ARTICLES
Wenrong Liu, Xinyang Li, Changwen Zhang and Shishen Yan
Corresponding author: Changwen Zhang, ss_zhangchw@ujn.edu.cn
Abstract: The Rashba effect and valley polarization provide a novel paradigm in quantum information technology. However, practical materials are scarce. Here, we found a new class of Janus monolayers VXY (X = Cl, Br, I; Y = Se, Te) with excellent valley polarization effect. In particular, Janus VBrSe shows Zeeman type spin splitting of 14 meV, large Berry curvature of 182.73 bohr2, and, at the same time, a large Rashba parameter of 176.89 meV·?. We use the k·p theory to analyze the relationship between the lattice constant and the curvature of the Berry. The Berry curvature can be adjusted by changing the lattice parameter, which will greatly improve the transverse velocities of carriers and promote the efficiency of the valley Hall device. By applying biaxial strain onto VBrSe, we can see that there is a correlation between Berry curvature and lattice constant, which further validates the above theory. All these results provide tantalizing opportunities for efficient spintronics and valleytronics.
Key words: Janus VXY, valley polarization, k·p theory, large Berry curvature
| [1] |
Guo Y L, Zhang Y H, Yuan S J, et al. Chromium sulfide halide monolayers: Intrinsic ferromagnetic semiconductors with large spin polarization and high carrier mobility. Nanoscale, 2018, 10, 18036 doi: 10.1039/C8NR06368K
|
| [2] |
Zhang S J, Zhang C W, Zhang S F, et al. Intrinsic Dirac half-metal and quantum anomalous Hall phase in a hexagonal metal-oxide lattice. Phys Rev B, 2017, 96, 205433 doi: 10.1103/PhysRevB.96.205433
|
| [3] |
Novoselov K S, Jiang D, Schedin F, et al. Two-dimensional atomic crystals. PNAS, 2005, 102, 10451 doi: 10.1073/pnas.0502848102
|
| [4] |
Zhang M H, Zhang C W, Wang P J, et al. Prediction of high-temperature Chern insulator with half-metallic edge states in asymmetry-functionalized stanene. Nanoscale, 2018, 10, 20226 doi: 10.1039/C8NR07503D
|
| [5] |
Wang Y P, Ji W X, Zhang C W, et al. Discovery of intrinsic quantum anomalous Hall effect in organic Mn-DCA lattice. Appl Phys Lett, 2017, 110, 233107 doi: 10.1063/1.4985144
|
| [6] |
Li S S, Ji W X, Hu S J, et al. Effect of amidogen functionalization on quantum spin Hall effect in Bi/Sb(111) films. ACS Appl Mater Interfaces, 2017, 9, 41443 doi: 10.1021/acsami.7b13179
|
| [7] |
Novoselov K S, Geim A K, Morozov S V, et al. Electric field effect in atomically thin carbon films. Science, 2004, 306, 666 doi: 10.1126/science.1102896
|
| [8] |
Pesin D, MacDonald A H. Spintronics and pseudospintronics in graphene and topological insulators. Nat Mater, 2012, 11, 409 doi: 10.1038/nmat3305
|
| [9] |
Schaibley J R, Yu H Y, Clark G, et al. Valleytronics in 2D materials. Nat Rev Mater, 2016, 1, 16055 doi: 10.1038/natrevmats.2016.55
|
| [10] |
Li X, Cao T, Niu Q, et al. Coupling the valley degree of freedom to antiferromagnetic order. PNAS, 2013, 110, 3738 doi: 10.1073/pnas.1219420110
|
| [11] |
Wang J J, Liu S, Wang J, et al. Valley filter and valve effect by strong electrostatic potentials in graphene. Sci Rep, 2017, 7, 10236 doi: 10.1038/s41598-017-10460-5
|
| [12] |
Zhou J, Sun Q, Jena P. Valley-polarized quantum anomalous Hall effect in ferrimagnetic honeycomb lattices. Phys Rev Lett, 2017, 119, 046403 doi: 10.1103/PhysRevLett.119.046403
|
| [13] |
Zhang F, MacDonald A H, Mele E J. Valley Chern numbers and boundary modes in gapped bilayer graphene. PNAS, 2013, 110, 10546 doi: 10.1073/pnas.1308853110
|
| [14] |
Zhang M H, Zhang S F, Wang P J, et al. Emergence of a spin-valley Dirac semimetal in a strained group-VA monolayer. Nanoscale, 2020, 12, 3950 doi: 10.1039/C9NR09545D
|
| [15] |
Absor M A U, Santoso I, et al. Polarity tuning of spin-orbit-induced spin splitting in two-dimensional transition metal dichalcogenides semiconductors. J Appl Phys, 2017, 122, 153905 doi: 10.1063/1.5008475
|
| [16] |
Xu X, Yao W, Xiao D, et al. Spin and pseudospins in layered transition metal dichalcogenides. Nat Phys, 2014, 10, 343 doi: 10.1038/nphys2942
|
| [17] |
Zeng H L, Dai J F, Yao W, et al. Valley polarization in MoS2 monolayers by optical pumping. Nat Nanotechnol, 2012, 7, 490 doi: 10.1038/nnano.2012.95
|
| [18] |
Mak K F, McGill K L, Park J, et al. The valley Hall effect in MoS2 transistors. Science, 2014, 344, 1489 doi: 10.1126/science.1250140
|
| [19] |
Ma Y D, Kou L Z, Du A J, et al. Conduction-band valley spin splitting in single-layer H-Tl2O. Phys Rev B, 2018, 97, 035444 doi: 10.1103/PhysRevB.97.035444
|
| [20] |
Xu Z, Zhang Q Y, Shen Q, et al. First-principles prediction of Tl/SiC for valleytronics. J Mater Chem C, 2017, 5, 10427 doi: 10.1039/C7TC03799F
|
| [21] |
Ai H Q, Liu D, Geng J Z, et al. Theoretical evidence of the spin-valley coupling and valley polarization in two-dimensional MoSi2X4 (X = N, P, and As). Phys Chem Chem Phys, 2021, 23, 3144 doi: 10.1039/D0CP05926A
|
| [22] |
Yu Z M, Guan S, Sheng X L, et al. Valley-layer coupling: A new design principle for valleytronics. Phys Rev Lett, 2020, 124, 037701 doi: 10.1103/PhysRevLett.124.037701
|
| [23] |
Odkhuu D. Giant perpendicular magnetic anisotropy of an individual atom on two-dimensional transition metal dichalcogenides. Phys Rev B, 2016, 94, 060403 doi: 10.1103/PhysRevB.94.060403
|
| [24] |
Hu T, Jia F H, Zhao G D, et al. Intrinsic and anisotropic Rashba spin splitting in Janus transition-metal dichalcogenide monolayers. Phys Rev B, 2018, 97, 235404 doi: 10.1103/PhysRevB.97.235404
|
| [25] |
Lu A Y, Zhu H, Xiao J, et al. Janus monolayers of transition metal dichalcogenides. Nat Nanotechnol, 2017, 12, 744 doi: 10.1038/nnano.2017.100
|
| [26] |
Petri? M M, Kremser M, Barbone M, et al. Raman spectrum of Janus transition metal dichalcogenide monolayers WSSe and MoSSe. Phys Rev B, 2021, 103, 035414 doi: 10.1103/PhysRevB.103.035414
|
| [27] |
Long C, Dai Y, Gong Z R, et al. Robust type-II band alignment in Janus-MoSSe bilayer with extremely long carrier lifetime induced by the intrinsic electric field. Phys Rev B, 2019, 99, 115316 doi: 10.1103/PhysRevB.99.115316
|
| [28] |
