ARTICLES
Shaolong Yan1, 2, Jianliang Huang1, 2, , Ting Xue1, 2, Yanhua Zhang1, 2 and Wenquan Ma1, 2,
Corresponding author: Jianliang Huang, jlhuang@semi.ac.cn; Wenquan Ma, wqma@semi.ac.cn
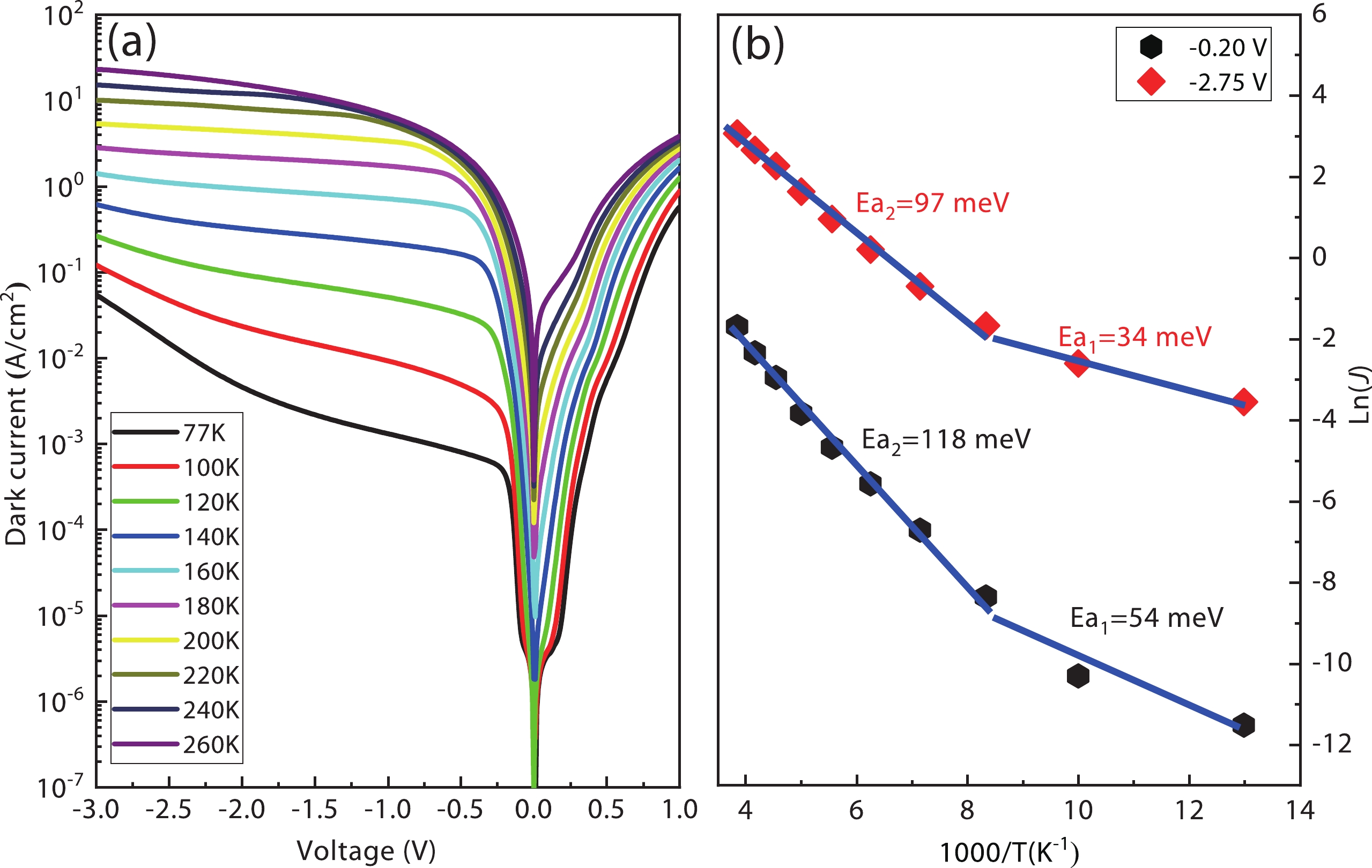
Abstract: We report on a long wavelength interband cascade photodetector with type II InAs/GaSb superlattice absorber. The device is a three-stage interband cascade structure. At 77 K, the 50% cutoff wavelength of the detector is 8.48 μm and the peak photoresponse wavelength is 7.78 μm. The peak responsivity is 0.93 A/W and the detectivity D* is 1.12 × 1011 cm·Hz0.5/W for 7.78 μm at –0.20 V. The detector can operate up to about 260 K. At 260 K, the 50% cutoff wavelength is 11.52 μm, the peak responsivity is 0.78 A/W and the D* is 5.02 × 108 cm·Hz0.5/W for the peak wavelength of 10.39 μm at –2.75 V. The dark current of the device is dominated by the diffusion current under both a small bias voltage of –0.2 V and a large one of –2.75 V for the temperature range of 120 to 260 K.
