ARTICLES
Yongxu Yan1, 2, Zhexin Li1, 2 and Zheng Lou1, 2,
Corresponding author: Zheng Lou, zlou@semi.ac.cn
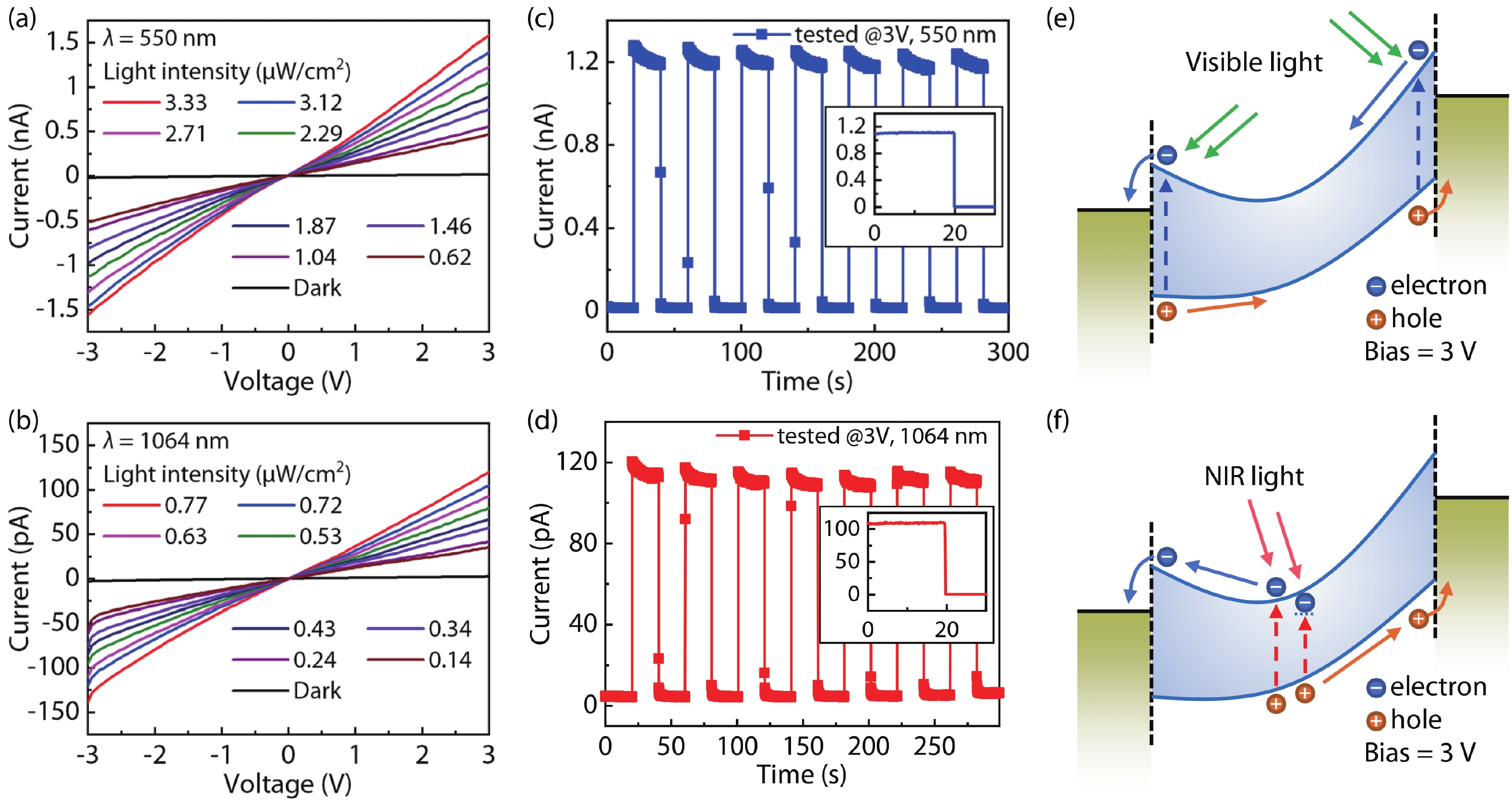
Abstract: Recently, the two-dimensional (2D) form of Ruddlesden-Popper perovskite (RPP) has been widely studied. However, the synthesis of one-dimensional (1D) RPP is rarely reported. Here, we fabricated a photodetector based on RPP microwires (RPP-MWs) and compared it with a 2D-RPP photodetector. The results show that the RPP-MWs photodetector possesses a wider photoresponse range and higher responsivities of 233 A/W in the visible band and 30 A/W in the near-infrared (NIR) band. The analyses show that the synthesized RPP-MWs have a multi-layer, heterogeneous core-shell structure. This structure gives RPP-MWs a unique band structure, as well as abundant trap states and defect levels, which enable them to acquire better photoresponse performance. This configuration of RPP-MWs provides a new idea for the design and application of novel heterostructures.