Ji Y J, Yang M Y, Lin H P, et al. Janus structures of transition metal dichalcogenides as the heterojunction photocatalysts for water splitting. J Phys Chem C, 2018, 122, 3123 doi: 10.1021/acs.jpcc.7b11584
|
| [29] |
Guan Z Y, Ni S, Hu S L. Tunable electronic and optical properties of monolayer and multilayer Janus MoSSe as a photocatalyst for solar water splitting: A first-principles study. J Phys Chem C, 2018, 122, 6209 doi: 10.1021/acs.jpcc.8b00257
|
| [30] |
Dong L, Lou J, Shenoy V B. Large in-plane and vertical piezoelectricity in Janus transition metal dichalchogenides. ACS Nano, 2017, 11, 8242 doi: 10.1021/acsnano.7b03313
|
| [31] |
Zhang F, Mi W B, Wang X C. Spin-dependent electronic structure and magnetic anisotropy of 2D ferromagnetic Janus Cr2I3X3 (X = Br, Cl) monolayers. Adv Electron Mater, 2020, 6, 1900778 doi: 10.1002/aelm.201900778
|
| [32] |
Li R, Jiang J W, Shi X H, et al. Two-dimensional Janus FeXY (X, Y = Cl, Br, and I, X ≠ Y) monolayers: Half-metallic ferromagnets with tunable magnetic properties under strain. ACS Appl Mater Interfaces, 2021, 13, 38897 doi: 10.1021/acsami.1c10304
|
| [33] |
Li R, Jiang J W, Mi W B, et al. Room temperature spontaneous valley polarization in two-dimensional FeClBr monolayer. Nanoscale, 2021, 13, 14807 doi: 10.1039/D1NR04063D
|
| [34] |
Yao Q F, Cai J, Tong W Y, et al. Manipulation of the large Rashba spin splitting in polar two-dimensional transition-metal dichalcogenides. Phys Rev B, 2017, 95, 165401 doi: 10.1103/PhysRevB.95.165401
|
| [35] |
Peng R, Ma Y D, Zhang S, et al. Valley polarization in Janus single-layer MoSSe via magnetic doping. J Phys Chem Lett, 2018, 9, 3612 doi: 10.1021/acs.jpclett.8b01625
|
| [36] |
Zhang Z P, Niu J J, Yang P F, et al. Van der waals epitaxial growth of 2D metallic vanadium diselenide single crystals and their extra-high electrical conductivity. Adv Mater, 2017, 29, 1702359 doi: 10.1002/adma.201702359
|
| [37] |
Li R P, Cheng Y C, Huang W. Recent progress of Janus 2D transition metal chalcogenides: From theory to experiments. Small, 2018, 14, 1802091 doi: 10.1002/smll.201802091
|
| [38] |
Zhang J, Jia S, Kholmanov I, et al. Janus monolayer transition-metal dichalcogenides. ACS Nano, 2017, 11, 8192 doi: 10.1021/acsnano.7b03186
|
| [39] |
Liu G B, Shan W Y, Yao Y G, et al. Three-band tight-binding model for monolayers of group-VIB transition metal dichalcogenides. Phys Rev B, 2013, 88, 085433 doi: 10.1103/PhysRevB.88.085433
|
| [40] |
Liu G B, Xiao D, Yao Y G, et al. Electronic structures and theoretical modelling of two-dimensional group-VIB transition metal dichalcogenides. Chem Soc Rev, 2015, 44, 2643 doi: 10.1039/C4CS00301B
|
| [41] |
Wang Y Y, Wei W, Wang H, et al. Janus TiXY monolayers with tunable Berry curvature. J Phys Chem Lett, 2019, 10, 7426 doi: 10.1021/acs.jpclett.9b02853
|
| [42] |
Kresse G, Furthmüller J. Efficient iterative schemes for ab initio total-energy calculations using a plane-wave basis set. Phys Rev B, 1996, 54, 11169 doi: 10.1103/PhysRevB.54.11169
|
| [43] |
Perdew J P, Burke K, Ernzerhof M. Perdew, burke, and ernzerhof reply. Phys Rev Lett, 1998, 80, 891 doi: 10.1103/PhysRevLett.80.891
|
| [44] |
Perdew J P, Burke K, Ernzerhof M. Generalized gradient approximation made simple. Phys Rev Lett, 1996, 77, 3865 doi: 10.1103/PhysRevLett.77.3865
|
| [45] |
Kresse G, Joubert D. From ultrasoft pseudopotentials to the projector augmented-wave method. Phys Rev B, 1999, 59, 1758 doi: 10.1103/PhysRevB.59.1758
|
| [46] |
Calderon C E, Plata J J, Toher C, et al. The AFLOW standard for high-throughput materials science calculations. Comput Mater Sci, 2015, 108, 233 doi: 10.1016/j.commatsci.2015.07.019
|
| [47] |
Gonze X, Lee C. Dynamical matrices, Born effective charges, dielectric permittivity tensors, and interatomic force constants from density-functional perturbation theory. Phys Rev B, 1997, 55, 10355 doi: 10.1103/PhysRevB.55.10355
|
| [48] |
Togo A, Tanaka I. First principles phonon calculations in materials science. Scr Mater, 2015, 108, 1 doi: 10.1016/j.scriptamat.2015.07.021
|
| [49] |
Bucher D, Pierce L C T, McCammon J A, et al. On the use of accelerated molecular dynamics to enhance configurational sampling in ab initio simulations. J Chem Theory Comput, 2011, 7, 890 doi: 10.1021/ct100605v
|
| [50] |
Mostofi A A, Yates J R, Lee Y S, et al. Wannier90: A tool for obtaining maximally-localised Wannier functions. Comput Phys Commun, 2008, 178, 685 doi: 10.1016/j.cpc.2007.11.016
|
| [51] |
Smaili I, Laref S, Garcia J H, et al. Janus monolayers of magnetic transition metal dichalcogenides as an all-in-one platform for spin-orbit torque. Phys Rev B, 2021, 104, 104415 doi: 10.1103/PhysRevB.104.104415
|
| [52] |
Ding Y, Yang G F, Gu Y, et al. First-principles predictions of Janus MoSSe and WSSe for FET applications. J Phys Chem C, 2020, 124, 21197 doi: 10.1021/acs.jpcc.0c06772
|
| [53] |
Chen J J, Wu K, Hu W, et al. Spin-orbit coupling in 2D semiconductors: A theoretical perspective. J Phys Chem Lett, 2021, 12, 12256 doi: 10.1021/acs.jpclett.1c03662
|
| [54] |
Eremeev S V, Nechaev I A, Koroteev Y M, et al. Ideal two-dimensional electron systems with a giant Rashba-type spin splitting in real materials: Surfaces of bismuth tellurohalides. Phys Rev Lett, 2012, 108, 246802 doi: 10.1103/PhysRevLett.108.246802
|
| [55] |
Zhou W Z, Chen J Y, Yang Z X, et al. Geometry and electronic structure of monolayer, bilayer, and multilayer Janus WSSe. Phys Rev B, 2019, 99, 075160 doi: 10.1103/PhysRevB.99.075160
|
| [56] |
Jin H, Wang T, Gong Z R, et al. Prediction of an extremely long exciton lifetime in a Janus-MoSTe monolayer. Nanoscale, 2018, 10, 19310 doi: 10.1039/C8NR04568B
|
| [57] |
Cheng C, Sun J T, Chen X R, et al. Nonlinear Rashba spin splitting in transition metal dichalcogenide monolayers. Nanoscale, 2016, 8, 17854 doi: 10.1039/C6NR04235J
|
| [58] |
Zhang Q Y, Schwingenschl?gl U. Rashba effect and enriched spin-valley coupling in GaX/MX2 (M = Mo, W; X = S, Se, Te) heterostructures. Phys Rev B, 2018, 97, 155415 doi: 10.1103/PhysRevB.97.155415
|
| [59] |