Key words: interband cascade infrared photodetector, type II superlattices, long wavelength
| [1] |
Zhang Y H, Ma W Q, Cao Y L, et al. Long wavelength infrared InAs/GaSb superlattice photodetectors with InSb-like and mixed interfaces. IEEE J Quantum Electron, 2011, 47, 1475 doi: 10.1109/JQE.2011.2168947
|
| [2] |
Müller R, Gramich V, Wauro M, et al. High operating temperature InAs/GaSb type-II superlattice detectors on GaAs substrate for the long wavelength infrared. Infrared Phys Technol, 2019, 96, 141 doi: 10.1016/j.infrared.2018.10.019
|
| [3] |
Haddadi A, Ramezani-Darvish S, Chen G X, et al. High operability 1024 × 1024 long wavelength type-II superlattice focal plane array. IEEE J Quantum Electron, 2012, 48, 221 doi: 10.1109/JQE.2011.2175903
|
| [4] |
Maimon S, Wicks G W. nBn detector, an infrared detector with reduced dark current and higher operating temperature. Appl Phys Lett, 2006, 89, 151109 doi: 10.1063/1.2360235
|
| [5] |
Haddadi A, Chen G, Chevallier R, et al. InAs/InAs1?xSbx type-II superlattices for high performance long wavelength infrared detection. Appl Phys Lett, 2014, 105, 121104 doi: 10.1063/1.4896271
|
| [6] |
Khoshakhlagh A, Myers S, Kim H, et al. Long-wave InAs/GaSb superlattice detectors based on nBn and pin designs. IEEE J Quantum Electron, 2010, 46, 959 doi: 10.1109/JQE.2010.2041635
|
| [7] |
Treider L A, Morath C P, Cowan V M, et al. Radiometric characterization of an LWIR, type-II strained layer superlattice pBiBn photodetector. Infrared Phys Technol, 2015, 70, 70 doi: 10.1016/j.infrared.2014.09.043
|
| [8] |
Ting D Z Y, Hill C J, Soibel A, et al. A high-performance long wavelength superlattice complementary barrier infrared detector. Appl Phys Lett, 2009, 95, 023508 doi: 10.1063/1.3177333
|
| [9] |
Nguyen B M, Hoffman D, Delaunay P Y, et al. Dark Current suppression in type II InAs∕GaSb superlattice long wavelength infrared photodiodes with M-structure barrier. Appl Phys Lett, 2007, 91, 163511 doi: 10.1063/1.2800808
|
| [10] |
Meyer J R, Vurgaftman I, Yang R Q, et al. Type-II and type-I interband cascade lasers. Electron Lett, 1996, 32, 45 doi: 10.1049/el:19960064
|
| [11] |
Zhou Y, Chai X L, Tian Y, et al. Higher performance long wavelength interband cascade photodetector compared with a PBπBN device. Appl Phys Lett, 2019, 115, 083504 doi: 10.1063/1.5089807
|
| [12] |
Lei L, Li L, Ye H, et al. Long wavelength interband cascade infrared photodetectors operating at high temperatures. J Appl Phys, 2016, 120, 193102 doi: 10.1063/1.4967915
|
| [13] |
Tian Z, Hinkey R T, Yang R Q, et al. Interband cascade infrared photodetectors with enhanced electron barriers and p-type superlattice absorbers. J Appl Phys, 2012, 111, 024510 doi: 10.1063/1.3678003
|
| [14] |
Yang R Q, Tian Z B, Cai Z H, et al. Interband-cascade infrared photodetectors with superlattice absorbers. J Appl Phys, 2010, 107, 054514 doi: 10.1063/1.3327415
|
| [15] |
Ye H, Li L, Lotfi H, et al. Molecular beam epitaxy of interband cascade structures with InAs/GaSb superlattice absorbers for long-wavelength infrared detection. Semicond Sci Technol, 2015, 30, 105029 doi: 10.1088/0268-1242/30/10/105029
