ARTICLES
Hemraj Dahiya1, Anupam Agrawal2, Ganesh D. Sharma1 and Abhishek Kumar Singh3,
Corresponding author: Abhishek Kumar Singh, aks@rgipt.ac.in
Abstract: This article demonstrates the fabrication of organic-based devices using a low-cost solution-processable technique. A blended heterojunction of chlorine substituted 2D-conjugated polymer PBDB-T-2Cl, and PC71BM supported nanocapsules hydrate vanadium penta oxides (HVO) as hole transport layer (HTL) based photodetector fabricated on an ITO coated glass substrate under ambient condition. The device forms an excellent organic junction diode with a good rectification ratio of ~200. The device has also shown excellent photodetection properties under photoconductive mode (at reverse bias) and zero bias for green light wavelength. A very high responsivity of ~6500 mA/W and high external quantum efficiency (EQE) of 1400% have been reported in the article. The proposed organic photodetector exhibits an excellent response and recovery time of ~30 and ~40 ms, respectively.
Key words: self-powered detector, green light sensor, HVO, PBDB-T-2Cl detector, processable solution sensor
| [1] |
Gao Z, Jahed N M S, Sivoththaman S. Large area self-powered Al-ZnO/(n)Si hetero-junction photodetectors with high responsivity. IEEE Photonics Technol Lett, 2017, 29, 1171 doi: 10.1109/LPT.2017.2711485
|
| [2] |
Zhang X, Yang S, Zhou H, et al. Perovskite-erbium silicate nanosheet hybrid waveguide photodetectors at the near-infrared telecommunication band. Adv Mater, 2017, 29, 1604431 doi: 10.1002/adma.201604431
|
| [3] |
Upadhyay R K, Singh A P, Upadhyay D, et al. BiFeO3/CH3NH3PbI3 perovskite heterojunction based near-infrared photodetector. IEEE Electron Device Lett, 2019, 40, 1961 doi: 10.1109/LED.2019.2948206
|
| [4] |
Tittl A, Michel A K U, Sch?ferling M, et al. A switchable mid-infrared plasmonic perfect absorber with multispectral thermal imaging capability. Adv Mater, 2015, 27, 4597 doi: 10.1002/adma.201502023
|
| [5] |
Büchele P, Richter M, Tedde S F, et al. X-ray imaging with scintillator-sensitized hybrid organic photodetectors. Nat Photonics, 2015, 9, 843 doi: 10.1038/nphoton.2015.216
|
| [6] |
Kelley S O, Mirkin C A, Walt D R, et al. Advancing the speed, sensitivity and accuracy of biomolecular detection using multi-length-scale engineering. Nat Nanotechnol, 2014, 9, 969 doi: 10.1038/nnano.2014.261
|
| [7] |
Qian L, Sun Y L, Wu M M, et al. A lead-free two-dimensional perovskite for a high-performance flexible photoconductor and a light-stimulated synaptic device. Nanoscale, 2018, 10, 6837 doi: 10.1039/C8NR00914G
|
| [8] |
Koppens F H L, Mueller T, Avouris P, et al. Photodetectors based on graphene, other two-dimensional materials and hybrid systems. Nat Nanotechnol, 2014, 9, 780 doi: 10.1038/nnano.2014.215
|
| [9] |
Qu Y R, Li Q, Du K K, et al. Dynamic thermal emission control based on ultrathin plasmonic metamaterials including phase-changing material GST. Laser Photonics Rev, 2017, 11, 1770052 doi: 10.1002/lpor.201770052
|
| [10] |
Zhao Q Y, Zhu D, Calandri N, et al. Single-photon imager based on a superconducting nanowire delay line. Nat Photonics, 2017, 11, 247 doi: 10.1038/nphoton.2017.35
|
| [11] |
Geum D M, Kim S K, Lee S B, et al. Monolithic 3D integration of InGaAs photodetectors on Si MOSFETs using sequential fabrication process. IEEE Electron Device Lett, 2020, 41, 433 doi: 10.1109/LED.2020.2966986
|
| [12] |
Cao G Q, Wang F, Peng M, et al. Multicolor broadband and fast photodetector based on InGaAs-insulator-graphene hybrid heterostructure. Adv Electron Mater, 2020, 6, 1901007 doi: 10.1002/aelm.201901007
|
| [13] |
Zhai T Y, Li L, Ma Y, et al. One-dimensional inorganic nanostructures: Synthesis, field-emission and photodetection. Chem Soc Rev, 2011, 40, 2986 doi: 10.1039/c0cs00126k
|
| [14] |
Hsu S H. Reflectively coupled waveguide photodetector for high speed optical interconnection. Sensors, 2010, 10, 10863 doi: 10.3390/s101210863
|
| [15] |
Casalino M, Coppola G, de la Rue R M, et al. State-of-the-art all-silicon sub-bandgap photodetectors at telecom and datacom wavelengths. Laser Photonics Rev, 2016, 10, 895 doi: 10.1002/lpor.201600065