Cheng Y C, Zhu Z Y, Tahir M, et al. Spin-orbit–induced spin splittings in polar transition metal dichalcogenide monolayers. EPL, 2013, 102, 57001 doi: 10.1209/0295-5075/102/57001
|
| [60] |
Liu Q H, Guo Y Z, Freeman A J. Tunable Rashba effect in two-dimensional LaOBiS2 films: Ultrathin candidates for spin field effect transistors. Nano Lett, 2013, 13, 5264 doi: 10.1021/nl4027346
|
| [61] |
Zhang D X, Zhou B Z. Controllable spin direction in nonmagnetic BX/MX2 (M = Mo or W; X = S, Se and Te) van der Waals heterostructures by switching between the Rashba splitting and valley polarization. J Mater Chem C, 2022, 10, 312 doi: 10.1039/D1TC03662A
|
| [62] |
Kormányos A, Zólyomi V, Drummond N D, et al. Spin-orbit coupling, quantum dots, and qubits in monolayer transition metal dichalcogenides. Phys Rev X, 2014, 4, 011034 doi: 10.1103/PhysRevX.4.039901
|
| [63] |
Mak K F, He K, Shan J, et al. Control of valley polarization in monolayer MoS2 by optical helicity. Nat Nanotechnol, 2012, 7, 494 doi: 10.1038/nnano.2012.96
|
| [64] |
Zhang Q Y, Yang S A, Mi W B, et al. Large spin-valley polarization in monolayer MoTe2 on top of EuO(111). Adv Mater, 2016, 28, 959 doi: 10.1002/adma.201502585
|
| [65] |
Zhao C, Norden T, Zhang P, et al. Enhanced valley splitting in monolayer WSe2 due to magnetic exchange field. Nat Nanotechnol, 2017, 12, 757 doi: 10.1038/nnano.2017.68
|
| [66] |
Seyler K L, Zhong D, Huang B, et al. Valley manipulation by optically tuning the magnetic proximity effect in WSe2/CrI3 heterostructures. Nano Lett, 2018, 18, 3823 doi: 10.1021/acs.nanolett.8b01105
|
| [67] |
Zhou J, Jena P. Giant valley splitting and valley polarized plasmonics in group V transition-metal dichalcogenide monolayers. J Phys Chem Lett, 2017, 8, 5764 doi: 10.1021/acs.jpclett.7b02507
|
| [68] |
Singh N, Schwingenschl?gl U. A route to permanent valley polarization in monolayer MoS2. Adv Mater, 2017, 29, 1600970 doi: 10.1002/adma.201600970
|
| [69] |
Chen X F, Zhong L S, Li X, et al. Valley splitting in the transition-metal dichalcogenide monolayer via atom adsorption. Nanoscale, 2017, 9, 2188 doi: 10.1039/C6NR05710A
|
| [70] |
Xu X L, Ma Y D, Zhang T, et al. Nonmetal-atom-doping-induced valley polarization in single-layer Tl2O. J Phys Chem Lett, 2019, 10, 4535 doi: 10.1021/acs.jpclett.9b01602
|
| [71] |
Poncé S, Margine E R, Giustino F. Towards predictive many-body calculations of phonon-limited carrier mobilities in semiconductors. Phys Rev B, 2018, 97, 121201 doi: 10.1103/PhysRevB.97.121201
|
| [72] |
Zhang X O, Shan W Y, Xiao D. Optical selection rule of excitons in gapped chiral fermion systems. Phys Rev Lett, 2018, 120, 077401 doi: 10.1103/PhysRevLett.120.077401
|
| [73] |
Xie L, Cui X D. Manipulating spin-polarized photocurrents in 2D transition metal dichalcogenides. PNAS, 2016, 113, 3746 doi: 10.1073/pnas.1523012113
|
| [74] |
Xiao D, Liu G B, Feng W X, et al. Coupled spin and valley physics in monolayers of MoS2 and other group-VI dichalcogenides. Phys Rev Lett, 2012, 108, 196802 doi: 10.1103/PhysRevLett.108.196802
|
| [75] |
Zhu B R, Zeng H L, Dai J F, et al. Anomalously robust valley polarization and valley coherence in bilayer WS2. PNAS, 2014, 111, 11606 doi: 10.1073/pnas.1406960111
|
| [76] |
Kormányos A, Zólyomi V, Fal'ko V I, et al. Tunable Berry curvature and valley and spin Hall effect in bilayer MoS2. Phys Rev B, 2018, 98, 035408 doi: 10.1103/PhysRevB.98.035408
|
| [77] |
Son J, Kim K H, Ahn Y H, et al. Strain engineering of the berry curvature dipole and valley magnetization in monolayer MoS2. Phys Rev Lett, 2019, 123, 036806 doi: 10.1103/PhysRevLett.123.036806
|
| [78] |
Kormányos A, Zólyomi V, Drummond N D, et al. Monolayer MoS2: Trigonal warping, the Γ valley, and spin-orbit coupling effects. Phys Rev B, 2013, 88, 045416 doi: 10.1103/PhysRevB.88.045416
|
| [79] |
Xu C S, Feng J S, Prokhorenko S, et al. Topological spin texture in Janus monolayers of the chromium trihalides Cr(I, X)3. Phys Rev B, 2020, 101, 060404 doi: 10.1103/PhysRevB.101.060404
|
| [80] |
Liang J H, Wang W W, Du H F, et al. Very large Dzyaloshinskii-Moriya interaction in two-dimensional Janus manganese dichalcogenides and its application to realize skyrmion states. Phys Rev B, 2020, 101, 184401 doi: 10.1103/PhysRevB.101.184401
|
| [81] |
Duan X D, Wang C, Fan Z, et al. Synthesis of WS2 xSe2–2 x alloy nanosheets with composition-tunable electronic properties. Nano Lett, 2016, 16, 264 doi: 10.1021/acs.nanolett.5b03662
|
| [82] |
Karande S D, Kaushik N, Narang D S, et al. Thickness tunable transport in alloyed WSSe field effect transistors. Appl Phys Lett, 2016, 109, 142101 doi: 10.1063/1.4964289
|
Table 1. The structural parameters, band gaps, total magnetic moments $ {m}_{\mathrm{T}} $ (${\mu }_{\rm B}$) and local magnetic moments $ {m}_{\mathrm{V}} $ (${\mu }_{\rm B}$) of VXY monolayers are calculated. The lattice constant ($ a $ = b), bond length of V–X(l1) and V–Y(l2) are presented. In each VXY system, the atomic number of Y is greater than that of X, so that l1 < l2.
| Type | a, b (?) | l1, l2 (?) | $ {{\theta }}_{1},{{\theta }}_{2} $ (°) | $ {\Delta }{l},{\Delta }{\theta } $ | ${ {E} }_{\rm{c} }$ (eV) | ${ {m} }_{\rm{T} }$ (${ {\mu } }_{ \rm{B} }$) | ${ {m} }_{\rm{V} }$ (${ {m } }_{ \rm{B} }$) |
| VClSe | 3.255 | 2.479, 2.447 | 40.7, 39.8 | 0.03, 0.87 | –2.15 | 0.000 | 0.000 |
| VClTe | 3.397 | 2.676, 2.476 | 42.9, 37.6 | 0.20, 5.24 | –2.36 | 0.000 | 0.000 |
| VBrSe | 3.353 | 2.498, 2.581 | 39.2, 41.4 | 0.08, 2.20 | –1.64 | 0.000 | 0.000 |
| VBrTe | 3.485 | 2.689, 2.604 | 41.6, 39.4 | 0.09, 2.16 | –1.67 | 0.000 | 0.000 |
| VISe | 3.513 | 2.537, 2.753 | 36.9, 42.6 | 0.22, 5.63 | –3.36 | 0.000 | 0.000 |
| VITe | 3.618 | 2.716, 2.762 | 39.8, 40.9 | 0.02, 1.11 | –3.52 | 0.000 | 0.000 |
DownLoad: CSV
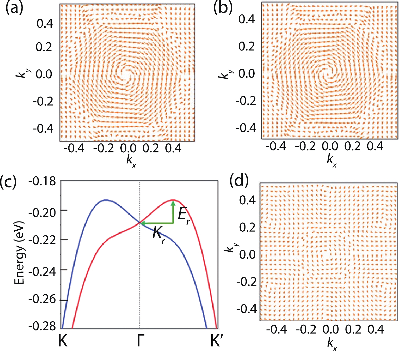
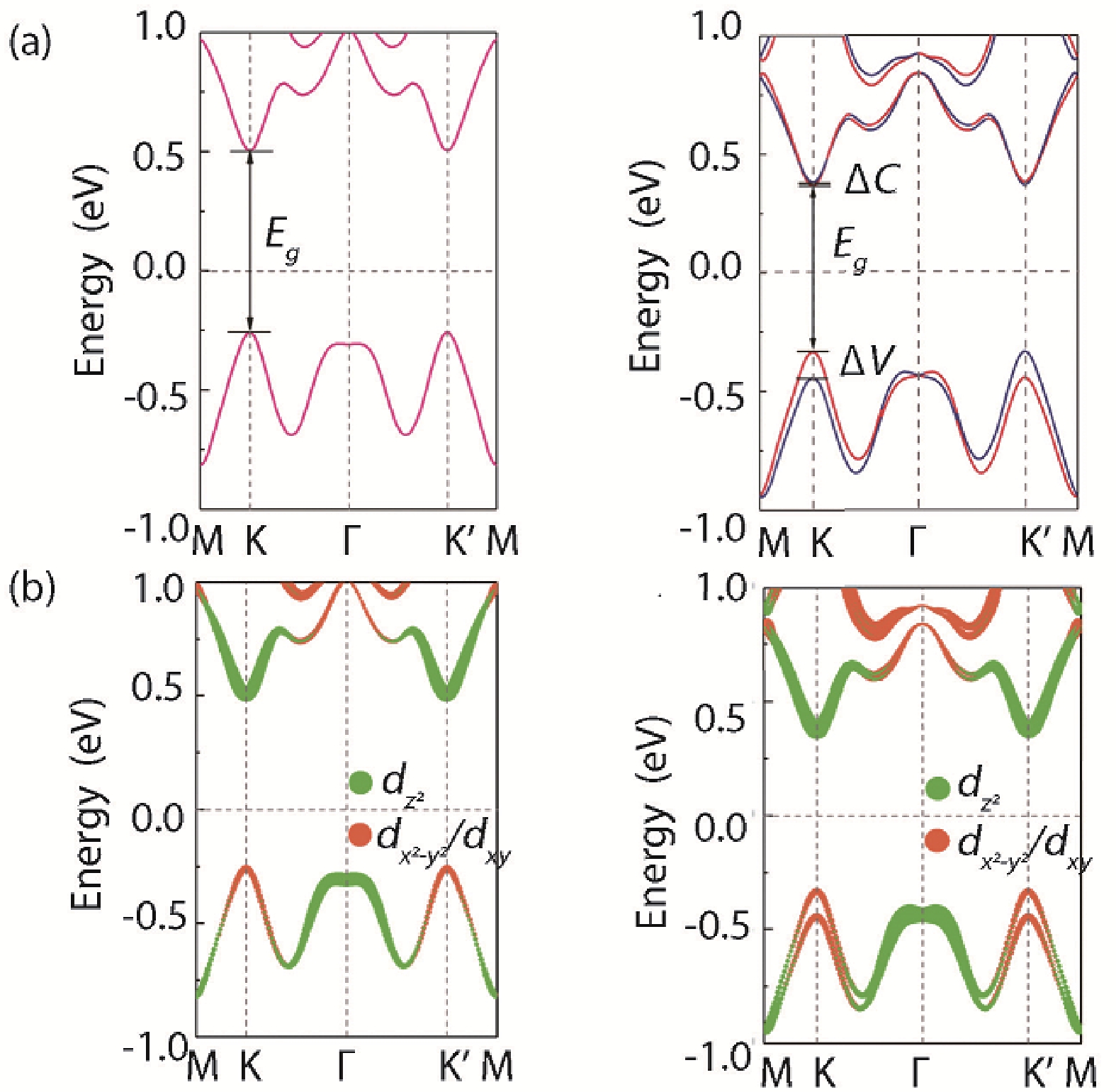
Table 2. Band structure analysis of VXY. ΔC and ΔV are the magnitude of the energy band split between the conduction band and the valence band at point K. Eg is the band gap at K point. $ {E}_{\mathrm{r}} $ and Kr are the splitting of the energy and wave vector. $ {\alpha }_{\mathrm{r}} $ is the Rashba parameter.