|
| [16] |
Yang R Q, Hinkey R T. Ultimate detectivity of multiple-stage interband cascade infrared photodetectors. Appl Phys Lett, 2021, 118, 241101 doi: 10.1063/5.0054234
|
| [17] |
Lotfi H, Li L, Lei L, et al. High-frequency operation of a mid-infrared interband cascade system at room temperature. Appl Phys Lett, 2016, 108, 201101 doi: 10.1063/1.4950700
|
| [18] |
Chen Y J, Chai X L, Xie Z Y, et al. High-speed mid-infrared interband cascade photodetector based on InAs/GaAsSb type-II superlattice. J Light Technol, 2020, 38, 939 doi: 10.1109/JLT.2019.2950607
|
| [19] |
Chen B L. Equivalent circuit model of the RF characteristics of multi-stage infrared photodetectors. J Lightwave Technol, 2022, 40, 5224 doi: 10.1109/JLT.2022.3171812
|
| [20] |
Ker P J, Marshall A R J, Krysa A B, et al. Temperature dependence of leakage current in InAs avalanche photodiodes. IEEE J Quantum Electron, 2011, 47, 1123 doi: 10.1109/JQE.2011.2159194
|
| [21] |
Yang Q K, Fuchs F, Schmitz J, et al. Investigation of trap-assisted tunneling current in InAs/(GaIn)Sb superlattice long-wavelength photodiodes. Appl Phys Lett, 2002, 81, 4757 doi: 10.1063/1.1529306
|
| [22] |
Zhou Y, Chen J X, Xu Z C, et al. High quantum efficiency mid-wavelength interband cascade infrared photodetectors with one and two stages. Semicond Sci Technol, 2016, 31, 085005 doi: 10.1088/0268-1242/31/8/085005
|
| [23] |
Yang R Q. Shot and Johnson noises in interband cascade infrared photodetectors. Appl Phys Lett, 2022, 121, 051105 doi: 10.1063/5.0103661
|
| [1] |
Zhang Y H, Ma W Q, Cao Y L, et al. Long wavelength infrared InAs/GaSb superlattice photodetectors with InSb-like and mixed interfaces. IEEE J Quantum Electron, 2011, 47, 1475 doi: 10.1109/JQE.2011.2168947
|
| [2] |
Müller R, Gramich V, Wauro M, et al. High operating temperature InAs/GaSb type-II superlattice detectors on GaAs substrate for the long wavelength infrared. Infrared Phys Technol, 2019, 96, 141 doi: 10.1016/j.infrared.2018.10.019
|
| [3] |
Haddadi A, Ramezani-Darvish S, Chen G X, et al. High operability 1024 × 1024 long wavelength type-II superlattice focal plane array. IEEE J Quantum Electron, 2012, 48, 221 doi: 10.1109/JQE.2011.2175903
|
| [4] |
Maimon S, Wicks G W. nBn detector, an infrared detector with reduced dark current and higher operating temperature. Appl Phys Lett, 2006, 89, 151109 doi: 10.1063/1.2360235
|
| [5] |
Haddadi A, Chen G, Chevallier R, et al. InAs/InAs1?xSbx type-II superlattices for high performance long wavelength infrared detection. Appl Phys Lett, 2014, 105, 121104 doi: 10.1063/1.4896271
|
| [6] |
Khoshakhlagh A, Myers S, Kim H, et al. Long-wave InAs/GaSb superlattice detectors based on nBn and pin designs. IEEE J Quantum Electron, 2010, 46, 959 doi: 10.1109/JQE.2010.2041635
|
| [7] |
Treider L A, Morath C P, Cowan V M, et al. Radiometric characterization of an LWIR, type-II strained layer superlattice pBiBn photodetector. Infrared Phys Technol, 2015, 70, 70 doi: 10.1016/j.infrared.2014.09.043
|
| [8] |
Ting D Z Y, Hill C J, Soibel A, et al. A high-performance long wavelength superlattice complementary barrier infrared detector. Appl Phys Lett, 2009, 95, 023508 doi: 10.1063/1.3177333