|
| [16] |
Yu Y Q, Li Z, Lu Z J, et al. Graphene/MoS2/Si nanowires Schottky-NP bipolar van der Waals heterojunction for ultrafast photodetectors. IEEE Electron Device Lett, 2018, 39, 1688 doi: 10.1109/LED.2018.2872107
|
| [17] |
Pyo S, Kim W, Jung H I, et al. Photodetectors: Heterogeneous integration of carbon-nanotube-graphene for high-performance, flexible, and transparent photodetectors. Small, 2017, 13, 1700918 doi: 10.1002/smll.201700918
|
| [18] |
Dyson M J, Verhage M, Ma X, et al. Color determination from a single broadband organic photodiode. Adv Optical Mater, 2020, 8, 1901722 doi: 10.1002/adom.201901722
|
| [19] |
Zhao Z J, Li C L, Shen L, et al. Photomultiplication type organic photodetectors based on electron tunneling injection. Nanoscale, 2020, 12, 1091 doi: 10.1039/C9NR09926C
|
| [20] |
Zhao Z J, Wang J, Xu C Y, et al. Photomultiplication type broad response organic photodetectors with one absorber layer and one multiplication layer. J Phys Chem Lett, 2020, 11, 366 doi: 10.1021/acs.jpclett.9b03323
|
| [21] |
Chow P C Y, Someya T. Organic photodetectors for next-generation wearable electronics. Adv Mater, 2020, 32, e1902045 doi: 10.1002/adma.201902045
|
| [22] |
Rezaei-Mazinani S, Ivanov A I, Proctor C M, et al. Monitoring intrinsic optical signals in brain tissue with organic photodetectors. Adv Mater Technol, 2018, 3, 1700333 doi: 10.1002/admt.201700333
|
| [23] |
Li L, Chen H Y, Fang Z M, et al. An electrically modulated single-color/dual-color imaging photodetector. Adv Mater, 2020, 32, 1907257 doi: 10.1002/adma.201907257
|
| [24] |
Shen L, Lin Y Z, Bao C X, et al. Integration of perovskite and polymer photoactive layers to produce ultrafast response, ultravioletto-near-infrared, sensitive photodetectors. Mater Horizons, 2017, 4, 242 doi: 10.1039/C6MH00508J
|
| [25] |
Pan J, Deng W, Xu X Z, et al. Photodetectors based on small-molecule organic semiconductor crystals. Chin Phys B, 2019, 28, 038102 doi: 10.1088/1674-1056/28/3/038102
|
| [26] |
Li C L, Lu J R, Zhao Y, et al. Highly sensitive, fast response perovskite photodetectors demonstrated in weak light detection circuit and visible light communication system. Small, 2019, 15, e1903599 doi: 10.1002/smll.201903599
|
| [27] |
Ren Y X, Dai T J, He B, et al. Fabrication of high-gain photodetector with graphene –PbSe heterostructure. IEEE Electron Device Lett, 2019, 40, 48 doi: 10.1109/LED.2018.2883447
|
| [28] |
Arredondo B, de Dios C, Vergaz R, et al. Performance of ITO-free inverted organic bulk heterojunction photodetectors: Comparison with standard device architecture. Org Electron, 2013, 14, 2484 doi: 10.1016/j.orgel.2013.06.018
|
| [29] |
Wang W B, Zhang F J, Du M D, et al. Highly narrowband photomultiplication type organic photodetectors. Nano Lett, 2017, 17, 1995 doi: 10.1021/acs.nanolett.6b05418
|
| [30] |
Kudo K, Moriizumi T. Spectrum-controllable color sensors using organic dyes. Appl Phys Lett, 1981, 39, 609 doi: 10.1063/1.92820
|
| [31] |
Sariciftci N S, Braun D, Zhang C, et al. Semiconducting polymer-buckminsterfullerene heterojunctions: Diodes, photodiodes, and photovoltaic cells. Appl Phys Lett, 1993, 62, 585 doi: 10.1063/1.108863
|
| [32] |
Yu G, Gao J, Hummelen J C, et al. Polymer photovoltaic cells: Enhanced efficiencies via a network of internal donor-acceptor heterojunctions. Science, 1995, 270, 1789 doi: 10.1126/science.270.5243.1789
|
| [33] |
Halls J J M, Walsh C A, Greenham N C, et al. Efficient photodiodes from interpenetrating polymer networks. Nature, 1995, 376, 498 doi: 10.1038/376498a0
|
| [34] |
Rauch T, B?berl M, Tedde S F, et al. Near-infrared imaging with quantum-dot-sensitized organic photodiodes. Nat Photonics, 2009, 3, 332 doi: 10.1038/nphoton.2009.72
|
| [35] |
Han D, Khan Y, Ting J, et al. Pulse oximetry using organic optoelectronics under ambient light. Adv Mater Technol, 2020, 5, 1901122 doi: 10.1002/admt.201901122
|
| [36] |
Huang J F, Lee J, Vollbrecht J, et al. A high-performance solution-processed organic photodetector for near-infrared sensing. Adv Mater, 2020, 32, 1906027 doi: 10.1002/adma.201906027
