Mobile robots behaving as humans should possess multifunctional flexible sensing systems including vision, hearing, touch, smell, and taste. A gas sensor array (GSA), also known as electronic nose, is a possible solution for a robotic olfactory system that can detect and discriminate a wide variety of gas molecules. Artificial intelligence (AI) applied to an electronic nose involves a diverse set of machine learning algorithms which can generate a smell print by analyzing the signal pattern from the GSA. A combination of GSA and AI algorithms can empower intelligent robots with great capabilities in many areas such as environmental monitoring, gas leakage detection, food and beverage production and storage, and especially disease diagnosis through detection of different types and concentrations of target gases with the advantages of portability, low-power-consumption and ease-of-operation. It is exciting to envisage robots equipped with a "nose" acting as family doctor who will guard every family member's health and keep their home safe. In this review, we give a summary of the state-of the-art research progress in the fabrication techniques for GSAs and typical algorithms employed in artificial olfactory systems, exploring their potential applications in disease diagnosis, environmental monitoring, and explosive detection. We also discuss the key limitations of gas sensor units and their possible solutions. Finally, we present the outlook of GSAs over the horizon of smart homes and cities.
Semiconductor nanowires have demonstrated excellent electronic and optoelectronic properties. When integrated into photodetectors, excellent device performance can be easily attained. Apart from the exceptional performance, these nanowires can also enable robust and mechanically flexible photodetectors for various advanced utilizations that the rigid counterparts cannot perform. These unique applications include personal healthcare, next-generation robotics and many others. In this review, we would first discuss the nanowire fabrication techniques as well as the assembly methods of constructing large-scale nanowire arrays. Then, the recent development of flexible photodetectors based on these different nanowire material systems is evaluated in detail. At the same time, we also introduce some recent advancement that allows individual photodetectors to integrate into a more complex system for advanced deployment. Finally, a short conclusion and outlook of challenges faced in the future of the community is presented.
Flexible sensors have received wide attention because of their ability to adapt to a variety of complex environments. Electrospinning technology has significant advantages in the preparation of flexible sensors. This paper summarizes the progress in the preparation of flexible sensors by electrospinning. Sensors that respond to light, stress, and gas are presented separately. Finally, some directions for electrospinning and flexible sensors are discussed.
Wearable smart sensors are considered to be the new generation of personal portable devices for health monitoring. By attaching to the skin surface, these sensors are closely related to body signals (such as heart rate, blood oxygen saturation, breath markers, etc.) and ambient signals (such as ultraviolet radiation, inflammable and explosive, toxic and harmful gases), thus providing new opportunities for human activity monitoring and personal telemedicine care. Here we focus on photodetectors and gas sensors built from metal chalcogenide, which have made great progress in recent years. Firstly, we present an overview of healthcare applications based on photodetectors and gas sensors, and discuss the requirement associated with these applications in detail. We then discuss advantages and properties of solution-processable metal chalcogenides, followed by some recent achievements in health monitoring with photodetectors and gas sensors based on metal chalcogenides. Last we present further research directions and challenges to develop an integrated wearable platform for monitoring human activity and personal healthcare.
The intensive development of micro-/nanotechnologies offers a new route to construct sophisticated architectures of emerging soft electronics. Among the many classes of stretchable materials, micro-/nanostructured poly(dimethylsiloxane) (PDMS) has emerged as a vital building block based on its merits of flexibility, stretchability, simple processing, and, more importantly, high degrees of freedom of incorporation with other functional materials, including metals and semiconductors. The artificially designed geometries play important roles in achieving the desired mechanical and electrical performances of devices and thus show great potential for applications in the fields of stretchable displays, sensors and actuators as well as in health-monitoring device platforms. Meanwhile, novel lithographic methods to produce stretchable platforms with superb reliability have recently attracted research interest. The aim of this review is to comprehensively summarize the progress regarding micro-/nanostructured PDMS and their promising soft electronic applications. This review is concluded with a brief outlook and further research directions.
Based on the good extensibility and conductivity, the flexible sensors (FSs) have a wide range of applications in the field of the electrochemical energy storage and variable stress sensors, which causes that the preparation of FSs also become a hot spot of research. Among the materials for preparing the FSs, the flexible carbon matrix composites (FCMCs) have become the widely used material since the good performance in the properties of electrochemistry and mechanics, which could be divided into three types: the carbon nanofibers (CNFs), the carbon nanospheres (CNSs) and the carbon nanotubes (CNTs). Compared with CNFs and CNSs, the CNTs wrapped by the polydimethylsiloxane (PDMS) have the advantages of the excellent extensibility and electrochemical stability. Therefore, the CNTs flexible sensor (CFS) could be well used in the field of the FSs. The purpose of this review is summarizing the preparation methods and application fields of CFS and proposing the research direction of CFS in the future. In this paper, two methods for fabricating the CFS have been designed by consulting the methods mentioned in the literature in recent years, and the advantages and disadvantages between the two methods have been explained. The application fields of CFS in recent years are enumerated, and the conclusion that the application fields of CFS are very wide is drawn. At the end of this paper, the review concludes with an overview of key remaining challenges in the application fields of the CFS.
