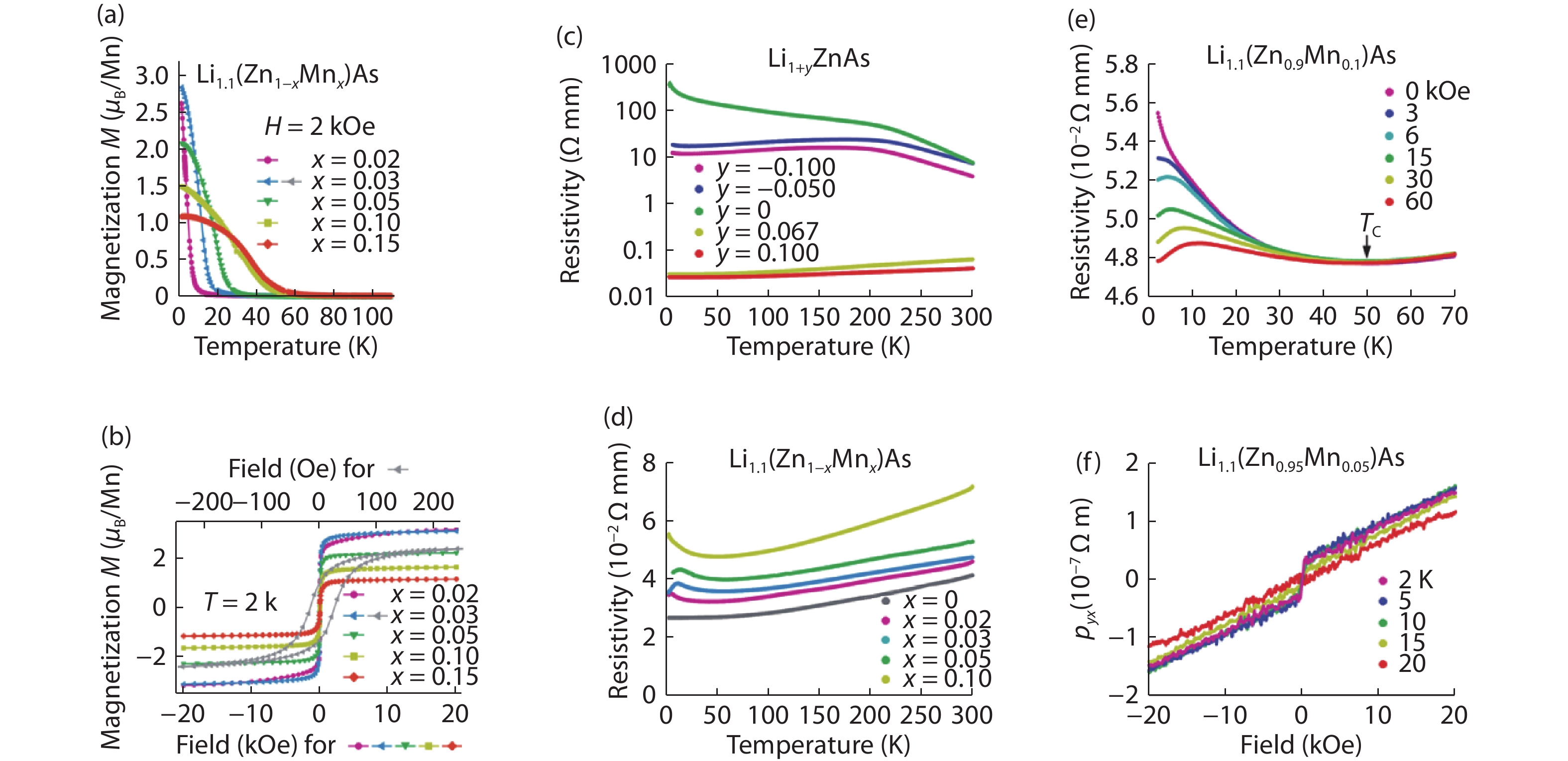
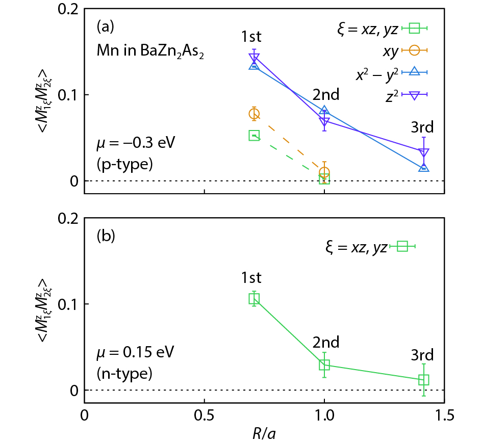
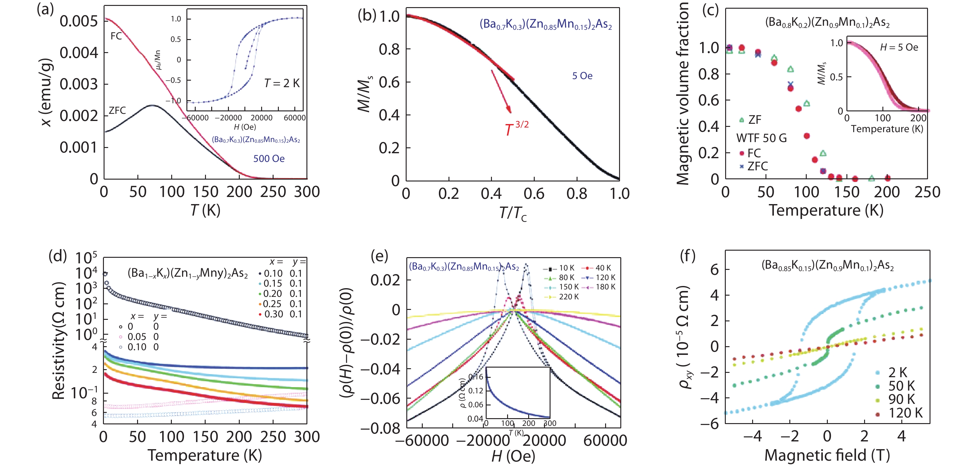
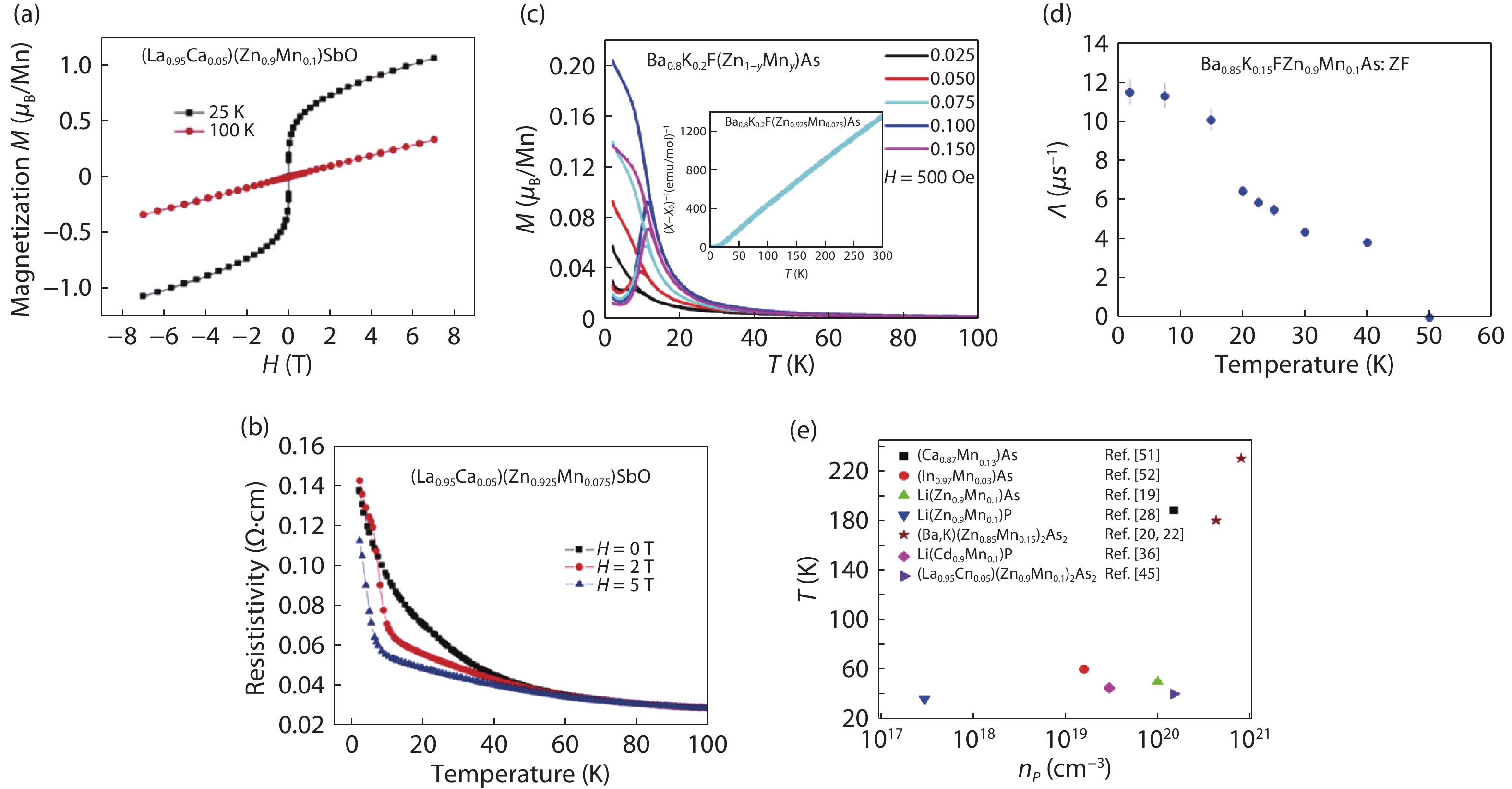
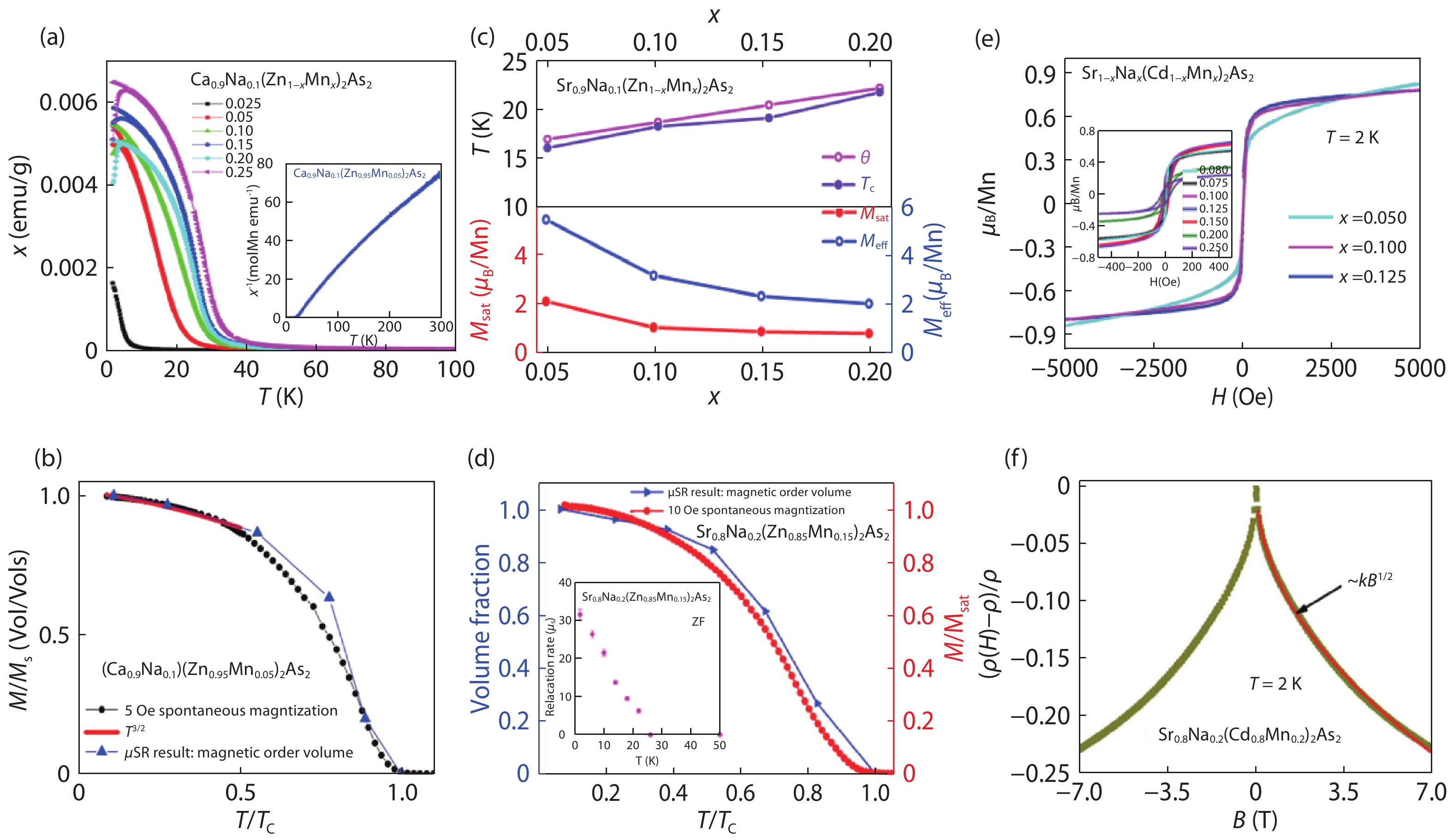
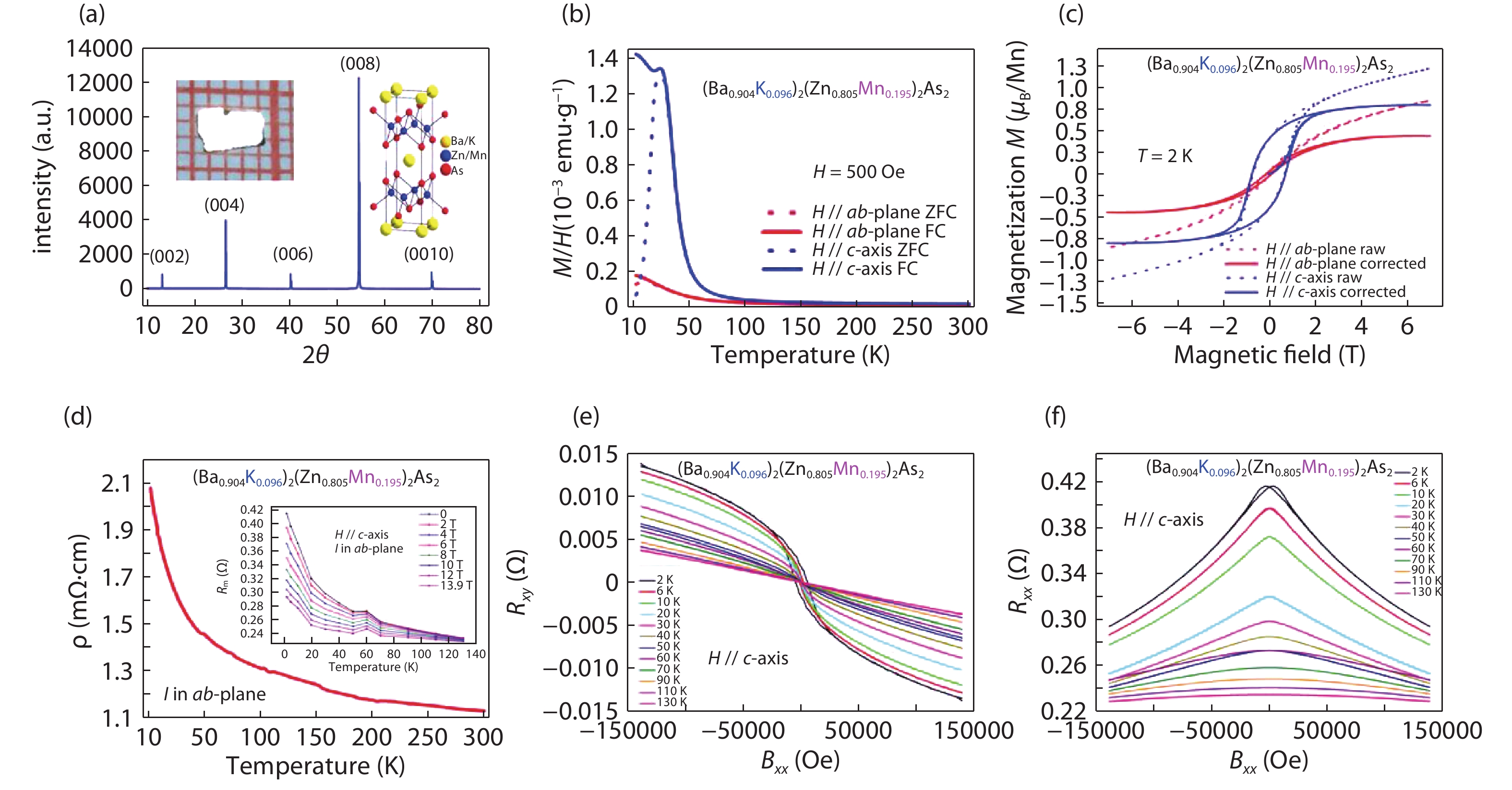
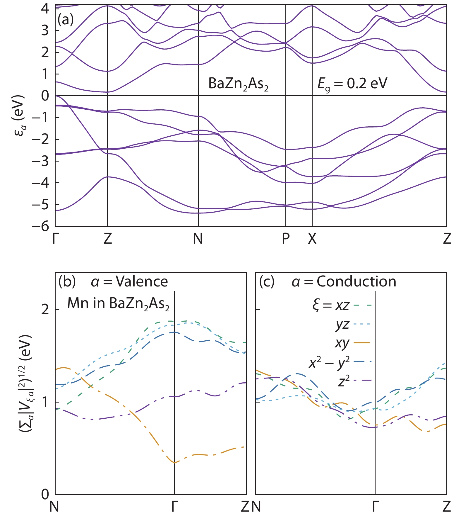
As one branch of spintronics, diluted magnetic semiconductors (DMSs) are extensively investigated due to their fundamental significance and potential application in modern information society. The classical materials (Ga,Mn)As of III–V group based DMSs has been well studied for its high compatibility with the high-mobility semiconductor GaAs. But the Curie temperature in (Ga,Mn)As film is still far below room temperature because the spin & charge doping is bundled to the same element that makes the fabrication very difficult. Alternatively, the discovery of a new generation DMSs with independent spin and charge doping, such as (Ba,K)(Zn,Mn)2As2 (briefly named BZA), attracted considerable attention due to their unique advantages in physical properties and heterojunction fabrication. In this review we focus on this series of new DMSs including (I) materials in terms of three types of new DMSs, i.e. the " 111”, " 122” and " 1111” system; (II) the physical properties of BZA; (III) single crystals & prototype device based on BZA. The prospective of new type of DMSs with independent spin and charge doping is briefly discussed.