| Type | ΔC (meV) | ΔV (meV) | $ {E}_{\mathrm{g}} $ (eV) | $ {E}_{\rm{g}} $/SOC (eV) | $ {E}_{\rm{r}} $ (meV) | $ {K}_{\rm{r}} $ (?–1) | $ {\alpha }_{\mathrm{r}} $ (meV·?) |
| VClSe | 0.093 | 11 | 0.871 | 0.820 | 8.01 | 0.176 | 91.01 |
| VClTe | 0.135 | 18 | 0.734 | 0.654 | 10.02 | 0.168 | 119.26 |
| VBrSe | 0.111 | 14 | 0.758 | 0.694 | 15.04 | 0.170 | 176.89 |
| VBrTe | 0.150 | 18 | 0.646 | 0.558 | 8.98 | 0.141 | 127.39 |
| VISe | 0.132 | 15 | 0.614 | 0.540 | 28.04 | 0.144 | 389.43 |
| VITe | 0.166 | 17 | 0.532 | 0.438 | 67.93 | 0.192 | 707.60 |
DownLoad: CSV
| [1] |
Guo Y L, Zhang Y H, Yuan S J, et al. Chromium sulfide halide monolayers: Intrinsic ferromagnetic semiconductors with large spin polarization and high carrier mobility. Nanoscale, 2018, 10, 18036 doi: 10.1039/C8NR06368K
|
| [2] |
Zhang S J, Zhang C W, Zhang S F, et al. Intrinsic Dirac half-metal and quantum anomalous Hall phase in a hexagonal metal-oxide lattice. Phys Rev B, 2017, 96, 205433 doi: 10.1103/PhysRevB.96.205433
|
| [3] |
Novoselov K S, Jiang D, Schedin F, et al. Two-dimensional atomic crystals. PNAS, 2005, 102, 10451 doi: 10.1073/pnas.0502848102
|
| [4] |
Zhang M H, Zhang C W, Wang P J, et al. Prediction of high-temperature Chern insulator with half-metallic edge states in asymmetry-functionalized stanene. Nanoscale, 2018, 10, 20226 doi: 10.1039/C8NR07503D
|
| [5] |
Wang Y P, Ji W X, Zhang C W, et al. Discovery of intrinsic quantum anomalous Hall effect in organic Mn-DCA lattice. Appl Phys Lett, 2017, 110, 233107 doi: 10.1063/1.4985144
|
| [6] |
Li S S, Ji W X, Hu S J, et al. Effect of amidogen functionalization on quantum spin Hall effect in Bi/Sb(111) films. ACS Appl Mater Interfaces, 2017, 9, 41443 doi: 10.1021/acsami.7b13179
|
| [7] |
Novoselov K S, Geim A K, Morozov S V, et al. Electric field effect in atomically thin carbon films. Science, 2004, 306, 666 doi: 10.1126/science.1102896
|
| [8] |
Pesin D, MacDonald A H. Spintronics and pseudospintronics in graphene and topological insulators. Nat Mater, 2012, 11, 409 doi: 10.1038/nmat3305
|
| [9] |
Schaibley J R, Yu H Y, Clark G, et al. Valleytronics in 2D materials. Nat Rev Mater, 2016, 1, 16055 doi: 10.1038/natrevmats.2016.55
|
| [10] |
Li X, Cao T, Niu Q, et al. Coupling the valley degree of freedom to antiferromagnetic order. PNAS, 2013, 110, 3738 doi: 10.1073/pnas.1219420110
|
| [11] |
Wang J J, Liu S, Wang J, et al. Valley filter and valve effect by strong electrostatic potentials in graphene. Sci Rep, 2017, 7, 10236 doi: 10.1038/s41598-017-10460-5
|
| [12] |
Zhou J, Sun Q, Jena P. Valley-polarized quantum anomalous Hall effect in ferrimagnetic honeycomb lattices. Phys Rev Lett, 2017, 119, 046403 doi: 10.1103/PhysRevLett.119.046403
|
| [13] |
Zhang F, MacDonald A H, Mele E J. Valley Chern numbers and boundary modes in gapped bilayer graphene. PNAS, 2013, 110, 10546 doi: 10.1073/pnas.1308853110
|
| [14] |
Zhang M H, Zhang S F, Wang P J, et al. Emergence of a spin-valley Dirac semimetal in a strained group-VA monolayer. Nanoscale, 2020, 12, 3950 doi: 10.1039/C9NR09545D
|
| [15] |
Absor M A U, Santoso I, et al. Polarity tuning of spin-orbit-induced spin splitting in two-dimensional transition metal dichalcogenides semiconductors. J Appl Phys, 2017, 122, 153905 doi: 10.1063/1.5008475
|
| [16] |
Xu X, Yao W, Xiao D, et al. Spin and pseudospins in layered transition metal dichalcogenides. Nat Phys, 2014, 10, 343 doi: 10.1038/nphys2942
|
| [17] |
Zeng H L, Dai J F, Yao W, et al. Valley polarization in MoS2 monolayers by optical pumping. Nat Nanotechnol, 2012, 7, 490 doi: 10.1038/nnano.2012.95
|
| [18] |
Mak K F, McGill K L, Park J, et al. The valley Hall effect in MoS2 transistors. Science, 2014, 344, 1489 doi: 10.1126/science.1250140
|
| [19] |
Ma Y D, Kou L Z, Du A J, et al. Conduction-band valley spin splitting in single-layer H-Tl2O. Phys Rev B, 2018, 97, 035444 doi: 10.1103/PhysRevB.97.035444
|
| [20] |
Xu Z, Zhang Q Y, Shen Q, et al. First-principles prediction of Tl/SiC for valleytronics. J Mater Chem C, 2017, 5, 10427 doi: 10.1039/C7TC03799F
|
| [21] |
Ai H Q, Liu D, Geng J Z, et al. Theoretical evidence of the spin-valley coupling and valley polarization in two-dimensional MoSi2X4 (X = N, P, and As). Phys Chem Chem Phys, 2021, 23, 3144 doi: 10.1039/D0CP05926A
|
| [22] |
Yu Z M, Guan S, Sheng X L, et al. Valley-layer coupling: A new design principle for valleytronics. Phys Rev Lett, 2020, 124, 037701 doi: 10.1103/PhysRevLett.124.037701
|
| [23] |
Odkhuu D. Giant perpendicular magnetic anisotropy of an individual atom on two-dimensional transition metal dichalcogenides. Phys Rev B, 2016, 94, 060403 doi: 10.1103/PhysRevB.94.060403
|
| [24] |
Hu T, Jia F H, Zhao G D, et al. Intrinsic and anisotropic Rashba spin splitting in Janus transition-metal dichalcogenide monolayers. Phys Rev B, 2018, 97, 235404 doi: 10.1103/PhysRevB.97.235404
|
| [25] |
Lu A Y, Zhu H, Xiao J, et al. Janus monolayers of transition metal dichalcogenides. Nat Nanotechnol, 2017, 12, 744 doi: 10.1038/nnano.2017.100
|
| [26] |
Petri? M M, Kremser M, Barbone M, et al. Raman spectrum of Janus transition metal dichalcogenide monolayers WSSe and MoSSe. Phys Rev B, 2021, 103, 035414 doi: 10.1103/PhysRevB.103.035414
|
| [27] |
Long C, Dai Y, Gong Z R, et al. Robust type-II band alignment in Janus-MoSSe bilayer with extremely long carrier lifetime induced by the intrinsic electric field. Phys Rev B, 2019, 99, 115316 doi: 10.1103/PhysRevB.99.115316
|
| [28] |
Ji Y J, Yang M Y, Lin H P, et al. Janus structures of transition metal dichalcogenides as the heterojunction photocatalysts for water splitting. J Phys Chem C, 2018, 122, 3123 doi: 10.1021/acs.jpcc.7b11584
|
| [29] |
Guan Z Y, Ni S, Hu S L. Tunable electronic and optical properties of monolayer and multilayer Janus MoSSe as a photocatalyst for solar water splitting: A first-principles study. J Phys Chem C, 2018, 122, 6209 doi: 10.1021/acs.jpcc.8b00257
|
| [30] |
Dong L, Lou J, Shenoy V B. Large in-plane and vertical piezoelectricity in Janus transition metal dichalchogenides. ACS Nano, 2017, 11, 8242 doi: 10.1021/acsnano.7b03313
|
| [31] |
Zhang F, Mi W B, Wang X C. Spin-dependent electronic structure and magnetic anisotropy of 2D ferromagnetic Janus Cr2I3X3 (X = Br, Cl) monolayers. Adv Electron Mater, 2020, 6, 1900778 doi: 10.1002/aelm.201900778
|
| [32] |
Li R, Jiang J W, Shi X H, et al. Two-dimensional Janus FeXY (X, Y = Cl, Br, and I, X ≠ Y) monolayers: Half-metallic ferromagnets with tunable magnetic properties under strain. ACS Appl Mater Interfaces, 2021, 13, 38897 doi: 10.1021/acsami.1c10304