Wound healing has been recognized as a complex and dynamic regeneration process and attracted increasing interests on its management. For effective wound healing management, a continuous monitoring on the wound healing based on sensors is essential. Since pH has been found to play an important role on wound healing process, a variety of pH sensors systems for wound healing monitoring have been greatly developed in recent years. Among these pH sensors, flexible and wearable pH sensors which can be incorporated with wound dressing have gained much attention. In this review, the recent advances in the development of flexible and wearable pH sensors for wound healing monitoring have been comprehensive summarized from the range of optical and electrochemical bases.
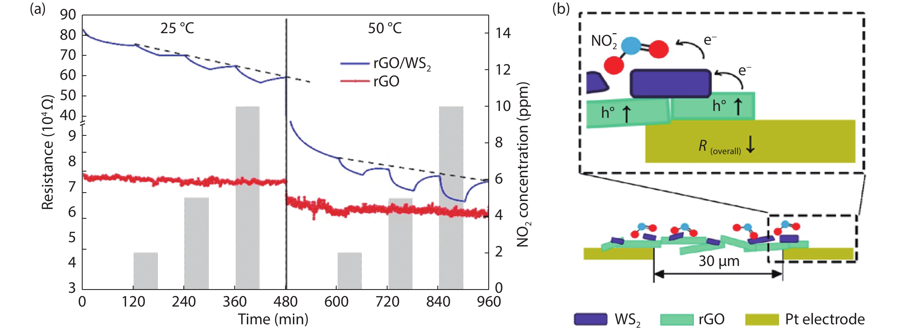
Two-dimensional (2D) nanomaterials have demonstrated great potential in the field of flexible gas sensing due to their inherent high specific surface areas, unique electronic properties and flexibility property. However, numerous challenges including sensitivity, selectivity, response time, recovery time, and stability have to be addressed before their practical application in gas detection field. Development of graphene-like 2D/2D nanocomposites as an efficient strategy to achieve high-performance 2D gas sensor has been reported recently. This review aims to discuss the latest advancements in the 2D/2D nanocomposites for gas sensors. We first elaborate the gas-sensing mechanisms and the collective benefits of 2D/2D hybridization as sensor materials. Then, we systematically present the current gas-sensing applications based on different categories of 2D/2D nanocomposites. Finally, we conclude the future prospect of 2D/2D nanocomposites in gas sensing applications.
The recent development on wearable and stretchable electronics calls for skin conformable power sources that are beyond current battery technologies. Among the many novel energy devices being explored, triboelectric nanogenerator (TENG) made from intrinsically stretchable materials has a great potential to meet the above requirement as being both soft and efficient. In this paper, we present a lithography-free and low-cost TENG device comprising a porous-structured PDMS layer and a stretchable PEDOT:PSS electrode. The porous PDMS structure is formed by using self-assembled polystyrene beads as the sacrificial template and it is highly ordered with great uniformity and high structural stability under compression force. Moreover, the porous PDMS TENG exhibits improved output voltage and current of 1.65 V and 0.54 nA compared to its counterpart with non-porous PDMS with 0.66 V and 0.34 nA. The effect of different loading force and frequency on the output response of the TENG device has also been studied. This work could shed light on diverse structural modification methods for improving the performance of PDMS-based TENG and the development of intrinsically stretchable TENG for wearable device applications.
A new family of transparent, biocompatible, self-adhesive, and self-healing elastomer has been developed by a convenient and efficient one-pot reaction between poly(acrylic acid) (PAA) and hydroxyl-terminated polydimethylsiloxane (PDMS-OH). The condensation reaction between PAA and PDMS-OH has been confirmed by attenuated total reflection Fourier transform infrared (ATR-FTIR) spectra. The prepared PAA-PDMS elastomers possess robust mechanical strength and strong adhesiveness to human skin, and they have fast self-healing ability at room temperature (in ~10 s with the efficiency of 98%). Specifically, strain sensors were fabricated by assembling PAA-PDMS as packaging layers and polyetherimide-reduced graphene oxide (PEI-rGO) as strain-sensing layers. The PAA-PDMS/PEI-rGO sensors are stably and reliably responsive to slight physical deformations, and they can be attached onto skin directly to monitor the body’s motions. Meanwhile, strain sensors can self-heal quickly and completely, and they can be reused for the motion detecting after shallowly scratching the surface. This work provides new opportunities to manufacture high performance self-adhesive and self-healing materials.