|
| [9] |
Nguyen B M, Hoffman D, Delaunay P Y, et al. Dark Current suppression in type II InAs∕GaSb superlattice long wavelength infrared photodiodes with M-structure barrier. Appl Phys Lett, 2007, 91, 163511 doi: 10.1063/1.2800808
|
| [10] |
Meyer J R, Vurgaftman I, Yang R Q, et al. Type-II and type-I interband cascade lasers. Electron Lett, 1996, 32, 45 doi: 10.1049/el:19960064
|
| [11] |
Zhou Y, Chai X L, Tian Y, et al. Higher performance long wavelength interband cascade photodetector compared with a PBπBN device. Appl Phys Lett, 2019, 115, 083504 doi: 10.1063/1.5089807
|
| [12] |
Lei L, Li L, Ye H, et al. Long wavelength interband cascade infrared photodetectors operating at high temperatures. J Appl Phys, 2016, 120, 193102 doi: 10.1063/1.4967915
|
| [13] |
Tian Z, Hinkey R T, Yang R Q, et al. Interband cascade infrared photodetectors with enhanced electron barriers and p-type superlattice absorbers. J Appl Phys, 2012, 111, 024510 doi: 10.1063/1.3678003
|
| [14] |
Yang R Q, Tian Z B, Cai Z H, et al. Interband-cascade infrared photodetectors with superlattice absorbers. J Appl Phys, 2010, 107, 054514 doi: 10.1063/1.3327415
|
| [15] |
Ye H, Li L, Lotfi H, et al. Molecular beam epitaxy of interband cascade structures with InAs/GaSb superlattice absorbers for long-wavelength infrared detection. Semicond Sci Technol, 2015, 30, 105029 doi: 10.1088/0268-1242/30/10/105029
|
| [16] |
Yang R Q, Hinkey R T. Ultimate detectivity of multiple-stage interband cascade infrared photodetectors. Appl Phys Lett, 2021, 118, 241101 doi: 10.1063/5.0054234
|
| [17] |
Lotfi H, Li L, Lei L, et al. High-frequency operation of a mid-infrared interband cascade system at room temperature. Appl Phys Lett, 2016, 108, 201101 doi: 10.1063/1.4950700
|
| [18] |
Chen Y J, Chai X L, Xie Z Y, et al. High-speed mid-infrared interband cascade photodetector based on InAs/GaAsSb type-II superlattice. J Light Technol, 2020, 38, 939 doi: 10.1109/JLT.2019.2950607
|
| [19] |
Chen B L. Equivalent circuit model of the RF characteristics of multi-stage infrared photodetectors. J Lightwave Technol, 2022, 40, 5224 doi: 10.1109/JLT.2022.3171812
|
| [20] |
Ker P J, Marshall A R J, Krysa A B, et al. Temperature dependence of leakage current in InAs avalanche photodiodes. IEEE J Quantum Electron, 2011, 47, 1123 doi: 10.1109/JQE.2011.2159194
|
| [21] |
Yang Q K, Fuchs F, Schmitz J, et al. Investigation of trap-assisted tunneling current in InAs/(GaIn)Sb superlattice long-wavelength photodiodes. Appl Phys Lett, 2002, 81, 4757 doi: 10.1063/1.1529306
|
| [22] |
Zhou Y, Chen J X, Xu Z C, et al. High quantum efficiency mid-wavelength interband cascade infrared photodetectors with one and two stages. Semicond Sci Technol, 2016, 31, 085005 doi: 10.1088/0268-1242/31/8/085005
|
| [23] |
Yang R Q. Shot and Johnson noises in interband cascade infrared photodetectors. Appl Phys Lett, 2022, 121, 051105 doi: 10.1063/5.0103661
|
Article views: 1687 Times PDF downloads: 118 Times Cited by: 0 Times
Received: 19 October 2022 Revised: 05 December 2022 Online: Accepted Manuscript: 12 December 2022Uncorrected proof: 12 December 2022Published: 10 April 2023