|
| [33] |
Li R, Jiang J W, Mi W B, et al. Room temperature spontaneous valley polarization in two-dimensional FeClBr monolayer. Nanoscale, 2021, 13, 14807 doi: 10.1039/D1NR04063D
|
| [34] |
Yao Q F, Cai J, Tong W Y, et al. Manipulation of the large Rashba spin splitting in polar two-dimensional transition-metal dichalcogenides. Phys Rev B, 2017, 95, 165401 doi: 10.1103/PhysRevB.95.165401
|
| [35] |
Peng R, Ma Y D, Zhang S, et al. Valley polarization in Janus single-layer MoSSe via magnetic doping. J Phys Chem Lett, 2018, 9, 3612 doi: 10.1021/acs.jpclett.8b01625
|
| [36] |
Zhang Z P, Niu J J, Yang P F, et al. Van der waals epitaxial growth of 2D metallic vanadium diselenide single crystals and their extra-high electrical conductivity. Adv Mater, 2017, 29, 1702359 doi: 10.1002/adma.201702359
|
| [37] |
Li R P, Cheng Y C, Huang W. Recent progress of Janus 2D transition metal chalcogenides: From theory to experiments. Small, 2018, 14, 1802091 doi: 10.1002/smll.201802091
|
| [38] |
Zhang J, Jia S, Kholmanov I, et al. Janus monolayer transition-metal dichalcogenides. ACS Nano, 2017, 11, 8192 doi: 10.1021/acsnano.7b03186
|
| [39] |
Liu G B, Shan W Y, Yao Y G, et al. Three-band tight-binding model for monolayers of group-VIB transition metal dichalcogenides. Phys Rev B, 2013, 88, 085433 doi: 10.1103/PhysRevB.88.085433
|
| [40] |
Liu G B, Xiao D, Yao Y G, et al. Electronic structures and theoretical modelling of two-dimensional group-VIB transition metal dichalcogenides. Chem Soc Rev, 2015, 44, 2643 doi: 10.1039/C4CS00301B
|
| [41] |
Wang Y Y, Wei W, Wang H, et al. Janus TiXY monolayers with tunable Berry curvature. J Phys Chem Lett, 2019, 10, 7426 doi: 10.1021/acs.jpclett.9b02853
|
| [42] |
Kresse G, Furthmüller J. Efficient iterative schemes for ab initio total-energy calculations using a plane-wave basis set. Phys Rev B, 1996, 54, 11169 doi: 10.1103/PhysRevB.54.11169
|
| [43] |
Perdew J P, Burke K, Ernzerhof M. Perdew, burke, and ernzerhof reply. Phys Rev Lett, 1998, 80, 891 doi: 10.1103/PhysRevLett.80.891
|
| [44] |
Perdew J P, Burke K, Ernzerhof M. Generalized gradient approximation made simple. Phys Rev Lett, 1996, 77, 3865 doi: 10.1103/PhysRevLett.77.3865
|
| [45] |
Kresse G, Joubert D. From ultrasoft pseudopotentials to the projector augmented-wave method. Phys Rev B, 1999, 59, 1758 doi: 10.1103/PhysRevB.59.1758
|
| [46] |
Calderon C E, Plata J J, Toher C, et al. The AFLOW standard for high-throughput materials science calculations. Comput Mater Sci, 2015, 108, 233 doi: 10.1016/j.commatsci.2015.07.019
|
| [47] |
Gonze X, Lee C. Dynamical matrices, Born effective charges, dielectric permittivity tensors, and interatomic force constants from density-functional perturbation theory. Phys Rev B, 1997, 55, 10355 doi: 10.1103/PhysRevB.55.10355
|
| [48] |
Togo A, Tanaka I. First principles phonon calculations in materials science. Scr Mater, 2015, 108, 1 doi: 10.1016/j.scriptamat.2015.07.021
|
| [49] |
Bucher D, Pierce L C T, McCammon J A, et al. On the use of accelerated molecular dynamics to enhance configurational sampling in ab initio simulations. J Chem Theory Comput, 2011, 7, 890 doi: 10.1021/ct100605v
|
| [50] |
Mostofi A A, Yates J R, Lee Y S, et al. Wannier90: A tool for obtaining maximally-localised Wannier functions. Comput Phys Commun, 2008, 178, 685 doi: 10.1016/j.cpc.2007.11.016
|
| [51] |
Smaili I, Laref S, Garcia J H, et al. Janus monolayers of magnetic transition metal dichalcogenides as an all-in-one platform for spin-orbit torque. Phys Rev B, 2021, 104, 104415 doi: 10.1103/PhysRevB.104.104415
|
| [52] |
Ding Y, Yang G F, Gu Y, et al. First-principles predictions of Janus MoSSe and WSSe for FET applications. J Phys Chem C, 2020, 124, 21197 doi: 10.1021/acs.jpcc.0c06772
|
| [53] |
Chen J J, Wu K, Hu W, et al. Spin-orbit coupling in 2D semiconductors: A theoretical perspective. J Phys Chem Lett, 2021, 12, 12256 doi: 10.1021/acs.jpclett.1c03662
|
| [54] |
Eremeev S V, Nechaev I A, Koroteev Y M, et al. Ideal two-dimensional electron systems with a giant Rashba-type spin splitting in real materials: Surfaces of bismuth tellurohalides. Phys Rev Lett, 2012, 108, 246802 doi: 10.1103/PhysRevLett.108.246802
|
| [55] |
Zhou W Z, Chen J Y, Yang Z X, et al. Geometry and electronic structure of monolayer, bilayer, and multilayer Janus WSSe. Phys Rev B, 2019, 99, 075160 doi: 10.1103/PhysRevB.99.075160
|
| [56] |
Jin H, Wang T, Gong Z R, et al. Prediction of an extremely long exciton lifetime in a Janus-MoSTe monolayer. Nanoscale, 2018, 10, 19310 doi: 10.1039/C8NR04568B
|
| [57] |
Cheng C, Sun J T, Chen X R, et al. Nonlinear Rashba spin splitting in transition metal dichalcogenide monolayers. Nanoscale, 2016, 8, 17854 doi: 10.1039/C6NR04235J
|
| [58] |
Zhang Q Y, Schwingenschl?gl U. Rashba effect and enriched spin-valley coupling in GaX/MX2 (M = Mo, W; X = S, Se, Te) heterostructures. Phys Rev B, 2018, 97, 155415 doi: 10.1103/PhysRevB.97.155415
|
| [59] |
Cheng Y C, Zhu Z Y, Tahir M, et al. Spin-orbit–induced spin splittings in polar transition metal dichalcogenide monolayers. EPL, 2013, 102, 57001 doi: 10.1209/0295-5075/102/57001
|
| [60] |
Liu Q H, Guo Y Z, Freeman A J. Tunable Rashba effect in two-dimensional LaOBiS2 films: Ultrathin candidates for spin field effect transistors. Nano Lett, 2013, 13, 5264 doi: 10.1021/nl4027346
|
| [61] |
Zhang D X, Zhou B Z. Controllable spin direction in nonmagnetic BX/MX2 (M = Mo or W; X = S, Se and Te) van der Waals heterostructures by switching between the Rashba splitting and valley polarization. J Mater Chem C, 2022, 10, 312 doi: 10.1039/D1TC03662A
|
| [62] |
Kormányos A, Zólyomi V, Drummond N D, et al. Spin-orbit coupling, quantum dots, and qubits in monolayer transition metal dichalcogenides. Phys Rev X, 2014, 4, 011034 doi: 10.1103/PhysRevX.4.039901
|
| [63] |
Mak K F, He K, Shan J, et al. Control of valley polarization in monolayer MoS2 by optical helicity. Nat Nanotechnol, 2012, 7, 494 doi: 10.1038/nnano.2012.96
|
| [64] |
Zhang Q Y, Yang S A, Mi W B, et al. Large spin-valley polarization in monolayer MoTe2 on top of EuO(111). Adv Mater, 2016, 28, 959 doi: 10.1002/adma.201502585
|
| [65] |
Zhao C, Norden T, Zhang P, et al. Enhanced valley splitting in monolayer WSe2 due to magnetic exchange field. Nat Nanotechnol, 2017, 12, 757 doi: 10.1038/nnano.2017.68
|
| [66] |