Key words: Ruddlesden-Popper perovskite, microwires, photodetector, core-shell, heterojunction
| [1] |
Sun Y, Sun B, He J B, et al. Compositional and structural engineering of inorganic nanowires toward advanced properties and applications. InfoMat, 2019, 1(4), 496 doi: 10.1002/inf2.12049
|
| [2] |
Hsu C L, Chang S J. Doped ZnO 1D nanostructures: synthesis, properties, and photodetector application. Small, 2014, 10(22), 4562 doi: 10.1002/smll.201401580
|
| [3] |
Peng L, Hu L F, Fang X S. Low-dimensional nanostructure ultraviolet photodetectors. Adv Mater, 2013, 25(37), 5321 doi: 10.1002/adma.201301802
|
| [4] |
Tian W, Lu H, Li L. Nanoscale ultraviolet photodetectors based on onedimensional metal oxide nanostructures. Nano Res, 2015, 8(2), 382 doi: 10.1007/s12274-014-0661-2
|
| [5] |
Wang Z H, Nabet B. Nanowire optoelectronics. Nanophotonics, 2015, 4(4), 491 doi: 10.1515/nanoph-2015-0025
|
| [6] |
Soci C, Zhang A, Bao X Y, et al. Nanowire photodetectors. J Nanosci Nanotechnol, 2010, 10(3), 1430 doi: 10.1166/jnn.2010.2157
|
| [7] |
Yan R X, Gargas D, Yang P D. Nanowire photonics. Nat Photonics, 2009, 3(10), 569 doi: 10.1038/nphoton.2009.184
|
| [8] |
Shen G Z, Chen D. One-dimensional nanostructures for photodetectors. Recent Pat Nanotechnol, 2010, 4(1), 20 doi: 10.2174/187221010790712101
|
| [9] |
Sun Y, Dong T G, Yu L W, et al. Planar growth, integration, and applications of semiconducting nanowires. Adv Mater, 2020, 32(27), 1903945 doi: 10.1002/adma.201903945
|
| [10] |
Meng J P, Li Z. Schottky-contacted nanowire sensors. Adv Mater, 2020, 32(28), 2000130 doi: 10.1002/adma.202000130
|
| [11] |
Ren Z H, Wang P, Zhang K, et al. Short-wave near-infrared polarization sensitive photodetector based on GaSb nanowire. IEEE Electron Device Lett, 2021, 42(4), 549 doi: 10.1109/LED.2021.3061705
|
| [12] |
Li L L, Wang D P, Zhang D, et al. Near-infrared light triggered self-powered mechano-optical communication system using wearable photodetector textile. Adv Funct Mater, 2021, 31(37), 2104782 doi: 10.1002/adfm.202104782
|
| [13] |
Shen G, Chen H, Lou Z. Growth of aligned SnS nanowire arrays for near infrared photodetectors. J Semicond, 2020, 41(4), 042602 doi: 10.1088/1674-4926/41/4/042602
|
| [14] |
Yip S, Shen L, Ho Johnny C. Recent advances in flexible photodetectors based on 1D nanostructures. J Semicond, 2019, 40(11), 111602 doi: 10.1088/1674-4926/40/11/111602
|
| [15] |
Chen S, Lou Z, Chen D, et al. Printable Zn2GeO4 microwires based flexible photodetectors with tunable photoresponses. Adv Mater Technol, 2018, 3(5), 1800050 doi: 10.1002/admt.201800050
|
| [16] |
Lou Z, Li L D, Shen G Z. High-performance rigid and flexible ultraviolet photodetectors with single-crystalline ZnGa2O4 nanowires. Nano Res, 2015, 8(7), 2162 doi: 10.1007/s12274-015-0723-0
|
| [17] |
Ran W H, Wang L L, Zhao S F, et al. An integrated flexible all-nanowire infrared sensing system with record photosensitivity. Adv Mater, 2020, 32(16), 1908419 doi: 10.1002/adma.201908419
|
| [18] |
He X, Jian C Y, Hong W T, et al. Ultralong CH3NH3PbI3 nanowires synthesized by a ligand-assisted reprecipitation strategy for high-performance photodetectors. J Mater Chem C, 2020, 8(22), 7378 doi: 10.1039/D0TC00807A
|
| [19] |
Yuan M, Zhao Y J, Feng J G, et al. Ultrasensitive photodetectors based on strongly interacted layered-perovskite nanowires. ACS Appl Mater Interfaces, 2022, 14(1), 1601 doi: 10.1021/acsami.1c20851
|
| [20] |