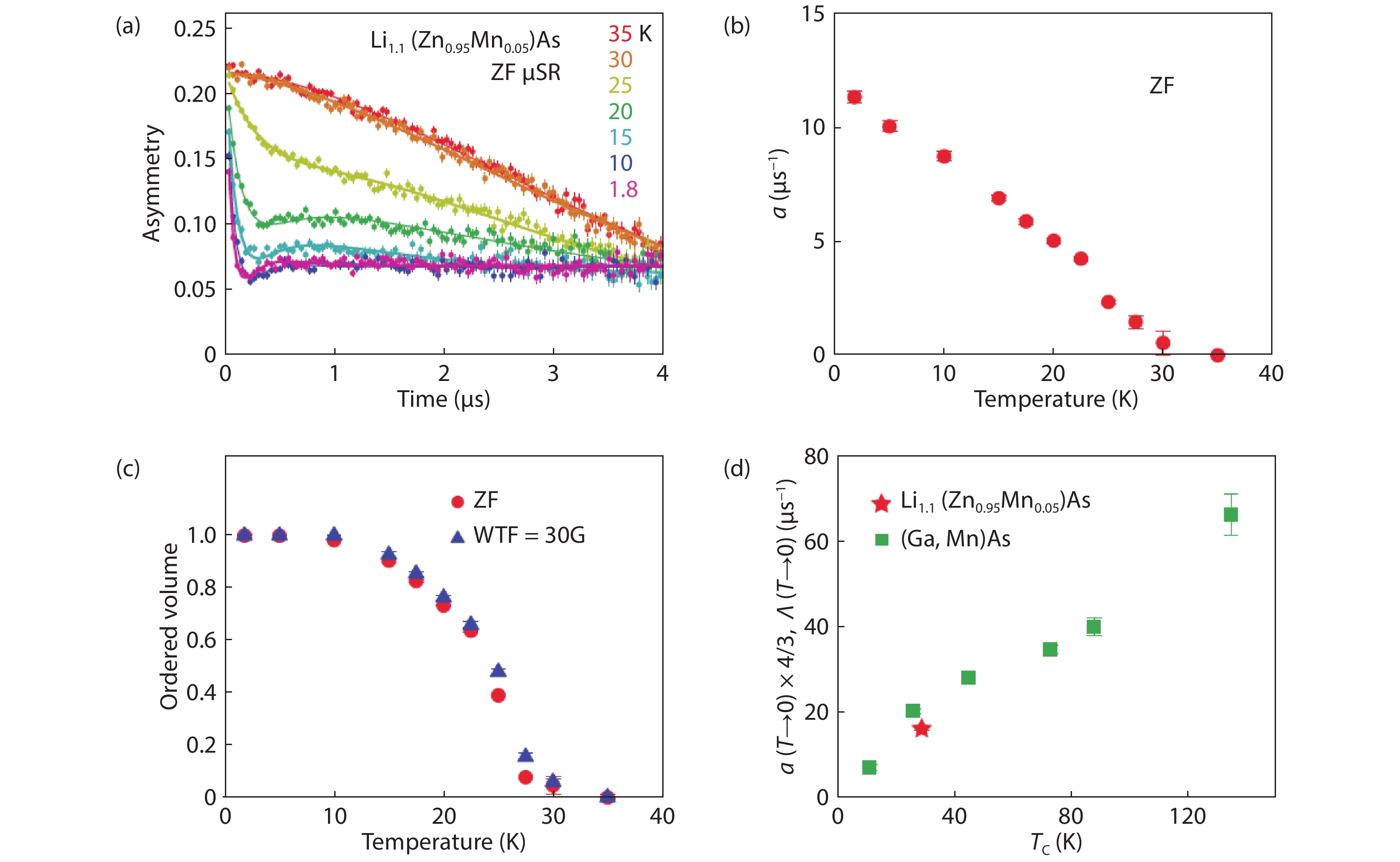
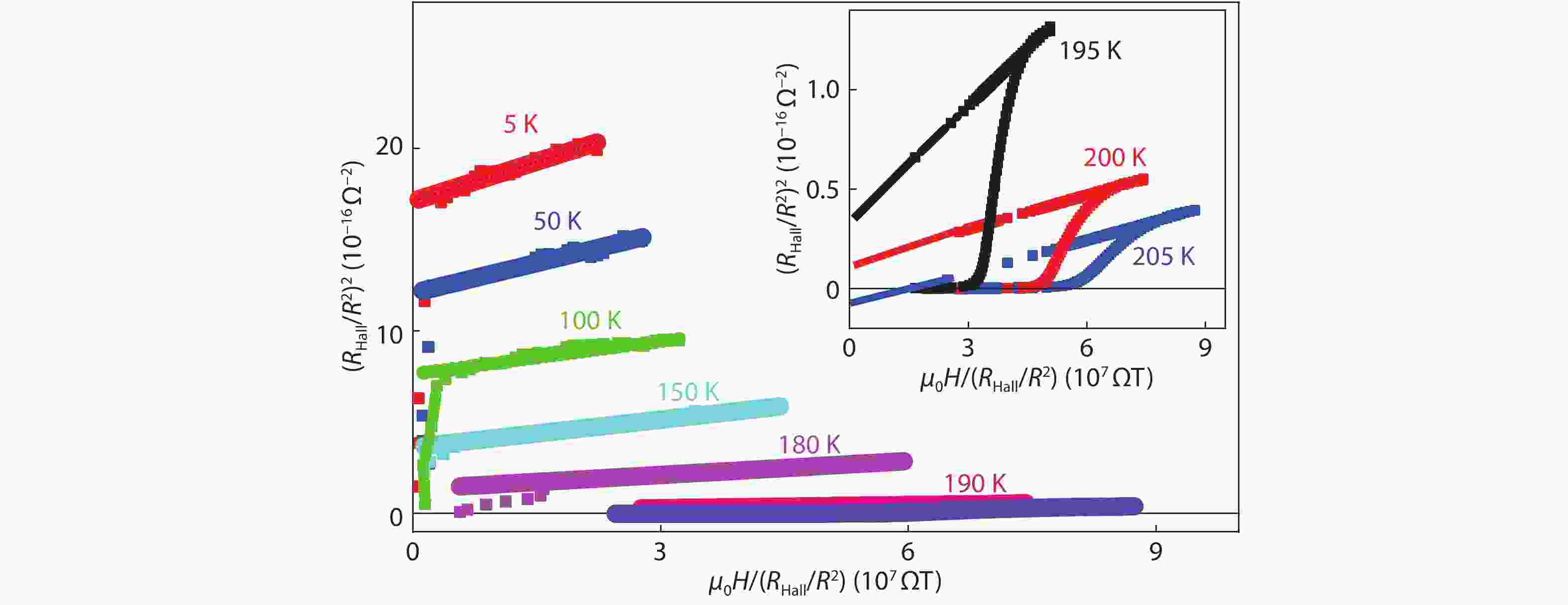
Diluted magnetic semiconductors (DMSs) that possess both properties of semiconductors and ferromagnetism, have attracted a lot of attentions due to its potential applications for spin-sensitive electronic devices. Recently, a series of bulk form DMSs isostructural to iron-based superconductors have been reported, which can be readily investigated by microscopic experimental techniques such as nuclear magnetic resonance (NMR) and muon spin rotation (μSR). The measurements have demonstrated that homogeneous ferromagnetism is achieved in these DMSs. In this review article, we summarize experimental evidences from both NMR and μSR measurements. NMR results have shown that carriers facilitate the interactions between distant Mn atoms, while μSR results indicate that these bulk form DMSs and (Ga,Mn)As share a common mechanism for the ferromagnetic exchange interactions.
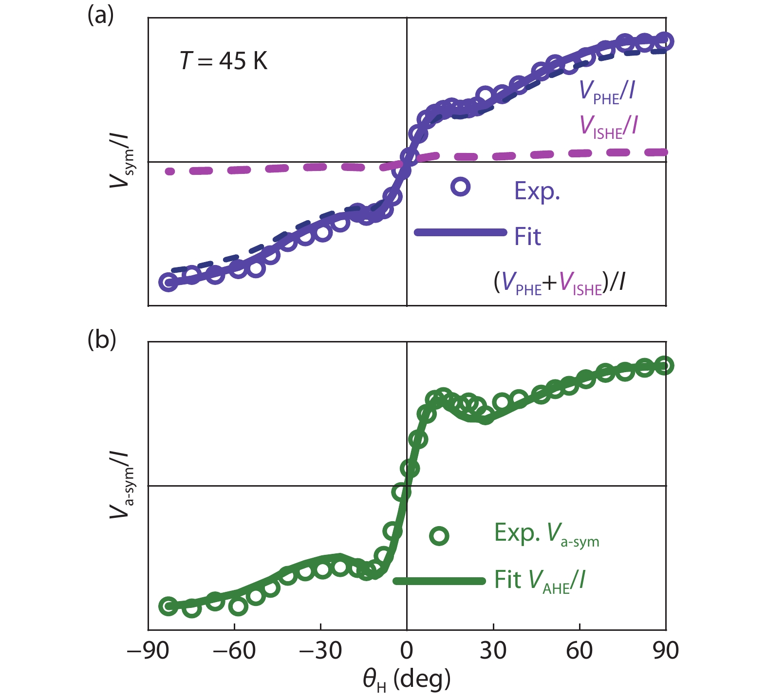
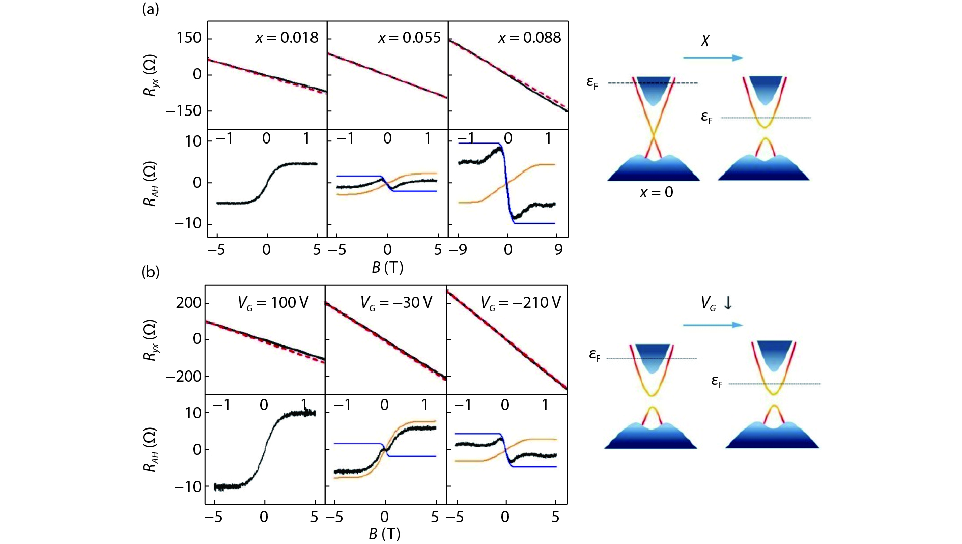
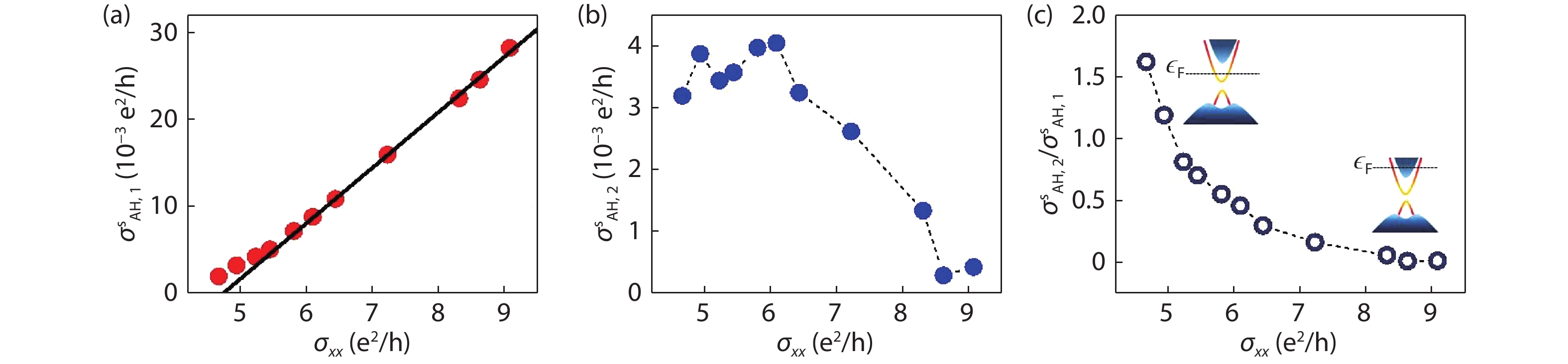