Seyler K L, Zhong D, Huang B, et al. Valley manipulation by optically tuning the magnetic proximity effect in WSe2/CrI3 heterostructures. Nano Lett, 2018, 18, 3823 doi: 10.1021/acs.nanolett.8b01105
|
| [67] |
Zhou J, Jena P. Giant valley splitting and valley polarized plasmonics in group V transition-metal dichalcogenide monolayers. J Phys Chem Lett, 2017, 8, 5764 doi: 10.1021/acs.jpclett.7b02507
|
| [68] |
Singh N, Schwingenschl?gl U. A route to permanent valley polarization in monolayer MoS2. Adv Mater, 2017, 29, 1600970 doi: 10.1002/adma.201600970
|
| [69] |
Chen X F, Zhong L S, Li X, et al. Valley splitting in the transition-metal dichalcogenide monolayer via atom adsorption. Nanoscale, 2017, 9, 2188 doi: 10.1039/C6NR05710A
|
| [70] |
Xu X L, Ma Y D, Zhang T, et al. Nonmetal-atom-doping-induced valley polarization in single-layer Tl2O. J Phys Chem Lett, 2019, 10, 4535 doi: 10.1021/acs.jpclett.9b01602
|
| [71] |
Poncé S, Margine E R, Giustino F. Towards predictive many-body calculations of phonon-limited carrier mobilities in semiconductors. Phys Rev B, 2018, 97, 121201 doi: 10.1103/PhysRevB.97.121201
|
| [72] |
Zhang X O, Shan W Y, Xiao D. Optical selection rule of excitons in gapped chiral fermion systems. Phys Rev Lett, 2018, 120, 077401 doi: 10.1103/PhysRevLett.120.077401
|
| [73] |
Xie L, Cui X D. Manipulating spin-polarized photocurrents in 2D transition metal dichalcogenides. PNAS, 2016, 113, 3746 doi: 10.1073/pnas.1523012113
|
| [74] |
Xiao D, Liu G B, Feng W X, et al. Coupled spin and valley physics in monolayers of MoS2 and other group-VI dichalcogenides. Phys Rev Lett, 2012, 108, 196802 doi: 10.1103/PhysRevLett.108.196802
|
| [75] |
Zhu B R, Zeng H L, Dai J F, et al. Anomalously robust valley polarization and valley coherence in bilayer WS2. PNAS, 2014, 111, 11606 doi: 10.1073/pnas.1406960111
|
| [76] |
Kormányos A, Zólyomi V, Fal'ko V I, et al. Tunable Berry curvature and valley and spin Hall effect in bilayer MoS2. Phys Rev B, 2018, 98, 035408 doi: 10.1103/PhysRevB.98.035408
|
| [77] |
Son J, Kim K H, Ahn Y H, et al. Strain engineering of the berry curvature dipole and valley magnetization in monolayer MoS2. Phys Rev Lett, 2019, 123, 036806 doi: 10.1103/PhysRevLett.123.036806
|
| [78] |
Kormányos A, Zólyomi V, Drummond N D, et al. Monolayer MoS2: Trigonal warping, the Γ valley, and spin-orbit coupling effects. Phys Rev B, 2013, 88, 045416 doi: 10.1103/PhysRevB.88.045416
|
| [79] |
Xu C S, Feng J S, Prokhorenko S, et al. Topological spin texture in Janus monolayers of the chromium trihalides Cr(I, X)3. Phys Rev B, 2020, 101, 060404 doi: 10.1103/PhysRevB.101.060404
|
| [80] |
Liang J H, Wang W W, Du H F, et al. Very large Dzyaloshinskii-Moriya interaction in two-dimensional Janus manganese dichalcogenides and its application to realize skyrmion states. Phys Rev B, 2020, 101, 184401 doi: 10.1103/PhysRevB.101.184401
|
| [81] |
Duan X D, Wang C, Fan Z, et al. Synthesis of WS2 xSe2–2 x alloy nanosheets with composition-tunable electronic properties. Nano Lett, 2016, 16, 264 doi: 10.1021/acs.nanolett.5b03662
|
| [82] |
Karande S D, Kaushik N, Narang D S, et al. Thickness tunable transport in alloyed WSSe field effect transistors. Appl Phys Lett, 2016, 109, 142101 doi: 10.1063/1.4964289
|
Article views: 3020 Times PDF downloads: 199 Times Cited by: 0 Times
Received: 29 December 2021 Revised: 16 January 2022 Online: Accepted Manuscript: 09 March 2022Uncorrected proof: 10 March 2022Published: 18 April 2022
| Citation: |
Wenrong Liu, Xinyang Li, Changwen Zhang, Shishen Yan. Janus VXY monolayers with tunable large Berry curvature[J]. Journal of Semiconductors, 2022, 43(4): 042501. doi: 10.1088/1674-4926/43/4/042501
****
W R Liu, X Y Li, C W Zhang, S S Yan. Janus VXY monolayers with tunable large Berry curvature[J]. J. Semicond, 2022, 43(4): 042501. doi: 10.1088/1674-4926/43/4/042501
|
| [1] |
Guo Y L, Zhang Y H, Yuan S J, et al. Chromium sulfide halide monolayers: Intrinsic ferromagnetic semiconductors with large spin polarization and high carrier mobility. Nanoscale, 2018, 10, 18036 doi: 10.1039/C8NR06368K
|
| [2] |
Zhang S J, Zhang C W, Zhang S F, et al. Intrinsic Dirac half-metal and quantum anomalous Hall phase in a hexagonal metal-oxide lattice. Phys Rev B, 2017, 96, 205433 doi: 10.1103/PhysRevB.96.205433
|
| [3] |
Novoselov K S, Jiang D, Schedin F, et al. Two-dimensional atomic crystals. PNAS, 2005, 102, 10451 doi: 10.1073/pnas.0502848102
|
| [4] |
Zhang M H, Zhang C W, Wang P J, et al. Prediction of high-temperature Chern insulator with half-metallic edge states in asymmetry-functionalized stanene. Nanoscale, 2018, 10, 20226 doi: 10.1039/C8NR07503D
|
| [5] |
Wang Y P, Ji W X, Zhang C W, et al. Discovery of intrinsic quantum anomalous Hall effect in organic Mn-DCA lattice. Appl Phys Lett, 2017, 110, 233107 doi: 10.1063/1.4985144
|
| [6] |
Li S S, Ji W X, Hu S J, et al. Effect of amidogen functionalization on quantum spin Hall effect in Bi/Sb(111) films. ACS Appl Mater Interfaces, 2017, 9, 41443 doi: 10.1021/acsami.7b13179
|
| [7] |
Novoselov K S, Geim A K, Morozov S V, et al. Electric field effect in atomically thin carbon films. Science, 2004, 306, 666 doi: 10.1126/science.1102896
|
| [8] |
Pesin D, MacDonald A H. Spintronics and pseudospintronics in graphene and topological insulators. Nat Mater, 2012, 11, 409 doi: 10.1038/nmat3305
|
| [9] |
Schaibley J R, Yu H Y, Clark G, et al. Valleytronics in 2D materials. Nat Rev Mater, 2016, 1, 16055 doi: 10.1038/natrevmats.2016.55
|
| [10] |
Li X, Cao T, Niu Q, et al. Coupling the valley degree of freedom to antiferromagnetic order. PNAS, 2013, 110, 3738 doi: 10.1073/pnas.1219420110
|
| [11] |
Wang J J, Liu S, Wang J, et al. Valley filter and valve effect by strong electrostatic potentials in graphene. Sci Rep, 2017, 7, 10236 doi: 10.1038/s41598-017-10460-5
|
| [12] |
Zhou J, Sun Q, Jena P. Valley-polarized quantum anomalous Hall effect in ferrimagnetic honeycomb lattices. Phys Rev Lett, 2017, 119, 046403 doi: 10.1103/PhysRevLett.119.046403
|
| [13] |
Zhang F, MacDonald A H, Mele E J. Valley Chern numbers and boundary modes in gapped bilayer graphene. PNAS, 2013, 110, 10546 doi: 10.1073/pnas.1308853110
|
| [14] |
Zhang M H, Zhang S F, Wang P J, et al. Emergence of a spin-valley Dirac semimetal in a strained group-VA monolayer. Nanoscale, 2020, 12, 3950 doi: 10.1039/C9NR09545D
|
| [15] |
Absor M A U, Santoso I, et al. Polarity tuning of spin-orbit-induced spin splitting in two-dimensional transition metal dichalcogenides semiconductors. J Appl Phys, 2017, 122, 153905 doi: 10.1063/1.5008475
|