Zhao Y J, Qiu Y C, Gao H F, et al. Layered-perovskite nanowires with long-range orientational order for ultrasensitive photodetectors. Adv Mater, 2020, 32(9), 1905298 doi: 10.1002/adma.201905298
|
| [21] |
Zhou J C, Huang J. Photodetectors based on organic-inorganic hybrid lead halide perovskites. Adv Sci, 2018, 5(1), 1700256 doi: 10.1002/advs.201700256
|
| [22] |
Wang H B, Chen H Y, Li L, et al. High responsivity and high rejection ratio of self-powered solar-blind ultraviolet photodetector based on PEDOT: PSS/beta-Ga2O3 organic/inorganic p-n junction. J Phys Chem Lett, 2019, 10(21), 6850 doi: 10.1021/acs.jpclett.9b02793
|
| [23] |
Guan Y W, Zhang C H, Liu Z, et al. Single-crystalline perovskite p-n junction nanowire arrays for ultrasensitive photodetection. Adv Mater, 2022, 34(35), 2203201 doi: 10.1002/adma.202203201
|
| [24] |
Luo J L, Zheng Z, Yan S K, et al. Photocurrent enhanced in UV-vis-NIR photodetector based on CdSe/CdTe core/shell nanowire arrays by piezo-phototronic effect. ACS Photonics, 2020, 7(6), 1461 doi: 10.1021/acsphotonics.0c00122
|
| [25] |
Xiao M Q, Yang H, Shen W F, et al. Symmetry-reduction enhanced polarization-sensitive photodetection in core-shell SbI3/Sb2O3 van der Waals heterostructure. Small, 2020, 16(7), 1907172 doi: 10.1002/smll.201907172
|
| [26] |
Yan Y X, Ran W H, Li Z X, et al. Modify Cd3As2 nanowires with sulfur to fabricate self-powered NIR photodetectors with enhanced performance. Nano Res, 2021, 14(10), 3379 doi: 10.1007/s12274-021-3367-2
|
| [27] |
Chen Y N, Sun Y, Peng J J, et al. 2D Ruddlesden-Popper perovskites for optoelectronics. Adv Mater, 2018, 30(2), 1703487 doi: 10.1002/adma.201703487
|
| [28] |
Ricciardulli A G, Yang S, Smet J H, et al. Emerging perovskite monolayers. Nat Mater, 2021, 20(10), 1325 doi: 10.1038/s41563-021-01029-9
|
| [29] |
Xie C, Liu C K, Loi H L, et al. Perovskite-based phototransistors and hybrid photodetectors. Adv Funct Mater, 2020, 30(20), 1903907 doi: 10.1002/adfm.201903907
|
| [30] |
Xu Y K, Wang M, Lei Y T, et al. Crystallization kinetics in 2D perovskite solar cells. Adv Energy Mater, 2020, 10(43), 2002558 doi: 10.1002/aenm.202002558
|
| [31] |
Hong X, Ishihara T, Nurmikko A V. Dielectric confinement effect on excitons in PbI4-based layered semiconductors. Phys Rev B, 1992, 45(12), 6961 doi: 10.1103/PhysRevB.45.6961
|
| [32] |
Wang W, Zhang D, Liu R, et al. Characterization of interfaces: Lessons from the past for the future of perovskite solar cells. J Semicond, 2022, 43(5), 051202 doi: 10.1088/1674-4926/43/5/051202
|
| [33] |
Zhang D, Qin C, Ding L. Domain controlling and defect passivation for efficient quasi-2D perovskite LEDs. J Semicond, 2022, 43(5), 050201 doi: 10.1088/1674-4926/43/5/050201
|
| [34] |
Mei L, Mu H, Zhu L, et al. Frontier applications of perovskites beyond photovoltaics. J Semicond, 2022, 43(4), 040203 doi: 10.1088/1674-4926/43/4/040203
|
| [35] |
Li J Z, Wang J, Ma J Q, et al. Self-trapped state enabled filterless narrowband photodetections in 2D layered perovskite single crystals. Nat Commun, 2019, 10(1), 806 doi: 10.1038/s41467-019-08768-z
|
| [36] |
Jiang J Y, Zou X M, Lv Y W, et al. Rational design of Al2O3/2D perovskite heterostructure dielectric for high performance MoS2 phototransistors. Nat Commun, 2020, 11(1), 4266 doi: 10.1038/s41467-020-18100-9
|
| [37] |