|
| [37] |
Strobel N, Droseros N, K?ntges W, et al. Color-selective printed organic photodiodes for filterless multichannel visible light communication. Adv Mater, 2020, 32, e1908258 doi: 10.1002/adma.201908258
|
| [38] |
Kumar C, Jit S. Blended PQT-12 and PC61BM thin films based self-powered and fast response photodetector. IEEE Electron Device Lett, 2020, 41, 1556 doi: 10.1109/LED.2020.3018035
|
| [39] |
Ravi R, Deb B. Studies on one-step-synthesized hydrated vanadium pentoxide for efficient hole transport in organic photovoltaics. Energy Technol, 2020, 8, 1901323 doi: 10.1002/ente.201901323
|
| [40] |
Karthik K, Nikolova M P, Phuruangrat A, et al. Ultrasound-assisted synthesis of V2O5 nanoparticles for photocatalytic and antibacterial studies. Mater Res Innov, 2020, 24, 229 doi: 10.1080/14328917.2019.1634404
|
| [41] |
Torraca E, Costantino U, Massucci M A. Crystalline insoluble salts of polybasic metals: V. Ion-exchange properties of crystalline and amorphous zirconium arsenate. J Chromatograph A, 1967, 30, 584 doi: 10.1016/S0021-9673(00)84194-1
|
| [42] |
Kim B G, Ma X, Chen C, et al. Energy level modulation of HOMO, LUMO, and band-gap in conjugated polymers for organic photovoltaic applications. Adv Funct Mater, 2013, 23, 439 doi: 10.1002/adfm.201201385
|
| [43] |
Elgrishi N, Rountree K J, McCarthy B D, et al. A practical beginner's Guide to cyclic voltammetry. J Chem Educ, 2018, 95, 197 doi: 10.1021/acs.jchemed.7b00361
|
| [44] |
Ji C H, Kim K T, Oh S Y. High-detectivity perovskite-based photodetector using a Zr-doped TiOx cathode interlayer. RSC Adv, 2018, 8, 8302 doi: 10.1039/C8RA00730F
|
| [45] |
Tong S C, Yuan J, Zhang, C J et al. Large-scale roll-to-roll printed, flexible and stable organic bulk heterojunction photodetector. npj Flex Electron, 2018(1), 42 doi: 10.1038/s41528-017-0020-y
|
| [46] |
Zeng Z, Zhong Z M, Zhong W K, et al. High-detectivity organic photodetectors based on a thick-film photoactive layer using a conjugated polymer containing a naphtho[1,2-c:5,6-c]bis[1,2,5]thiadiazole unit. J Mater Chem C, 2019, 7, 6070 doi: 10.1039/C9TC01154D
|
| [47] |
Sulaman M, Song Y, Yang S Y, et al. Interlayer of PMMA doped with Au nanoparticles for high-performance tandem photodetectors: A solution to suppress dark current and maintain high photocurrent. ACS Appl Mater Interfaces, 2020, 12, 26153 doi: 10.1021/acsami.0c04093
|
| [48] |
Mahmood A. Photovoltaic and charge transport behavior of diketopyrrolopyrrole based compounds with A-D-A-D-a skeleton. J Clust Sci, 2019, 30, 1123 doi: 10.1007/s10876-019-01573-0
|
| [49] |
Sulaman M, Song Y, Yang S Y, et al. Ultra-sensitive solution-processed broadband photodetectors based on vertical field-effect transistor. Nanotechnology, 2020, 31, 105203 doi: 10.1088/1361-6528/ab5a26
|
| [50] |
Imran A, Sulaman M, Yang S Y, et al. Molecular beam epitaxy growth of high mobility InN film for high-performance broadband heterointerface photodetectors. Surf Interfaces, 2022, 29, 101772 doi: 10.1016/j.surfin.2022.101772
|
| [51] |
Sulaman M, Song Y, Yang S Y, et al. High-performance solution-processed colloidal quantum dots-based tandem broadband photodetectors with dielectric interlayer. Nanotechnology, 2019, 30, 465203 doi: 10.1088/1361-6528/ab3b7a
|
| [52] |
Mahmood A, Tang A L, Wang X C, et al. First-principles theoretical designing of planar non-fullerene small molecular acceptors for organic solar cells: Manipulation of noncovalent interactions. Phys Chem Chem Phys, 2019, 21, 2128 doi: 10.1039/C8CP05763J
|
| [53] |
Mahmood A, Khan S U D, Rana U A. Theoretical designing of novel heterocyclic azo dyes for dye sensitized solar cells. J Comput Electron, 2014, 13, 1033 doi: 10.1007/s10825-014-0628-2
|
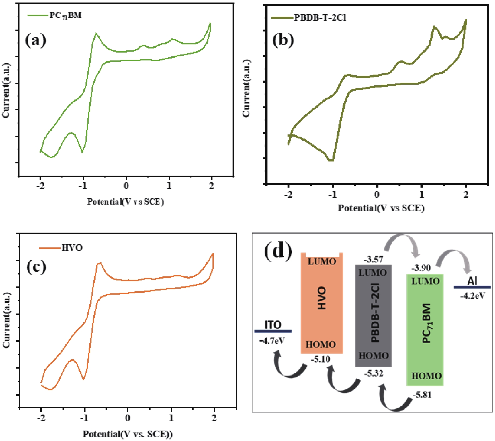
Table 1. Optical and electrochemical characteristics of polymers.
| Polymer | λmax (s) (nm) | λmax (f) (nm) | EHOMO (eV) | ELUMO (eV) | Egech (eV) | Egopt (eV) |
| PBDB-T-2CL | 606 | 621 | ?5.32 | ?3.57 | 1.75 | 1.85 |
| PC71BM | 373, 460 | 325 | ?5.90 | ?3.90 | 2 | 2.13 |
DownLoad: CSV
Table 2. Comparison table of various self-powered organic based photodetectors.