Topological insulators (TIs) host robust edge or surface states protected by time-reversal symmetry (TRS), which makes them prime candidates for applications in spintronic devices. A promising avenue of research for the development of functional TI devices has involved doping of three-dimensional (3D) TI thin film and bulk materials with magnetic elements. This approach aims to break the TRS and open a surface band gap near the Dirac point. Utilizing this gapped surface state allows for a wide range of novel physical effects to be observed, paving a way for applications in spintronics and quantum computation. This review focuses on the research of 3D TIs doped with manganese (Mn). We summarize major progress in the study of Mn doped chalcogenide TIs, including Bi2Se3, Bi2Te3, and Bi2(Te,Se)3. The transport properties, in particular the anomalous Hall effect, of the Mn-doped Bi2Se3 are discussed in detail. Finally, we conclude with future prospects and challenges in further studies of Mn doped TIs.
Magnetic orderings, i.e., the spontaneous alignment of electron spins below a critical temperature, have been playing key roles in modern science and technologies for both the wide applications of magnetic recording for information storage and the vibrant potential of solid state electronic spin devices (also known as spintronics) for logic operations. In the past decades, thanks to the development of thin film technologies, magnetic thin films via sputtering or epitaxial growth have made the spintronic devices possible at the industrial scale. Yet thinner materials at lower costs with more versatile functionalities are highly desirable for advancing future spintronics. Recently, van der Waals magnetic materials, a family of magnets that can in principle be exfoliated down to the monolayer limit, seem to have brought tremendous opportunities: new generation van der Waals spintronic devices can be seamlessly assembled with possible applications such as optoelectronics, flexible electronics, and etc. Moreover, those exfoliated spintronic devices can potentially be compatible with the famed metal-oxide field effect transistor architectures, allowing the harness of spin performances through the knob of an electrostatic field.