| [16] |
Xu X, Yao W, Xiao D, et al. Spin and pseudospins in layered transition metal dichalcogenides. Nat Phys, 2014, 10, 343 doi: 10.1038/nphys2942
|
| [17] |
Zeng H L, Dai J F, Yao W, et al. Valley polarization in MoS2 monolayers by optical pumping. Nat Nanotechnol, 2012, 7, 490 doi: 10.1038/nnano.2012.95
|
| [18] |
Mak K F, McGill K L, Park J, et al. The valley Hall effect in MoS2 transistors. Science, 2014, 344, 1489 doi: 10.1126/science.1250140
|
| [19] |
Ma Y D, Kou L Z, Du A J, et al. Conduction-band valley spin splitting in single-layer H-Tl2O. Phys Rev B, 2018, 97, 035444 doi: 10.1103/PhysRevB.97.035444
|
| [20] |
Xu Z, Zhang Q Y, Shen Q, et al. First-principles prediction of Tl/SiC for valleytronics. J Mater Chem C, 2017, 5, 10427 doi: 10.1039/C7TC03799F
|
| [21] |
Ai H Q, Liu D, Geng J Z, et al. Theoretical evidence of the spin-valley coupling and valley polarization in two-dimensional MoSi2X4 (X = N, P, and As). Phys Chem Chem Phys, 2021, 23, 3144 doi: 10.1039/D0CP05926A
|
| [22] |
Yu Z M, Guan S, Sheng X L, et al. Valley-layer coupling: A new design principle for valleytronics. Phys Rev Lett, 2020, 124, 037701 doi: 10.1103/PhysRevLett.124.037701
|
| [23] |
Odkhuu D. Giant perpendicular magnetic anisotropy of an individual atom on two-dimensional transition metal dichalcogenides. Phys Rev B, 2016, 94, 060403 doi: 10.1103/PhysRevB.94.060403
|
| [24] |
Hu T, Jia F H, Zhao G D, et al. Intrinsic and anisotropic Rashba spin splitting in Janus transition-metal dichalcogenide monolayers. Phys Rev B, 2018, 97, 235404 doi: 10.1103/PhysRevB.97.235404
|
| [25] |
Lu A Y, Zhu H, Xiao J, et al. Janus monolayers of transition metal dichalcogenides. Nat Nanotechnol, 2017, 12, 744 doi: 10.1038/nnano.2017.100
|
| [26] |
Petri? M M, Kremser M, Barbone M, et al. Raman spectrum of Janus transition metal dichalcogenide monolayers WSSe and MoSSe. Phys Rev B, 2021, 103, 035414 doi: 10.1103/PhysRevB.103.035414
|
| [27] |
Long C, Dai Y, Gong Z R, et al. Robust type-II band alignment in Janus-MoSSe bilayer with extremely long carrier lifetime induced by the intrinsic electric field. Phys Rev B, 2019, 99, 115316 doi: 10.1103/PhysRevB.99.115316
|
| [28] |
Ji Y J, Yang M Y, Lin H P, et al. Janus structures of transition metal dichalcogenides as the heterojunction photocatalysts for water splitting. J Phys Chem C, 2018, 122, 3123 doi: 10.1021/acs.jpcc.7b11584
|
| [29] |
Guan Z Y, Ni S, Hu S L. Tunable electronic and optical properties of monolayer and multilayer Janus MoSSe as a photocatalyst for solar water splitting: A first-principles study. J Phys Chem C, 2018, 122, 6209 doi: 10.1021/acs.jpcc.8b00257
|
| [30] |
Dong L, Lou J, Shenoy V B. Large in-plane and vertical piezoelectricity in Janus transition metal dichalchogenides. ACS Nano, 2017, 11, 8242 doi: 10.1021/acsnano.7b03313
|
| [31] |
Zhang F, Mi W B, Wang X C. Spin-dependent electronic structure and magnetic anisotropy of 2D ferromagnetic Janus Cr2I3X3 (X = Br, Cl) monolayers. Adv Electron Mater, 2020, 6, 1900778 doi: 10.1002/aelm.201900778
|
| [32] |
Li R, Jiang J W, Shi X H, et al. Two-dimensional Janus FeXY (X, Y = Cl, Br, and I, X ≠ Y) monolayers: Half-metallic ferromagnets with tunable magnetic properties under strain. ACS Appl Mater Interfaces, 2021, 13, 38897 doi: 10.1021/acsami.1c10304
|
| [33] |
Li R, Jiang J W, Mi W B, et al. Room temperature spontaneous valley polarization in two-dimensional FeClBr monolayer. Nanoscale, 2021, 13, 14807 doi: 10.1039/D1NR04063D
|
| [34] |
Yao Q F, Cai J, Tong W Y, et al. Manipulation of the large Rashba spin splitting in polar two-dimensional transition-metal dichalcogenides. Phys Rev B, 2017, 95, 165401 doi: 10.1103/PhysRevB.95.165401
|
| [35] |
Peng R, Ma Y D, Zhang S, et al. Valley polarization in Janus single-layer MoSSe via magnetic doping. J Phys Chem Lett, 2018, 9, 3612 doi: 10.1021/acs.jpclett.8b01625
|
| [36] |
Zhang Z P, Niu J J, Yang P F, et al. Van der waals epitaxial growth of 2D metallic vanadium diselenide single crystals and their extra-high electrical conductivity. Adv Mater, 2017, 29, 1702359 doi: 10.1002/adma.201702359
|
| [37] |
Li R P, Cheng Y C, Huang W. Recent progress of Janus 2D transition metal chalcogenides: From theory to experiments. Small, 2018, 14, 1802091 doi: 10.1002/smll.201802091
|
| [38] |
Zhang J, Jia S, Kholmanov I, et al. Janus monolayer transition-metal dichalcogenides. ACS Nano, 2017, 11, 8192 doi: 10.1021/acsnano.7b03186
|
| [39] |
Liu G B, Shan W Y, Yao Y G, et al. Three-band tight-binding model for monolayers of group-VIB transition metal dichalcogenides. Phys Rev B, 2013, 88, 085433 doi: 10.1103/PhysRevB.88.085433
|
| [40] |
Liu G B, Xiao D, Yao Y G, et al. Electronic structures and theoretical modelling of two-dimensional group-VIB transition metal dichalcogenides. Chem Soc Rev, 2015, 44, 2643 doi: 10.1039/C4CS00301B
|
| [41] |
Wang Y Y, Wei W, Wang H, et al. Janus TiXY monolayers with tunable Berry curvature. J Phys Chem Lett, 2019, 10, 7426 doi: 10.1021/acs.jpclett.9b02853
|
| [42] |
Kresse G, Furthmüller J. Efficient iterative schemes for ab initio total-energy calculations using a plane-wave basis set. Phys Rev B, 1996, 54, 11169 doi: 10.1103/PhysRevB.54.11169
|
| [43] |
Perdew J P, Burke K, Ernzerhof M. Perdew, burke, and ernzerhof reply. Phys Rev Lett, 1998, 80, 891 doi: 10.1103/PhysRevLett.80.891
|
| [44] |
Perdew J P, Burke K, Ernzerhof M. Generalized gradient approximation made simple. Phys Rev Lett, 1996, 77, 3865 doi: 10.1103/PhysRevLett.77.3865
|
| [45] |
Kresse G, Joubert D. From ultrasoft pseudopotentials to the projector augmented-wave method. Phys Rev B, 1999, 59, 1758 doi: 10.1103/PhysRevB.59.1758
|
| [46] |
Calderon C E, Plata J J, Toher C, et al. The AFLOW standard for high-throughput materials science calculations. Comput Mater Sci, 2015, 108, 233 doi: 10.1016/j.commatsci.2015.07.019
|
| [47] |
Gonze X, Lee C. Dynamical matrices, Born effective charges, dielectric permittivity tensors, and interatomic force constants from density-functional perturbation theory. Phys Rev B, 1997, 55, 10355 doi: 10.1103/PhysRevB.55.10355
|
| [48] |
Togo A, Tanaka I. First principles phonon calculations in materials science. Scr Mater, 2015, 108, 1 doi: 10.1016/j.scriptamat.2015.07.021
|
| [49] |
Bucher D, Pierce L C T, McCammon J A, et al. On the use of accelerated molecular dynamics to enhance configurational sampling in ab initio simulations. J Chem Theory Comput, 2011, 7, 890 doi: 10.1021/ct100605v
|
| [50] |