Liu C K, Loi H L, Cao J P, et al. High-performance quasi-2D perovskite/single-walled carbon nanotube phototransistors for low-cost and sensitive broadband photodetection. Small Struct, 2021, 2(2), 2000084 doi: 10.1002/sstr.202000084
|
| [38] |
Wei S L, Wang F, Zou X M, et al. Flexible quasi-2D perovskite/IGZO phototransistors for ultrasensitive and broadband photodetection. Adv Mater, 2020, 32(6), 1907527 doi: 10.1002/adma.201907527
|
| [39] |
Wang J, Li J Z, Lan S G, et al. Controllable growth of centimeter-sized 2D perovskite heterostructures for highly narrow dual-band photodetectors. ACS Nano, 2019, 13(5), 5473 doi: 10.1021/acsnano.9b00259
|
| [40] |
Zhou H, Wang H, Ding L. Perovskite nanowire networks for photodetectors. J Semicond, 2021, 42(11), 110202 doi: 10.1088/1674-4926/42/11/110202
|
| [1] |
Sun Y, Sun B, He J B, et al. Compositional and structural engineering of inorganic nanowires toward advanced properties and applications. InfoMat, 2019, 1(4), 496 doi: 10.1002/inf2.12049
|
| [2] |
Hsu C L, Chang S J. Doped ZnO 1D nanostructures: synthesis, properties, and photodetector application. Small, 2014, 10(22), 4562 doi: 10.1002/smll.201401580
|
| [3] |
Peng L, Hu L F, Fang X S. Low-dimensional nanostructure ultraviolet photodetectors. Adv Mater, 2013, 25(37), 5321 doi: 10.1002/adma.201301802
|
| [4] |
Tian W, Lu H, Li L. Nanoscale ultraviolet photodetectors based on onedimensional metal oxide nanostructures. Nano Res, 2015, 8(2), 382 doi: 10.1007/s12274-014-0661-2
|
| [5] |
Wang Z H, Nabet B. Nanowire optoelectronics. Nanophotonics, 2015, 4(4), 491 doi: 10.1515/nanoph-2015-0025
|
| [6] |
Soci C, Zhang A, Bao X Y, et al. Nanowire photodetectors. J Nanosci Nanotechnol, 2010, 10(3), 1430 doi: 10.1166/jnn.2010.2157
|
| [7] |
Yan R X, Gargas D, Yang P D. Nanowire photonics. Nat Photonics, 2009, 3(10), 569 doi: 10.1038/nphoton.2009.184
|
| [8] |
Shen G Z, Chen D. One-dimensional nanostructures for photodetectors. Recent Pat Nanotechnol, 2010, 4(1), 20 doi: 10.2174/187221010790712101
|
| [9] |
Sun Y, Dong T G, Yu L W, et al. Planar growth, integration, and applications of semiconducting nanowires. Adv Mater, 2020, 32(27), 1903945 doi: 10.1002/adma.201903945
|
| [10] |
Meng J P, Li Z. Schottky-contacted nanowire sensors. Adv Mater, 2020, 32(28), 2000130 doi: 10.1002/adma.202000130
|
| [11] |
Ren Z H, Wang P, Zhang K, et al. Short-wave near-infrared polarization sensitive photodetector based on GaSb nanowire. IEEE Electron Device Lett, 2021, 42(4), 549 doi: 10.1109/LED.2021.3061705
|
| [12] |
Li L L, Wang D P, Zhang D, et al. Near-infrared light triggered self-powered mechano-optical communication system using wearable photodetector textile. Adv Funct Mater, 2021, 31(37), 2104782 doi: 10.1002/adfm.202104782
|
| [13] |
Shen G, Chen H, Lou Z. Growth of aligned SnS nanowire arrays for near infrared photodetectors. J Semicond, 2020, 41(4), 042602 doi: 10.1088/1674-4926/41/4/042602
|
| [14] |
Yip S, Shen L, Ho Johnny C. Recent advances in flexible photodetectors based on 1D nanostructures. J Semicond, 2019, 40(11), 111602 doi: 10.1088/1674-4926/40/11/111602
|
| [15] |
Chen S, Lou Z, Chen D, et al. Printable Zn2GeO4 microwires based flexible photodetectors with tunable photoresponses. Adv Mater Technol, 2018, 3(5), 1800050 doi: 10.1002/admt.201800050
|
| [16] |
Lou Z, Li L D, Shen G Z. High-performance rigid and flexible ultraviolet photodetectors with single-crystalline ZnGa2O4 nanowires. Nano Res, 2015, 8(7), 2162 doi: 10.1007/s12274-015-0723-0
|
| [17] |