| Entity | Ref. [44] | Ref. [45] | Ref. [30] | Ref. [46] | Ref. [38] | This article |
| Junction | – | PBDTT-ffQ: PC71BM | P3HT:PC71BM | PNTT-H: PC71BM | PQT-12: PC61BM | PBDB-T-2Cl and PC71BM |
| Transportation layer | ETL:Zr–TiOx | – | HTL:PEDOT:PSS | HTL:PEDOT:PSS | ETL:ZnO QDs | HTL:HVO nano capsules |
| Device structure | ITO/PEDOT:PSS/ CH3NH3PbIxCl3?x/ PC60BM/Zr–TiOx/Al | PET/PBDTT-ffQ:PC71BM/Au | ITO/PEDOT:PSS/ P3HT:PC71BM /Al | ITO/PEDOT:PSS/ PNTT-H:PC71BM/ Ca/Al | ZnO QDs/ PQT-12:PC61BM / MoOx | Glass/ITO/HVO/ PBDB-T-2Cl and PC71BM/Al |
| Self-powered | Yes | Yes | Yes | Yes | Yes | |
| Maximum temp used in fabrication (oC) | 130–150 | ~30 | 100 | 100–150 | 200 | 100 |
| Operating bias (V) | –0.1 | – | –10 | –0.1 | 0 | 0 |
| Rise time (μs) | 0.29 | 0.0889 | – | 32 | 0.07 | 0.03 |
| Delay time (μs) | 0.27 | 0.0667 | – | 29 | 0.1 | 0.04 |
| Wavelength (nm) | 525 | 365 | 650 | 760 | 515 | 550 |
| Responsivity (A/W) | 0.380 | 0.115 | 0.255 | 0.360 | 0.1675 | 6.25 |
| Power density ($ \mathrm{m}\mathrm{W}/{\mathrm{c}\mathrm{m}}^{2} $) | 1 mW/cm2 = 1 Sun | – | 2 | – | 0.057 | 1 mW/cm2 = 1 Sun |
| EQE (%) | – | – | 49 (at 520 nm, –10 V) & 53500 (at 620 nm, –60 V) | 59.45 | 41.6 | 1400 (at 550 nm, 0 V) |
| NEP (W/($ {\mathrm{c}\mathrm{m}}^{2}\cdot{\mathrm{H}\mathrm{z}}^{1/2} $)) | – | – | – | – | – | 2 × 10–11 |
| Detectivity (1011 Jones) | 137 | 6.19 | 1.3 | 139 | 4 | 40 (0 V, 550 nm) |
DownLoad: CSV
| [1] |
Gao Z, Jahed N M S, Sivoththaman S. Large area self-powered Al-ZnO/(n)Si hetero-junction photodetectors with high responsivity. IEEE Photonics Technol Lett, 2017, 29, 1171 doi: 10.1109/LPT.2017.2711485
|
| [2] |
Zhang X, Yang S, Zhou H, et al. Perovskite-erbium silicate nanosheet hybrid waveguide photodetectors at the near-infrared telecommunication band. Adv Mater, 2017, 29, 1604431 doi: 10.1002/adma.201604431
|
| [3] |
Upadhyay R K, Singh A P, Upadhyay D, et al. BiFeO3/CH3NH3PbI3 perovskite heterojunction based near-infrared photodetector. IEEE Electron Device Lett, 2019, 40, 1961 doi: 10.1109/LED.2019.2948206
|
| [4] |
Tittl A, Michel A K U, Sch?ferling M, et al. A switchable mid-infrared plasmonic perfect absorber with multispectral thermal imaging capability. Adv Mater, 2015, 27, 4597 doi: 10.1002/adma.201502023
|
| [5] |
Büchele P, Richter M, Tedde S F, et al. X-ray imaging with scintillator-sensitized hybrid organic photodetectors. Nat Photonics, 2015, 9, 843 doi: 10.1038/nphoton.2015.216
|
| [6] |
Kelley S O, Mirkin C A, Walt D R, et al. Advancing the speed, sensitivity and accuracy of biomolecular detection using multi-length-scale engineering. Nat Nanotechnol, 2014, 9, 969 doi: 10.1038/nnano.2014.261
|
| [7] |
Qian L, Sun Y L, Wu M M, et al. A lead-free two-dimensional perovskite for a high-performance flexible photoconductor and a light-stimulated synaptic device. Nanoscale, 2018, 10, 6837 doi: 10.1039/C8NR00914G
|
| [8] |
Koppens F H L, Mueller T, Avouris P, et al. Photodetectors based on graphene, other two-dimensional materials and hybrid systems. Nat Nanotechnol, 2014, 9, 780 doi: 10.1038/nnano.2014.215
|
| [9] |
Qu Y R, Li Q, Du K K, et al. Dynamic thermal emission control based on ultrathin plasmonic metamaterials including phase-changing material GST. Laser Photonics Rev, 2017, 11, 1770052 doi: 10.1002/lpor.201770052
|
| [10] |
Zhao Q Y, Zhu D, Calandri N, et al. Single-photon imager based on a superconducting nanowire delay line. Nat Photonics, 2017, 11, 247 doi: 10.1038/nphoton.2017.35
|
| [11] |
Geum D M, Kim S K, Lee S B, et al. Monolithic 3D integration of InGaAs photodetectors on Si MOSFETs using sequential fabrication process. IEEE Electron Device Lett, 2020, 41, 433 doi: 10.1109/LED.2020.2966986
|
| [12] |
Cao G Q, Wang F, Peng M, et al. Multicolor broadband and fast photodetector based on InGaAs-insulator-graphene hybrid heterostructure. Adv Electron Mater, 2020, 6, 1901007 doi: 10.1002/aelm.201901007
|
| [13] |
Zhai T Y, Li L, Ma Y, et al. One-dimensional inorganic nanostructures: Synthesis, field-emission and photodetection. Chem Soc Rev, 2011, 40, 2986 doi: 10.1039/c0cs00126k
|
| [14] |
Hsu S H. Reflectively coupled waveguide photodetector for high speed optical interconnection. Sensors, 2010, 10, 10863 doi: 10.3390/s101210863
|
| [15] |
Casalino M, Coppola G, de la Rue R M, et al. State-of-the-art all-silicon sub-bandgap photodetectors at telecom and datacom wavelengths. Laser Photonics Rev, 2016, 10, 895 doi: 10.1002/lpor.201600065
|
| [16] |
Yu Y Q, Li Z, Lu Z J, et al. Graphene/MoS2/Si nanowires Schottky-NP bipolar van der Waals heterojunction for ultrafast photodetectors. IEEE Electron Device Lett, 2018, 39, 1688 doi: 10.1109/LED.2018.2872107
|
| [17] |