Mostofi A A, Yates J R, Lee Y S, et al. Wannier90: A tool for obtaining maximally-localised Wannier functions. Comput Phys Commun, 2008, 178, 685 doi: 10.1016/j.cpc.2007.11.016
|
| [51] |
Smaili I, Laref S, Garcia J H, et al. Janus monolayers of magnetic transition metal dichalcogenides as an all-in-one platform for spin-orbit torque. Phys Rev B, 2021, 104, 104415 doi: 10.1103/PhysRevB.104.104415
|
| [52] |
Ding Y, Yang G F, Gu Y, et al. First-principles predictions of Janus MoSSe and WSSe for FET applications. J Phys Chem C, 2020, 124, 21197 doi: 10.1021/acs.jpcc.0c06772
|
| [53] |
Chen J J, Wu K, Hu W, et al. Spin-orbit coupling in 2D semiconductors: A theoretical perspective. J Phys Chem Lett, 2021, 12, 12256 doi: 10.1021/acs.jpclett.1c03662
|
| [54] |
Eremeev S V, Nechaev I A, Koroteev Y M, et al. Ideal two-dimensional electron systems with a giant Rashba-type spin splitting in real materials: Surfaces of bismuth tellurohalides. Phys Rev Lett, 2012, 108, 246802 doi: 10.1103/PhysRevLett.108.246802
|
| [55] |
Zhou W Z, Chen J Y, Yang Z X, et al. Geometry and electronic structure of monolayer, bilayer, and multilayer Janus WSSe. Phys Rev B, 2019, 99, 075160 doi: 10.1103/PhysRevB.99.075160
|
| [56] |
Jin H, Wang T, Gong Z R, et al. Prediction of an extremely long exciton lifetime in a Janus-MoSTe monolayer. Nanoscale, 2018, 10, 19310 doi: 10.1039/C8NR04568B
|
| [57] |
Cheng C, Sun J T, Chen X R, et al. Nonlinear Rashba spin splitting in transition metal dichalcogenide monolayers. Nanoscale, 2016, 8, 17854 doi: 10.1039/C6NR04235J
|
| [58] |
Zhang Q Y, Schwingenschl?gl U. Rashba effect and enriched spin-valley coupling in GaX/MX2 (M = Mo, W; X = S, Se, Te) heterostructures. Phys Rev B, 2018, 97, 155415 doi: 10.1103/PhysRevB.97.155415
|
| [59] |
Cheng Y C, Zhu Z Y, Tahir M, et al. Spin-orbit–induced spin splittings in polar transition metal dichalcogenide monolayers. EPL, 2013, 102, 57001 doi: 10.1209/0295-5075/102/57001
|
| [60] |
Liu Q H, Guo Y Z, Freeman A J. Tunable Rashba effect in two-dimensional LaOBiS2 films: Ultrathin candidates for spin field effect transistors. Nano Lett, 2013, 13, 5264 doi: 10.1021/nl4027346
|
| [61] |
Zhang D X, Zhou B Z. Controllable spin direction in nonmagnetic BX/MX2 (M = Mo or W; X = S, Se and Te) van der Waals heterostructures by switching between the Rashba splitting and valley polarization. J Mater Chem C, 2022, 10, 312 doi: 10.1039/D1TC03662A
|
| [62] |
Kormányos A, Zólyomi V, Drummond N D, et al. Spin-orbit coupling, quantum dots, and qubits in monolayer transition metal dichalcogenides. Phys Rev X, 2014, 4, 011034 doi: 10.1103/PhysRevX.4.039901
|
| [63] |
Mak K F, He K, Shan J, et al. Control of valley polarization in monolayer MoS2 by optical helicity. Nat Nanotechnol, 2012, 7, 494 doi: 10.1038/nnano.2012.96
|
| [64] |
Zhang Q Y, Yang S A, Mi W B, et al. Large spin-valley polarization in monolayer MoTe2 on top of EuO(111). Adv Mater, 2016, 28, 959 doi: 10.1002/adma.201502585
|
| [65] |
Zhao C, Norden T, Zhang P, et al. Enhanced valley splitting in monolayer WSe2 due to magnetic exchange field. Nat Nanotechnol, 2017, 12, 757 doi: 10.1038/nnano.2017.68
|
| [66] |
Seyler K L, Zhong D, Huang B, et al. Valley manipulation by optically tuning the magnetic proximity effect in WSe2/CrI3 heterostructures. Nano Lett, 2018, 18, 3823 doi: 10.1021/acs.nanolett.8b01105
|
| [67] |
Zhou J, Jena P. Giant valley splitting and valley polarized plasmonics in group V transition-metal dichalcogenide monolayers. J Phys Chem Lett, 2017, 8, 5764 doi: 10.1021/acs.jpclett.7b02507
|
| [68] |
Singh N, Schwingenschl?gl U. A route to permanent valley polarization in monolayer MoS2. Adv Mater, 2017, 29, 1600970 doi: 10.1002/adma.201600970
|
| [69] |
Chen X F, Zhong L S, Li X, et al. Valley splitting in the transition-metal dichalcogenide monolayer via atom adsorption. Nanoscale, 2017, 9, 2188 doi: 10.1039/C6NR05710A
|
| [70] |
Xu X L, Ma Y D, Zhang T, et al. Nonmetal-atom-doping-induced valley polarization in single-layer Tl2O. J Phys Chem Lett, 2019, 10, 4535 doi: 10.1021/acs.jpclett.9b01602
|
| [71] |
Poncé S, Margine E R, Giustino F. Towards predictive many-body calculations of phonon-limited carrier mobilities in semiconductors. Phys Rev B, 2018, 97, 121201 doi: 10.1103/PhysRevB.97.121201
|
| [72] |
Zhang X O, Shan W Y, Xiao D. Optical selection rule of excitons in gapped chiral fermion systems. Phys Rev Lett, 2018, 120, 077401 doi: 10.1103/PhysRevLett.120.077401
|
| [73] |
Xie L, Cui X D. Manipulating spin-polarized photocurrents in 2D transition metal dichalcogenides. PNAS, 2016, 113, 3746 doi: 10.1073/pnas.1523012113
|
| [74] |
Xiao D, Liu G B, Feng W X, et al. Coupled spin and valley physics in monolayers of MoS2 and other group-VI dichalcogenides. Phys Rev Lett, 2012, 108, 196802 doi: 10.1103/PhysRevLett.108.196802
|
| [75] |
Zhu B R, Zeng H L, Dai J F, et al. Anomalously robust valley polarization and valley coherence in bilayer WS2. PNAS, 2014, 111, 11606 doi: 10.1073/pnas.1406960111
|
| [76] |
Kormányos A, Zólyomi V, Fal'ko V I, et al. Tunable Berry curvature and valley and spin Hall effect in bilayer MoS2. Phys Rev B, 2018, 98, 035408 doi: 10.1103/PhysRevB.98.035408
|
| [77] |
Son J, Kim K H, Ahn Y H, et al. Strain engineering of the berry curvature dipole and valley magnetization in monolayer MoS2. Phys Rev Lett, 2019, 123, 036806 doi: 10.1103/PhysRevLett.123.036806
|
| [78] |
Kormányos A, Zólyomi V, Drummond N D, et al. Monolayer MoS2: Trigonal warping, the Γ valley, and spin-orbit coupling effects. Phys Rev B, 2013, 88, 045416 doi: 10.1103/PhysRevB.88.045416
|
| [79] |
Xu C S, Feng J S, Prokhorenko S, et al. Topological spin texture in Janus monolayers of the chromium trihalides Cr(I, X)3. Phys Rev B, 2020, 101, 060404 doi: 10.1103/PhysRevB.101.060404
|
| [80] |
Liang J H, Wang W W, Du H F, et al. Very large Dzyaloshinskii-Moriya interaction in two-dimensional Janus manganese dichalcogenides and its application to realize skyrmion states. Phys Rev B, 2020, 101, 184401 doi: 10.1103/PhysRevB.101.184401
|
| [81] |
Duan X D, Wang C, Fan Z, et al. Synthesis of WS2 xSe2–2 x alloy nanosheets with composition-tunable electronic properties. Nano Lett, 2016, 16, 264 doi: 10.1021/acs.nanolett.5b03662
|
| [82] |
Karande S D, Kaushik N, Narang D S, et al. Thickness tunable transport in alloyed WSSe field effect transistors. Appl Phys Lett, 2016, 109, 142101 doi: 10.1063/1.4964289
|
2022042501suppl.pdf
|
|
Journal of Semiconductors © 2017 All Rights Reserved 京ICP備05085259號(hào)-2