Ran W H, Wang L L, Zhao S F, et al. An integrated flexible all-nanowire infrared sensing system with record photosensitivity. Adv Mater, 2020, 32(16), 1908419 doi: 10.1002/adma.201908419
|
| [18] |
He X, Jian C Y, Hong W T, et al. Ultralong CH3NH3PbI3 nanowires synthesized by a ligand-assisted reprecipitation strategy for high-performance photodetectors. J Mater Chem C, 2020, 8(22), 7378 doi: 10.1039/D0TC00807A
|
| [19] |
Yuan M, Zhao Y J, Feng J G, et al. Ultrasensitive photodetectors based on strongly interacted layered-perovskite nanowires. ACS Appl Mater Interfaces, 2022, 14(1), 1601 doi: 10.1021/acsami.1c20851
|
| [20] |
Zhao Y J, Qiu Y C, Gao H F, et al. Layered-perovskite nanowires with long-range orientational order for ultrasensitive photodetectors. Adv Mater, 2020, 32(9), 1905298 doi: 10.1002/adma.201905298
|
| [21] |
Zhou J C, Huang J. Photodetectors based on organic-inorganic hybrid lead halide perovskites. Adv Sci, 2018, 5(1), 1700256 doi: 10.1002/advs.201700256
|
| [22] |
Wang H B, Chen H Y, Li L, et al. High responsivity and high rejection ratio of self-powered solar-blind ultraviolet photodetector based on PEDOT: PSS/beta-Ga2O3 organic/inorganic p-n junction. J Phys Chem Lett, 2019, 10(21), 6850 doi: 10.1021/acs.jpclett.9b02793
|
| [23] |
Guan Y W, Zhang C H, Liu Z, et al. Single-crystalline perovskite p-n junction nanowire arrays for ultrasensitive photodetection. Adv Mater, 2022, 34(35), 2203201 doi: 10.1002/adma.202203201
|
| [24] |
Luo J L, Zheng Z, Yan S K, et al. Photocurrent enhanced in UV-vis-NIR photodetector based on CdSe/CdTe core/shell nanowire arrays by piezo-phototronic effect. ACS Photonics, 2020, 7(6), 1461 doi: 10.1021/acsphotonics.0c00122
|
| [25] |
Xiao M Q, Yang H, Shen W F, et al. Symmetry-reduction enhanced polarization-sensitive photodetection in core-shell SbI3/Sb2O3 van der Waals heterostructure. Small, 2020, 16(7), 1907172 doi: 10.1002/smll.201907172
|
| [26] |
Yan Y X, Ran W H, Li Z X, et al. Modify Cd3As2 nanowires with sulfur to fabricate self-powered NIR photodetectors with enhanced performance. Nano Res, 2021, 14(10), 3379 doi: 10.1007/s12274-021-3367-2
|
| [27] |
Chen Y N, Sun Y, Peng J J, et al. 2D Ruddlesden-Popper perovskites for optoelectronics. Adv Mater, 2018, 30(2), 1703487 doi: 10.1002/adma.201703487
|
| [28] |
Ricciardulli A G, Yang S, Smet J H, et al. Emerging perovskite monolayers. Nat Mater, 2021, 20(10), 1325 doi: 10.1038/s41563-021-01029-9
|
| [29] |
Xie C, Liu C K, Loi H L, et al. Perovskite-based phototransistors and hybrid photodetectors. Adv Funct Mater, 2020, 30(20), 1903907 doi: 10.1002/adfm.201903907
|
| [30] |
Xu Y K, Wang M, Lei Y T, et al. Crystallization kinetics in 2D perovskite solar cells. Adv Energy Mater, 2020, 10(43), 2002558 doi: 10.1002/aenm.202002558
|
| [31] |
Hong X, Ishihara T, Nurmikko A V. Dielectric confinement effect on excitons in PbI4-based layered semiconductors. Phys Rev B, 1992, 45(12), 6961 doi: 10.1103/PhysRevB.45.6961
|
| [32] |
Wang W, Zhang D, Liu R, et al. Characterization of interfaces: Lessons from the past for the future of perovskite solar cells. J Semicond, 2022, 43(5), 051202 doi: 10.1088/1674-4926/43/5/051202
|
| [33] |
Zhang D, Qin C, Ding L. Domain controlling and defect passivation for efficient quasi-2D perovskite LEDs. J Semicond, 2022, 43(5), 050201 doi: 10.1088/1674-4926/43/5/050201
|
| [34] |
Mei L, Mu H, Zhu L, et al. Frontier applications of perovskites beyond photovoltaics. J Semicond, 2022, 43(4), 040203 doi: 10.1088/1674-4926/43/4/040203