Pyo S, Kim W, Jung H I, et al. Photodetectors: Heterogeneous integration of carbon-nanotube-graphene for high-performance, flexible, and transparent photodetectors. Small, 2017, 13, 1700918 doi: 10.1002/smll.201700918
|
| [18] |
Dyson M J, Verhage M, Ma X, et al. Color determination from a single broadband organic photodiode. Adv Optical Mater, 2020, 8, 1901722 doi: 10.1002/adom.201901722
|
| [19] |
Zhao Z J, Li C L, Shen L, et al. Photomultiplication type organic photodetectors based on electron tunneling injection. Nanoscale, 2020, 12, 1091 doi: 10.1039/C9NR09926C
|
| [20] |
Zhao Z J, Wang J, Xu C Y, et al. Photomultiplication type broad response organic photodetectors with one absorber layer and one multiplication layer. J Phys Chem Lett, 2020, 11, 366 doi: 10.1021/acs.jpclett.9b03323
|
| [21] |
Chow P C Y, Someya T. Organic photodetectors for next-generation wearable electronics. Adv Mater, 2020, 32, e1902045 doi: 10.1002/adma.201902045
|
| [22] |
Rezaei-Mazinani S, Ivanov A I, Proctor C M, et al. Monitoring intrinsic optical signals in brain tissue with organic photodetectors. Adv Mater Technol, 2018, 3, 1700333 doi: 10.1002/admt.201700333
|
| [23] |
Li L, Chen H Y, Fang Z M, et al. An electrically modulated single-color/dual-color imaging photodetector. Adv Mater, 2020, 32, 1907257 doi: 10.1002/adma.201907257
|
| [24] |
Shen L, Lin Y Z, Bao C X, et al. Integration of perovskite and polymer photoactive layers to produce ultrafast response, ultravioletto-near-infrared, sensitive photodetectors. Mater Horizons, 2017, 4, 242 doi: 10.1039/C6MH00508J
|
| [25] |
Pan J, Deng W, Xu X Z, et al. Photodetectors based on small-molecule organic semiconductor crystals. Chin Phys B, 2019, 28, 038102 doi: 10.1088/1674-1056/28/3/038102
|
| [26] |
Li C L, Lu J R, Zhao Y, et al. Highly sensitive, fast response perovskite photodetectors demonstrated in weak light detection circuit and visible light communication system. Small, 2019, 15, e1903599 doi: 10.1002/smll.201903599
|
| [27] |
Ren Y X, Dai T J, He B, et al. Fabrication of high-gain photodetector with graphene –PbSe heterostructure. IEEE Electron Device Lett, 2019, 40, 48 doi: 10.1109/LED.2018.2883447
|
| [28] |
Arredondo B, de Dios C, Vergaz R, et al. Performance of ITO-free inverted organic bulk heterojunction photodetectors: Comparison with standard device architecture. Org Electron, 2013, 14, 2484 doi: 10.1016/j.orgel.2013.06.018
|
| [29] |
Wang W B, Zhang F J, Du M D, et al. Highly narrowband photomultiplication type organic photodetectors. Nano Lett, 2017, 17, 1995 doi: 10.1021/acs.nanolett.6b05418
|
| [30] |
Kudo K, Moriizumi T. Spectrum-controllable color sensors using organic dyes. Appl Phys Lett, 1981, 39, 609 doi: 10.1063/1.92820
|
| [31] |
Sariciftci N S, Braun D, Zhang C, et al. Semiconducting polymer-buckminsterfullerene heterojunctions: Diodes, photodiodes, and photovoltaic cells. Appl Phys Lett, 1993, 62, 585 doi: 10.1063/1.108863
|
| [32] |
Yu G, Gao J, Hummelen J C, et al. Polymer photovoltaic cells: Enhanced efficiencies via a network of internal donor-acceptor heterojunctions. Science, 1995, 270, 1789 doi: 10.1126/science.270.5243.1789
|
| [33] |
Halls J J M, Walsh C A, Greenham N C, et al. Efficient photodiodes from interpenetrating polymer networks. Nature, 1995, 376, 498 doi: 10.1038/376498a0
|
| [34] |
Rauch T, B?berl M, Tedde S F, et al. Near-infrared imaging with quantum-dot-sensitized organic photodiodes. Nat Photonics, 2009, 3, 332 doi: 10.1038/nphoton.2009.72
|
| [35] |
Han D, Khan Y, Ting J, et al. Pulse oximetry using organic optoelectronics under ambient light. Adv Mater Technol, 2020, 5, 1901122 doi: 10.1002/admt.201901122
|
| [36] |
Huang J F, Lee J, Vollbrecht J, et al. A high-performance solution-processed organic photodetector for near-infrared sensing. Adv Mater, 2020, 32, 1906027 doi: 10.1002/adma.201906027
|
| [37] |
Strobel N, Droseros N, K?ntges W, et al. Color-selective printed organic photodiodes for filterless multichannel visible light communication. Adv Mater, 2020, 32, e1908258 doi: 10.1002/adma.201908258
|
| [38] |
Kumar C, Jit S. Blended PQT-12 and PC61BM thin films based self-powered and fast response photodetector. IEEE Electron Device Lett, 2020, 41, 1556 doi: 10.1109/LED.2020.3018035
|
| [39] |
Ravi R, Deb B. Studies on one-step-synthesized hydrated vanadium pentoxide for efficient hole transport in organic photovoltaics. Energy Technol, 2020, 8, 1901323 doi: 10.1002/ente.201901323
|
| [40] |
Karthik K, Nikolova M P, Phuruangrat A, et al. Ultrasound-assisted synthesis of V2O5 nanoparticles for photocatalytic and antibacterial studies. Mater Res Innov, 2020, 24, 229 doi: 10.1080/14328917.2019.1634404
|
| [41] |
Torraca E, Costantino U, Massucci M A. Crystalline insoluble salts of polybasic metals: V. Ion-exchange properties of crystalline and amorphous zirconium arsenate. J Chromatograph A, 1967, 30, 584 doi: 10.1016/S0021-9673(00)84194-1