| Citation: |
Shaolong Yan, Jianliang Huang, Ting Xue, Yanhua Zhang, Wenquan Ma. Long wavelength interband cascade photodetector with type II InAs/GaSb superlattice absorber[J]. Journal of Semiconductors, 2023, 44(4): 042301. doi: 10.1088/1674-4926/44/4/042301
****
S L Yan, J L Huang, T Xue, Y H Zhang, W Q Ma. Long wavelength interband cascade photodetector with type II InAs/GaSb superlattice absorber[J]. J. Semicond, 2023, 44(4): 042301. doi: 10.1088/1674-4926/44/4/042301
|
Shaolong Yan:received his B.Sc. degree from the University of Chinese Academy of Sciences, Beijing, China, in 2018, He is currently pursuing the Ph.D. degree with the Institute of Semiconductors, Chinese Academy of Sciences, Beijing, China. His current research interests include design and fabrication of type II superlattice infrared photodetectors
Jianliang Huang:received his B.Sc. degree from the Beijing University of Posts and Telecommunications, Beijing, in 2007 and the Ph.D. degree from the Institute of Semiconductors, Chinese Academy of Sciences, Beijing, in 2012. His current research interests include MBE growth and characterization, and fabrication of type II superlattice infrared photodetectors and lasers
Wenquan Ma:received his Ph.D. degree from Humboldt University of Berlin, Germany. He is working as a professor at the Institute of Semiconductors, Chinese Academy of Sciences, Beijing, China. His current research interests include antimonide type II superlattice infrared photodetectors and optoelectronic materials and devices
| [1] |
Zhang Y H, Ma W Q, Cao Y L, et al. Long wavelength infrared InAs/GaSb superlattice photodetectors with InSb-like and mixed interfaces. IEEE J Quantum Electron, 2011, 47, 1475 doi: 10.1109/JQE.2011.2168947
|
| [2] |
Müller R, Gramich V, Wauro M, et al. High operating temperature InAs/GaSb type-II superlattice detectors on GaAs substrate for the long wavelength infrared. Infrared Phys Technol, 2019, 96, 141 doi: 10.1016/j.infrared.2018.10.019
|
| [3] |
Haddadi A, Ramezani-Darvish S, Chen G X, et al. High operability 1024 × 1024 long wavelength type-II superlattice focal plane array. IEEE J Quantum Electron, 2012, 48, 221 doi: 10.1109/JQE.2011.2175903
|
| [4] |
Maimon S, Wicks G W. nBn detector, an infrared detector with reduced dark current and higher operating temperature. Appl Phys Lett, 2006, 89, 151109 doi: 10.1063/1.2360235
|
| [5] |
Haddadi A, Chen G, Chevallier R, et al. InAs/InAs1?xSbx type-II superlattices for high performance long wavelength infrared detection. Appl Phys Lett, 2014, 105, 121104 doi: 10.1063/1.4896271
|
| [6] |
Khoshakhlagh A, Myers S, Kim H, et al. Long-wave InAs/GaSb superlattice detectors based on nBn and pin designs. IEEE J Quantum Electron, 2010, 46, 959 doi: 10.1109/JQE.2010.2041635
|
| [7] |
Treider L A, Morath C P, Cowan V M, et al. Radiometric characterization of an LWIR, type-II strained layer superlattice pBiBn photodetector. Infrared Phys Technol, 2015, 70, 70 doi: 10.1016/j.infrared.2014.09.043
|
| [8] |