|
| [35] |
Li J Z, Wang J, Ma J Q, et al. Self-trapped state enabled filterless narrowband photodetections in 2D layered perovskite single crystals. Nat Commun, 2019, 10(1), 806 doi: 10.1038/s41467-019-08768-z
|
| [36] |
Jiang J Y, Zou X M, Lv Y W, et al. Rational design of Al2O3/2D perovskite heterostructure dielectric for high performance MoS2 phototransistors. Nat Commun, 2020, 11(1), 4266 doi: 10.1038/s41467-020-18100-9
|
| [37] |
Liu C K, Loi H L, Cao J P, et al. High-performance quasi-2D perovskite/single-walled carbon nanotube phototransistors for low-cost and sensitive broadband photodetection. Small Struct, 2021, 2(2), 2000084 doi: 10.1002/sstr.202000084
|
| [38] |
Wei S L, Wang F, Zou X M, et al. Flexible quasi-2D perovskite/IGZO phototransistors for ultrasensitive and broadband photodetection. Adv Mater, 2020, 32(6), 1907527 doi: 10.1002/adma.201907527
|
| [39] |
Wang J, Li J Z, Lan S G, et al. Controllable growth of centimeter-sized 2D perovskite heterostructures for highly narrow dual-band photodetectors. ACS Nano, 2019, 13(5), 5473 doi: 10.1021/acsnano.9b00259
|
| [40] |
Zhou H, Wang H, Ding L. Perovskite nanowire networks for photodetectors. J Semicond, 2021, 42(11), 110202 doi: 10.1088/1674-4926/42/11/110202
|
Article views: 2470 Times PDF downloads: 117 Times Cited by: 0 Times
Received: 07 February 2023 Revised: 27 February 2023 Online: Accepted Manuscript: 08 April 2023Uncorrected proof: 18 April 2023Corrected proof: 14 July 2023Published: 10 August 2023
| Citation: |
Yongxu Yan, Zhexin Li, Zheng Lou. Photodetector based on Ruddlesden-Popper perovskite microwires with broader band detection[J]. Journal of Semiconductors, 2023, 44(8): 082201. doi: 10.1088/1674-4926/44/8/082201
****
Y X Yan, Z X Li, Z Lou. Photodetector based on Ruddlesden-Popper perovskite microwires with broader band detection[J]. J. Semicond, 2023, 44(8): 082201. doi: 10.1088/1674-4926/44/8/082201
|
Yongxu Yan:received his B.S. degree from University of Chinese Academy of Sciences in 2018. He is now a Ph.D. student at the Institute of Semiconductors, Chinese Academy of Sciences. His research focuses on image sensors based on low-dimensional materials
Zhexin Li:received his B.S. degree from Northwestern Polytechnical University in 2019. He is now a Ph.D. student at the Institute of Semiconductors, Chinese Academy of Sciences. His research focuses on TMD-based transistors and photodetectors for visual image information security
Zheng Lou:is a professor at the Institute of Semiconductors, Chinese Academy of Sciences. He received his B.S. degree (2009) and his Ph.D. degree (2014) from Jilin University. His current research focuses on semiconductor photodetectors
| [1] |
Sun Y, Sun B, He J B, et al. Compositional and structural engineering of inorganic nanowires toward advanced properties and applications. InfoMat, 2019, 1(4), 496 doi: 10.1002/inf2.12049
|
| [2] |
Hsu C L, Chang S J. Doped ZnO 1D nanostructures: synthesis, properties, and photodetector application. Small, 2014, 10(22), 4562 doi: 10.1002/smll.201401580
|
| [3] |
Peng L, Hu L F, Fang X S. Low-dimensional nanostructure ultraviolet photodetectors. Adv Mater, 2013, 25(37), 5321 doi: 10.1002/adma.201301802
|
| [4] |
Tian W, Lu H, Li L. Nanoscale ultraviolet photodetectors based on onedimensional metal oxide nanostructures. Nano Res, 2015, 8(2), 382 doi: 10.1007/s12274-014-0661-2