|
| [42] |
Kim B G, Ma X, Chen C, et al. Energy level modulation of HOMO, LUMO, and band-gap in conjugated polymers for organic photovoltaic applications. Adv Funct Mater, 2013, 23, 439 doi: 10.1002/adfm.201201385
|
| [43] |
Elgrishi N, Rountree K J, McCarthy B D, et al. A practical beginner's Guide to cyclic voltammetry. J Chem Educ, 2018, 95, 197 doi: 10.1021/acs.jchemed.7b00361
|
| [44] |
Ji C H, Kim K T, Oh S Y. High-detectivity perovskite-based photodetector using a Zr-doped TiOx cathode interlayer. RSC Adv, 2018, 8, 8302 doi: 10.1039/C8RA00730F
|
| [45] |
Tong S C, Yuan J, Zhang, C J et al. Large-scale roll-to-roll printed, flexible and stable organic bulk heterojunction photodetector. npj Flex Electron, 2018(1), 42 doi: 10.1038/s41528-017-0020-y
|
| [46] |
Zeng Z, Zhong Z M, Zhong W K, et al. High-detectivity organic photodetectors based on a thick-film photoactive layer using a conjugated polymer containing a naphtho[1,2-c:5,6-c]bis[1,2,5]thiadiazole unit. J Mater Chem C, 2019, 7, 6070 doi: 10.1039/C9TC01154D
|
| [47] |
Sulaman M, Song Y, Yang S Y, et al. Interlayer of PMMA doped with Au nanoparticles for high-performance tandem photodetectors: A solution to suppress dark current and maintain high photocurrent. ACS Appl Mater Interfaces, 2020, 12, 26153 doi: 10.1021/acsami.0c04093
|
| [48] |
Mahmood A. Photovoltaic and charge transport behavior of diketopyrrolopyrrole based compounds with A-D-A-D-a skeleton. J Clust Sci, 2019, 30, 1123 doi: 10.1007/s10876-019-01573-0
|
| [49] |
Sulaman M, Song Y, Yang S Y, et al. Ultra-sensitive solution-processed broadband photodetectors based on vertical field-effect transistor. Nanotechnology, 2020, 31, 105203 doi: 10.1088/1361-6528/ab5a26
|
| [50] |
Imran A, Sulaman M, Yang S Y, et al. Molecular beam epitaxy growth of high mobility InN film for high-performance broadband heterointerface photodetectors. Surf Interfaces, 2022, 29, 101772 doi: 10.1016/j.surfin.2022.101772
|
| [51] |
Sulaman M, Song Y, Yang S Y, et al. High-performance solution-processed colloidal quantum dots-based tandem broadband photodetectors with dielectric interlayer. Nanotechnology, 2019, 30, 465203 doi: 10.1088/1361-6528/ab3b7a
|
| [52] |
Mahmood A, Tang A L, Wang X C, et al. First-principles theoretical designing of planar non-fullerene small molecular acceptors for organic solar cells: Manipulation of noncovalent interactions. Phys Chem Chem Phys, 2019, 21, 2128 doi: 10.1039/C8CP05763J
|
| [53] |
Mahmood A, Khan S U D, Rana U A. Theoretical designing of novel heterocyclic azo dyes for dye sensitized solar cells. J Comput Electron, 2014, 13, 1033 doi: 10.1007/s10825-014-0628-2
|
Article views: 2114 Times PDF downloads: 71 Times Cited by: 0 Times
Received: 26 February 2022 Revised: 18 April 2022 Online: Accepted Manuscript: 17 June 2022Uncorrected proof: 17 June 2022Published: 02 September 2022
| Citation: |
Hemraj Dahiya, Anupam Agrawal, Ganesh D. Sharma, Abhishek Kumar Singh. Organic bulk heterojunction enabled with nanocapsules of hydrate vanadium pentaoxide layer for high responsivity self-powered photodetector[J]. Journal of Semiconductors, 2022, 43(9): 092302. doi: 10.1088/1674-4926/43/9/092302
****
H Dahiya, A Agrawal, G D Sharma, A K Singh. Organic bulk heterojunction enabled with nanocapsules of hydrate vanadium pentaoxide layer for high responsivity self-powered photodetector[J]. J. Semicond, 2022, 43(9): 092302. doi: 10.1088/1674-4926/43/9/092302
|
| [1] |
Gao Z, Jahed N M S, Sivoththaman S. Large area self-powered Al-ZnO/(n)Si hetero-junction photodetectors with high responsivity. IEEE Photonics Technol Lett, 2017, 29, 1171 doi: 10.1109/LPT.2017.2711485
|
| [2] |
Zhang X, Yang S, Zhou H, et al. Perovskite-erbium silicate nanosheet hybrid waveguide photodetectors at the near-infrared telecommunication band. Adv Mater, 2017, 29, 1604431 doi: 10.1002/adma.201604431
|
| [3] |
Upadhyay R K, Singh A P, Upadhyay D, et al. BiFeO3/CH3NH3PbI3 perovskite heterojunction based near-infrared photodetector. IEEE Electron Device Lett, 2019, 40, 1961 doi: 10.1109/LED.2019.2948206
|
| [4] |
Tittl A, Michel A K U, Sch?ferling M, et al. A switchable mid-infrared plasmonic perfect absorber with multispectral thermal imaging capability. Adv Mater, 2015, 27, 4597 doi: 10.1002/adma.201502023
|
| [5] |
Büchele P, Richter M, Tedde S F, et al. X-ray imaging with scintillator-sensitized hybrid organic photodetectors. Nat Photonics, 2015, 9, 843 doi: 10.1038/nphoton.2015.216
|
| [6] |
Kelley S O, Mirkin C A, Walt D R, et al. Advancing the speed, sensitivity and accuracy of biomolecular detection using multi-length-scale engineering. Nat Nanotechnol, 2014, 9, 969 doi: 10.1038/nnano.2014.261
|
| [7] |