Ting D Z Y, Hill C J, Soibel A, et al. A high-performance long wavelength superlattice complementary barrier infrared detector. Appl Phys Lett, 2009, 95, 023508 doi: 10.1063/1.3177333
|
| [9] |
Nguyen B M, Hoffman D, Delaunay P Y, et al. Dark Current suppression in type II InAs∕GaSb superlattice long wavelength infrared photodiodes with M-structure barrier. Appl Phys Lett, 2007, 91, 163511 doi: 10.1063/1.2800808
|
| [10] |
Meyer J R, Vurgaftman I, Yang R Q, et al. Type-II and type-I interband cascade lasers. Electron Lett, 1996, 32, 45 doi: 10.1049/el:19960064
|
| [11] |
Zhou Y, Chai X L, Tian Y, et al. Higher performance long wavelength interband cascade photodetector compared with a PBπBN device. Appl Phys Lett, 2019, 115, 083504 doi: 10.1063/1.5089807
|
| [12] |
Lei L, Li L, Ye H, et al. Long wavelength interband cascade infrared photodetectors operating at high temperatures. J Appl Phys, 2016, 120, 193102 doi: 10.1063/1.4967915
|
| [13] |
Tian Z, Hinkey R T, Yang R Q, et al. Interband cascade infrared photodetectors with enhanced electron barriers and p-type superlattice absorbers. J Appl Phys, 2012, 111, 024510 doi: 10.1063/1.3678003
|
| [14] |
Yang R Q, Tian Z B, Cai Z H, et al. Interband-cascade infrared photodetectors with superlattice absorbers. J Appl Phys, 2010, 107, 054514 doi: 10.1063/1.3327415
|
| [15] |
Ye H, Li L, Lotfi H, et al. Molecular beam epitaxy of interband cascade structures with InAs/GaSb superlattice absorbers for long-wavelength infrared detection. Semicond Sci Technol, 2015, 30, 105029 doi: 10.1088/0268-1242/30/10/105029
|
| [16] |
Yang R Q, Hinkey R T. Ultimate detectivity of multiple-stage interband cascade infrared photodetectors. Appl Phys Lett, 2021, 118, 241101 doi: 10.1063/5.0054234
|
| [17] |
Lotfi H, Li L, Lei L, et al. High-frequency operation of a mid-infrared interband cascade system at room temperature. Appl Phys Lett, 2016, 108, 201101 doi: 10.1063/1.4950700
|
| [18] |
Chen Y J, Chai X L, Xie Z Y, et al. High-speed mid-infrared interband cascade photodetector based on InAs/GaAsSb type-II superlattice. J Light Technol, 2020, 38, 939 doi: 10.1109/JLT.2019.2950607
|
| [19] |
Chen B L. Equivalent circuit model of the RF characteristics of multi-stage infrared photodetectors. J Lightwave Technol, 2022, 40, 5224 doi: 10.1109/JLT.2022.3171812
|
| [20] |
Ker P J, Marshall A R J, Krysa A B, et al. Temperature dependence of leakage current in InAs avalanche photodiodes. IEEE J Quantum Electron, 2011, 47, 1123 doi: 10.1109/JQE.2011.2159194
|
| [21] |
Yang Q K, Fuchs F, Schmitz J, et al. Investigation of trap-assisted tunneling current in InAs/(GaIn)Sb superlattice long-wavelength photodiodes. Appl Phys Lett, 2002, 81, 4757 doi: 10.1063/1.1529306
|
| [22] |
Zhou Y, Chen J X, Xu Z C, et al. High quantum efficiency mid-wavelength interband cascade infrared photodetectors with one and two stages. Semicond Sci Technol, 2016, 31, 085005 doi: 10.1088/0268-1242/31/8/085005
|
| [23] |
Yang R Q. Shot and Johnson noises in interband cascade infrared photodetectors. Appl Phys Lett, 2022, 121, 051105 doi: 10.1063/5.0103661
|
Journal of Semiconductors © 2017 All Rights Reserved 京ICP備05085259號(hào)-2