|
| [5] |
Wang Z H, Nabet B. Nanowire optoelectronics. Nanophotonics, 2015, 4(4), 491 doi: 10.1515/nanoph-2015-0025
|
| [6] |
Soci C, Zhang A, Bao X Y, et al. Nanowire photodetectors. J Nanosci Nanotechnol, 2010, 10(3), 1430 doi: 10.1166/jnn.2010.2157
|
| [7] |
Yan R X, Gargas D, Yang P D. Nanowire photonics. Nat Photonics, 2009, 3(10), 569 doi: 10.1038/nphoton.2009.184
|
| [8] |
Shen G Z, Chen D. One-dimensional nanostructures for photodetectors. Recent Pat Nanotechnol, 2010, 4(1), 20 doi: 10.2174/187221010790712101
|
| [9] |
Sun Y, Dong T G, Yu L W, et al. Planar growth, integration, and applications of semiconducting nanowires. Adv Mater, 2020, 32(27), 1903945 doi: 10.1002/adma.201903945
|
| [10] |
Meng J P, Li Z. Schottky-contacted nanowire sensors. Adv Mater, 2020, 32(28), 2000130 doi: 10.1002/adma.202000130
|
| [11] |
Ren Z H, Wang P, Zhang K, et al. Short-wave near-infrared polarization sensitive photodetector based on GaSb nanowire. IEEE Electron Device Lett, 2021, 42(4), 549 doi: 10.1109/LED.2021.3061705
|
| [12] |
Li L L, Wang D P, Zhang D, et al. Near-infrared light triggered self-powered mechano-optical communication system using wearable photodetector textile. Adv Funct Mater, 2021, 31(37), 2104782 doi: 10.1002/adfm.202104782
|
| [13] |
Shen G, Chen H, Lou Z. Growth of aligned SnS nanowire arrays for near infrared photodetectors. J Semicond, 2020, 41(4), 042602 doi: 10.1088/1674-4926/41/4/042602
|
| [14] |
Yip S, Shen L, Ho Johnny C. Recent advances in flexible photodetectors based on 1D nanostructures. J Semicond, 2019, 40(11), 111602 doi: 10.1088/1674-4926/40/11/111602
|
| [15] |
Chen S, Lou Z, Chen D, et al. Printable Zn2GeO4 microwires based flexible photodetectors with tunable photoresponses. Adv Mater Technol, 2018, 3(5), 1800050 doi: 10.1002/admt.201800050
|
| [16] |
Lou Z, Li L D, Shen G Z. High-performance rigid and flexible ultraviolet photodetectors with single-crystalline ZnGa2O4 nanowires. Nano Res, 2015, 8(7), 2162 doi: 10.1007/s12274-015-0723-0
|
| [17] |
Ran W H, Wang L L, Zhao S F, et al. An integrated flexible all-nanowire infrared sensing system with record photosensitivity. Adv Mater, 2020, 32(16), 1908419 doi: 10.1002/adma.201908419
|
| [18] |
He X, Jian C Y, Hong W T, et al. Ultralong CH3NH3PbI3 nanowires synthesized by a ligand-assisted reprecipitation strategy for high-performance photodetectors. J Mater Chem C, 2020, 8(22), 7378 doi: 10.1039/D0TC00807A
|
| [19] |
Yuan M, Zhao Y J, Feng J G, et al. Ultrasensitive photodetectors based on strongly interacted layered-perovskite nanowires. ACS Appl Mater Interfaces, 2022, 14(1), 1601 doi: 10.1021/acsami.1c20851
|
| [20] |
Zhao Y J, Qiu Y C, Gao H F, et al. Layered-perovskite nanowires with long-range orientational order for ultrasensitive photodetectors. Adv Mater, 2020, 32(9), 1905298 doi: 10.1002/adma.201905298
|
| [21] |
Zhou J C, Huang J. Photodetectors based on organic-inorganic hybrid lead halide perovskites. Adv Sci, 2018, 5(1), 1700256 doi: 10.1002/advs.201700256
|
| [22] |
Wang H B, Chen H Y, Li L, et al. High responsivity and high rejection ratio of self-powered solar-blind ultraviolet photodetector based on PEDOT: PSS/beta-Ga2O3 organic/inorganic p-n junction. J Phys Chem Lett, 2019, 10(21), 6850 doi: 10.1021/acs.jpclett.9b02793
|
| [23] |
Guan Y W, Zhang C H, Liu Z, et al. Single-crystalline perovskite p-n junction nanowire arrays for ultrasensitive photodetection. Adv Mater, 2022, 34(35), 2203201 doi: 10.1002/adma.202203201