Qian L, Sun Y L, Wu M M, et al. A lead-free two-dimensional perovskite for a high-performance flexible photoconductor and a light-stimulated synaptic device. Nanoscale, 2018, 10, 6837 doi: 10.1039/C8NR00914G
|
| [8] |
Koppens F H L, Mueller T, Avouris P, et al. Photodetectors based on graphene, other two-dimensional materials and hybrid systems. Nat Nanotechnol, 2014, 9, 780 doi: 10.1038/nnano.2014.215
|
| [9] |
Qu Y R, Li Q, Du K K, et al. Dynamic thermal emission control based on ultrathin plasmonic metamaterials including phase-changing material GST. Laser Photonics Rev, 2017, 11, 1770052 doi: 10.1002/lpor.201770052
|
| [10] |
Zhao Q Y, Zhu D, Calandri N, et al. Single-photon imager based on a superconducting nanowire delay line. Nat Photonics, 2017, 11, 247 doi: 10.1038/nphoton.2017.35
|
| [11] |
Geum D M, Kim S K, Lee S B, et al. Monolithic 3D integration of InGaAs photodetectors on Si MOSFETs using sequential fabrication process. IEEE Electron Device Lett, 2020, 41, 433 doi: 10.1109/LED.2020.2966986
|
| [12] |
Cao G Q, Wang F, Peng M, et al. Multicolor broadband and fast photodetector based on InGaAs-insulator-graphene hybrid heterostructure. Adv Electron Mater, 2020, 6, 1901007 doi: 10.1002/aelm.201901007
|
| [13] |
Zhai T Y, Li L, Ma Y, et al. One-dimensional inorganic nanostructures: Synthesis, field-emission and photodetection. Chem Soc Rev, 2011, 40, 2986 doi: 10.1039/c0cs00126k
|
| [14] |
Hsu S H. Reflectively coupled waveguide photodetector for high speed optical interconnection. Sensors, 2010, 10, 10863 doi: 10.3390/s101210863
|
| [15] |
Casalino M, Coppola G, de la Rue R M, et al. State-of-the-art all-silicon sub-bandgap photodetectors at telecom and datacom wavelengths. Laser Photonics Rev, 2016, 10, 895 doi: 10.1002/lpor.201600065
|
| [16] |
Yu Y Q, Li Z, Lu Z J, et al. Graphene/MoS2/Si nanowires Schottky-NP bipolar van der Waals heterojunction for ultrafast photodetectors. IEEE Electron Device Lett, 2018, 39, 1688 doi: 10.1109/LED.2018.2872107
|
| [17] |
Pyo S, Kim W, Jung H I, et al. Photodetectors: Heterogeneous integration of carbon-nanotube-graphene for high-performance, flexible, and transparent photodetectors. Small, 2017, 13, 1700918 doi: 10.1002/smll.201700918
|
| [18] |
Dyson M J, Verhage M, Ma X, et al. Color determination from a single broadband organic photodiode. Adv Optical Mater, 2020, 8, 1901722 doi: 10.1002/adom.201901722
|
| [19] |
Zhao Z J, Li C L, Shen L, et al. Photomultiplication type organic photodetectors based on electron tunneling injection. Nanoscale, 2020, 12, 1091 doi: 10.1039/C9NR09926C
|
| [20] |
Zhao Z J, Wang J, Xu C Y, et al. Photomultiplication type broad response organic photodetectors with one absorber layer and one multiplication layer. J Phys Chem Lett, 2020, 11, 366 doi: 10.1021/acs.jpclett.9b03323
|
| [21] |
Chow P C Y, Someya T. Organic photodetectors for next-generation wearable electronics. Adv Mater, 2020, 32, e1902045 doi: 10.1002/adma.201902045
|
| [22] |
Rezaei-Mazinani S, Ivanov A I, Proctor C M, et al. Monitoring intrinsic optical signals in brain tissue with organic photodetectors. Adv Mater Technol, 2018, 3, 1700333 doi: 10.1002/admt.201700333
|
| [23] |
Li L, Chen H Y, Fang Z M, et al. An electrically modulated single-color/dual-color imaging photodetector. Adv Mater, 2020, 32, 1907257 doi: 10.1002/adma.201907257
|
| [24] |
Shen L, Lin Y Z, Bao C X, et al. Integration of perovskite and polymer photoactive layers to produce ultrafast response, ultravioletto-near-infrared, sensitive photodetectors. Mater Horizons, 2017, 4, 242 doi: 10.1039/C6MH00508J
|
| [25] |
Pan J, Deng W, Xu X Z, et al. Photodetectors based on small-molecule organic semiconductor crystals. Chin Phys B, 2019, 28, 038102 doi: 10.1088/1674-1056/28/3/038102
|
| [26] |
Li C L, Lu J R, Zhao Y, et al. Highly sensitive, fast response perovskite photodetectors demonstrated in weak light detection circuit and visible light communication system. Small, 2019, 15, e1903599 doi: 10.1002/smll.201903599
|
| [27] |
Ren Y X, Dai T J, He B, et al. Fabrication of high-gain photodetector with graphene –PbSe heterostructure. IEEE Electron Device Lett, 2019, 40, 48 doi: 10.1109/LED.2018.2883447
|
| [28] |
Arredondo B, de Dios C, Vergaz R, et al. Performance of ITO-free inverted organic bulk heterojunction photodetectors: Comparison with standard device architecture. Org Electron, 2013, 14, 2484 doi: 10.1016/j.orgel.2013.06.018
|
| [29] |
Wang W B, Zhang F J, Du M D, et al. Highly narrowband photomultiplication type organic photodetectors. Nano Lett, 2017, 17, 1995 doi: 10.1021/acs.nanolett.6b05418
|
| [30] |
Kudo K, Moriizumi T. Spectrum-controllable color sensors using organic dyes. Appl Phys Lett, 1981, 39, 609 doi: 10.1063/1.92820
|
| [31] |
Sariciftci N S, Braun D, Zhang C, et al. Semiconducting polymer-buckminsterfullerene heterojunctions: Diodes, photodiodes, and photovoltaic cells. Appl Phys Lett, 1993, 62, 585 doi: 10.1063/1.108863