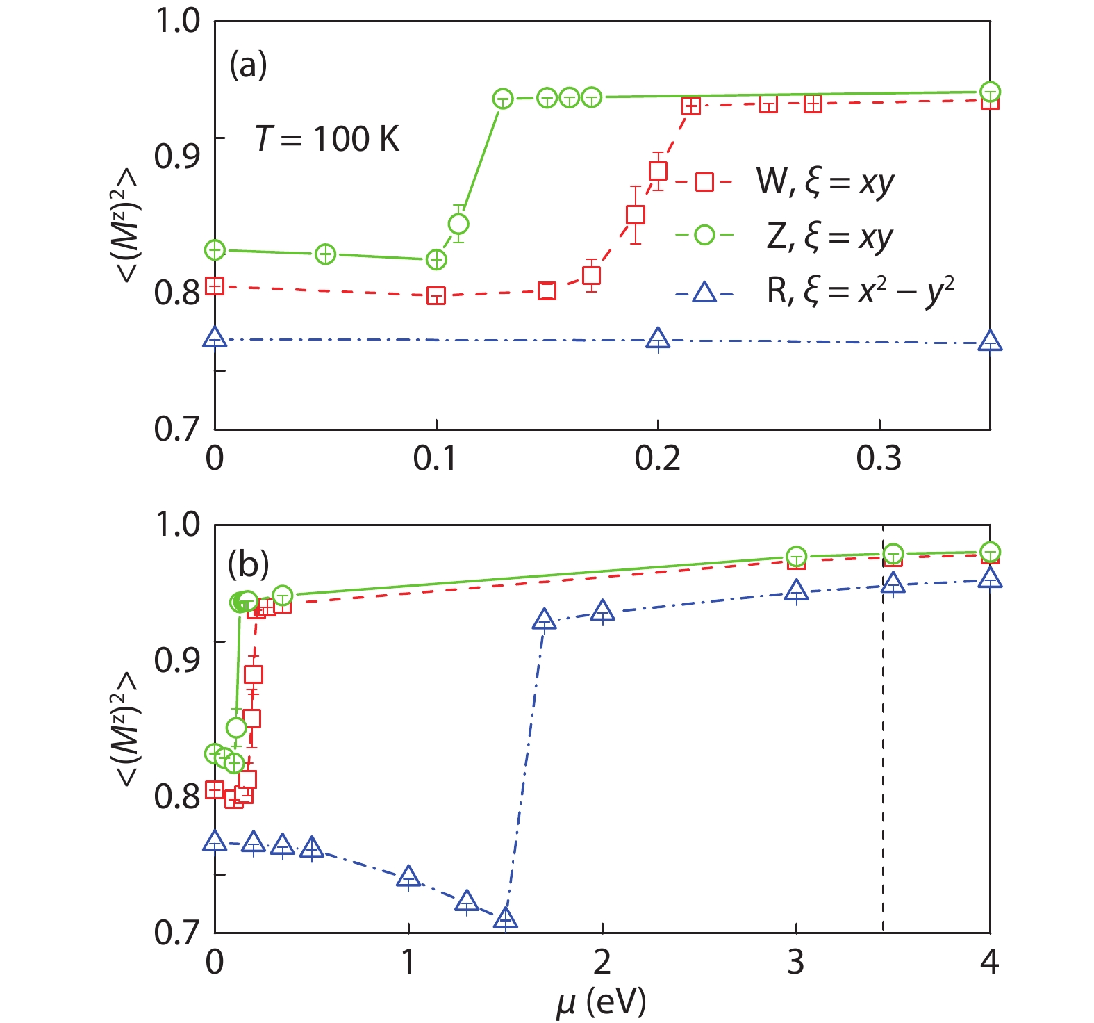
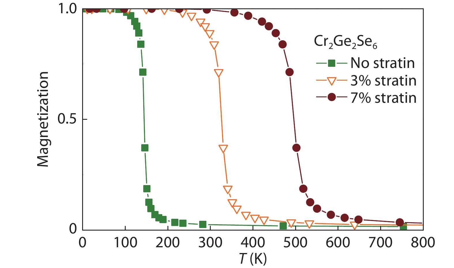
Since the successful fabrication of two-dimensional (2D) ferromagnetic (FM) monolayer CrI3 and Cr2Ge2Te6, 2D FM materials are becoming an exciting research topic in condensed matter physics and materials fields, as they provide a good platform to explore the fundamental physical properties of magnetic materials under 2D limit. In this review, we summarize the theoretical research progress of intrinsic 2D FM materials and related van der Waals heterostructures (vdWHs) including their electronic structures, magnetism, Curie temperature, valley polarization, and band alignment. Moreover, we also summarize recent researches on the methods that used to regulate the above properties of 2D FM materials and vdWHs, such as defects, doping, strain, electric field and interlayer coupling. These studies show that 2D FM materials have broad application prospects in spintronics and valleytronics. However, there are still many problems waiting to be solved on the way to practical application.
Recently, amorphous magnetic semiconductors as a new family of magnetic semiconductors have been developed by oxidizing ferromagnetic amorphous metals/alloys. Intriguingly, tuning the relative atomic ratios of Co and Fe in a Co-Fe-Ta-B-O system leads to the formation of an intrinsic magnetic semiconductor. Starting from high Curie-temperature amorphous ferromagnets, these amorphous magnetic semiconductors show Curie temperatures well above room temperature. Among them, one typical example is a p-type Co28.6Fe12.4Ta4.3B8.7O46 magnetic semiconductor, which has an optical bandgap of ~2.4 eV, room-temperature saturation magnetization of ~433 emu/cm3, and the Curie temperature above 600 K. The amorphous Co28.6Fe12.4Ta4.3B8.7O46 magnetic semiconductor can be integrated with n-type Si to form p–n heterojunctions with a threshold voltage of ~1.6 V, validating its p-type semiconducting character. Furthermore, the demonstration of electric field control of its room-temperature ferromagnetism reflects the interplay between the electricity and ferromagnetism in this material. It is suggested that the carrier density, ferromagnetism and conduction type of an intrinsic magnetic semiconductor are controllable by means of an electric field effect. These findings may pave a new way to realize magnetic semiconductor-based spintronic devices that work at room temperature.