|
| [24] |
Luo J L, Zheng Z, Yan S K, et al. Photocurrent enhanced in UV-vis-NIR photodetector based on CdSe/CdTe core/shell nanowire arrays by piezo-phototronic effect. ACS Photonics, 2020, 7(6), 1461 doi: 10.1021/acsphotonics.0c00122
|
| [25] |
Xiao M Q, Yang H, Shen W F, et al. Symmetry-reduction enhanced polarization-sensitive photodetection in core-shell SbI3/Sb2O3 van der Waals heterostructure. Small, 2020, 16(7), 1907172 doi: 10.1002/smll.201907172
|
| [26] |
Yan Y X, Ran W H, Li Z X, et al. Modify Cd3As2 nanowires with sulfur to fabricate self-powered NIR photodetectors with enhanced performance. Nano Res, 2021, 14(10), 3379 doi: 10.1007/s12274-021-3367-2
|
| [27] |
Chen Y N, Sun Y, Peng J J, et al. 2D Ruddlesden-Popper perovskites for optoelectronics. Adv Mater, 2018, 30(2), 1703487 doi: 10.1002/adma.201703487
|
| [28] |
Ricciardulli A G, Yang S, Smet J H, et al. Emerging perovskite monolayers. Nat Mater, 2021, 20(10), 1325 doi: 10.1038/s41563-021-01029-9
|
| [29] |
Xie C, Liu C K, Loi H L, et al. Perovskite-based phototransistors and hybrid photodetectors. Adv Funct Mater, 2020, 30(20), 1903907 doi: 10.1002/adfm.201903907
|
| [30] |
Xu Y K, Wang M, Lei Y T, et al. Crystallization kinetics in 2D perovskite solar cells. Adv Energy Mater, 2020, 10(43), 2002558 doi: 10.1002/aenm.202002558
|
| [31] |
Hong X, Ishihara T, Nurmikko A V. Dielectric confinement effect on excitons in PbI4-based layered semiconductors. Phys Rev B, 1992, 45(12), 6961 doi: 10.1103/PhysRevB.45.6961
|
| [32] |
Wang W, Zhang D, Liu R, et al. Characterization of interfaces: Lessons from the past for the future of perovskite solar cells. J Semicond, 2022, 43(5), 051202 doi: 10.1088/1674-4926/43/5/051202
|
| [33] |
Zhang D, Qin C, Ding L. Domain controlling and defect passivation for efficient quasi-2D perovskite LEDs. J Semicond, 2022, 43(5), 050201 doi: 10.1088/1674-4926/43/5/050201
|
| [34] |
Mei L, Mu H, Zhu L, et al. Frontier applications of perovskites beyond photovoltaics. J Semicond, 2022, 43(4), 040203 doi: 10.1088/1674-4926/43/4/040203
|
| [35] |
Li J Z, Wang J, Ma J Q, et al. Self-trapped state enabled filterless narrowband photodetections in 2D layered perovskite single crystals. Nat Commun, 2019, 10(1), 806 doi: 10.1038/s41467-019-08768-z
|
| [36] |
Jiang J Y, Zou X M, Lv Y W, et al. Rational design of Al2O3/2D perovskite heterostructure dielectric for high performance MoS2 phototransistors. Nat Commun, 2020, 11(1), 4266 doi: 10.1038/s41467-020-18100-9
|
| [37] |
Liu C K, Loi H L, Cao J P, et al. High-performance quasi-2D perovskite/single-walled carbon nanotube phototransistors for low-cost and sensitive broadband photodetection. Small Struct, 2021, 2(2), 2000084 doi: 10.1002/sstr.202000084
|
| [38] |
Wei S L, Wang F, Zou X M, et al. Flexible quasi-2D perovskite/IGZO phototransistors for ultrasensitive and broadband photodetection. Adv Mater, 2020, 32(6), 1907527 doi: 10.1002/adma.201907527
|
| [39] |
Wang J, Li J Z, Lan S G, et al. Controllable growth of centimeter-sized 2D perovskite heterostructures for highly narrow dual-band photodetectors. ACS Nano, 2019, 13(5), 5473 doi: 10.1021/acsnano.9b00259
|
| [40] |
Zhou H, Wang H, Ding L. Perovskite nanowire networks for photodetectors. J Semicond, 2021, 42(11), 110202 doi: 10.1088/1674-4926/42/11/110202
|
Journal of Semiconductors © 2017 All Rights Reserved 京ICP備05085259號-2