|
| [32] |
Yu G, Gao J, Hummelen J C, et al. Polymer photovoltaic cells: Enhanced efficiencies via a network of internal donor-acceptor heterojunctions. Science, 1995, 270, 1789 doi: 10.1126/science.270.5243.1789
|
| [33] |
Halls J J M, Walsh C A, Greenham N C, et al. Efficient photodiodes from interpenetrating polymer networks. Nature, 1995, 376, 498 doi: 10.1038/376498a0
|
| [34] |
Rauch T, B?berl M, Tedde S F, et al. Near-infrared imaging with quantum-dot-sensitized organic photodiodes. Nat Photonics, 2009, 3, 332 doi: 10.1038/nphoton.2009.72
|
| [35] |
Han D, Khan Y, Ting J, et al. Pulse oximetry using organic optoelectronics under ambient light. Adv Mater Technol, 2020, 5, 1901122 doi: 10.1002/admt.201901122
|
| [36] |
Huang J F, Lee J, Vollbrecht J, et al. A high-performance solution-processed organic photodetector for near-infrared sensing. Adv Mater, 2020, 32, 1906027 doi: 10.1002/adma.201906027
|
| [37] |
Strobel N, Droseros N, K?ntges W, et al. Color-selective printed organic photodiodes for filterless multichannel visible light communication. Adv Mater, 2020, 32, e1908258 doi: 10.1002/adma.201908258
|
| [38] |
Kumar C, Jit S. Blended PQT-12 and PC61BM thin films based self-powered and fast response photodetector. IEEE Electron Device Lett, 2020, 41, 1556 doi: 10.1109/LED.2020.3018035
|
| [39] |
Ravi R, Deb B. Studies on one-step-synthesized hydrated vanadium pentoxide for efficient hole transport in organic photovoltaics. Energy Technol, 2020, 8, 1901323 doi: 10.1002/ente.201901323
|
| [40] |
Karthik K, Nikolova M P, Phuruangrat A, et al. Ultrasound-assisted synthesis of V2O5 nanoparticles for photocatalytic and antibacterial studies. Mater Res Innov, 2020, 24, 229 doi: 10.1080/14328917.2019.1634404
|
| [41] |
Torraca E, Costantino U, Massucci M A. Crystalline insoluble salts of polybasic metals: V. Ion-exchange properties of crystalline and amorphous zirconium arsenate. J Chromatograph A, 1967, 30, 584 doi: 10.1016/S0021-9673(00)84194-1
|
| [42] |
Kim B G, Ma X, Chen C, et al. Energy level modulation of HOMO, LUMO, and band-gap in conjugated polymers for organic photovoltaic applications. Adv Funct Mater, 2013, 23, 439 doi: 10.1002/adfm.201201385
|
| [43] |
Elgrishi N, Rountree K J, McCarthy B D, et al. A practical beginner's Guide to cyclic voltammetry. J Chem Educ, 2018, 95, 197 doi: 10.1021/acs.jchemed.7b00361
|
| [44] |
Ji C H, Kim K T, Oh S Y. High-detectivity perovskite-based photodetector using a Zr-doped TiOx cathode interlayer. RSC Adv, 2018, 8, 8302 doi: 10.1039/C8RA00730F
|
| [45] |
Tong S C, Yuan J, Zhang, C J et al. Large-scale roll-to-roll printed, flexible and stable organic bulk heterojunction photodetector. npj Flex Electron, 2018(1), 42 doi: 10.1038/s41528-017-0020-y
|
| [46] |
Zeng Z, Zhong Z M, Zhong W K, et al. High-detectivity organic photodetectors based on a thick-film photoactive layer using a conjugated polymer containing a naphtho[1,2-c:5,6-c]bis[1,2,5]thiadiazole unit. J Mater Chem C, 2019, 7, 6070 doi: 10.1039/C9TC01154D
|
| [47] |
Sulaman M, Song Y, Yang S Y, et al. Interlayer of PMMA doped with Au nanoparticles for high-performance tandem photodetectors: A solution to suppress dark current and maintain high photocurrent. ACS Appl Mater Interfaces, 2020, 12, 26153 doi: 10.1021/acsami.0c04093
|
| [48] |
Mahmood A. Photovoltaic and charge transport behavior of diketopyrrolopyrrole based compounds with A-D-A-D-a skeleton. J Clust Sci, 2019, 30, 1123 doi: 10.1007/s10876-019-01573-0
|
| [49] |
Sulaman M, Song Y, Yang S Y, et al. Ultra-sensitive solution-processed broadband photodetectors based on vertical field-effect transistor. Nanotechnology, 2020, 31, 105203 doi: 10.1088/1361-6528/ab5a26
|
| [50] |
Imran A, Sulaman M, Yang S Y, et al. Molecular beam epitaxy growth of high mobility InN film for high-performance broadband heterointerface photodetectors. Surf Interfaces, 2022, 29, 101772 doi: 10.1016/j.surfin.2022.101772
|
| [51] |
Sulaman M, Song Y, Yang S Y, et al. High-performance solution-processed colloidal quantum dots-based tandem broadband photodetectors with dielectric interlayer. Nanotechnology, 2019, 30, 465203 doi: 10.1088/1361-6528/ab3b7a
|
| [52] |
Mahmood A, Tang A L, Wang X C, et al. First-principles theoretical designing of planar non-fullerene small molecular acceptors for organic solar cells: Manipulation of noncovalent interactions. Phys Chem Chem Phys, 2019, 21, 2128 doi: 10.1039/C8CP05763J
|
| [53] |
Mahmood A, Khan S U D, Rana U A. Theoretical designing of novel heterocyclic azo dyes for dye sensitized solar cells. J Comput Electron, 2014, 13, 1033 doi: 10.1007/s10825-014-0628-2
|
Journal of Semiconductors © 2017 All Rights Reserved 京ICP備05085259號(hào)-2