ARTICLES
Xiangrui Meng, Changchun Chai, Fuxing Li, Yi Sun and Yintang Yang
Corresponding author: Fuxing Li, lifuxing2018@163.com
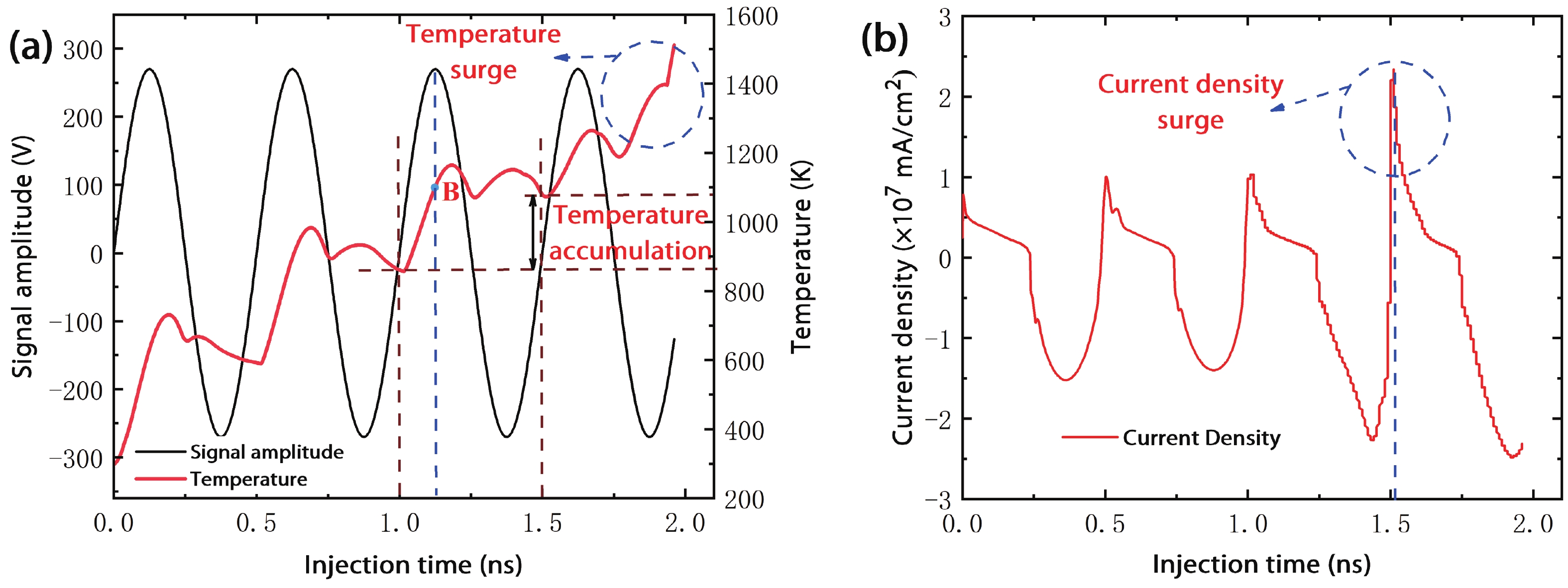
Abstract: The high-power microwave (HPM) effect heats solar cells, which is an important component of a satellite. This creates a serious reliability problem and affects the normal operation of a satellite. In this paper, the different HPM response characteristics of two kinds of solar cells are comparatively researched by simulation. The results show that there are similarities and differences in hot spot distribution and damage mechanisms between both kinds of solar cell, which are related to the amplitude of HPM. In addition, the duty cycle of repetition frequency contributes more to the temperature accumulation of the solar cells than the carrier frequency. These results will help future research of damage assessment technology, reliability enhancement and the selection of materials for solar cells.
Key words: solar cells, silicon, GaAs, HPM, repetition frequency, response characteristics
| [1] |
Schirone L, Ferrara M, Granello P, et al. Power bus management techniques for space missions in low earth orbit. Energies, 2021, 14(23), 7932 doi: 10.3390/en14237932
|
| [2] |
Cao M, Zhang T, Liu Y, et al. A performance degradation model of solar cells in an on-orbit resource satellite based on peak currents. Sol Energy, 2019, 189, 26 doi: 10.1016/j.solener.2019.07.030
|
| [3] |
Krishna H A, Misra N K, Suresh M S. Use of solar cells for measuring temperature of solar cell blanket in spacecrafts. Sol Energy Mater Sol Cells, 2012, 102, 184 doi: 10.1016/j.solmat.2012.03.004
|
| [4] |
Min S H, Jung H, Kwon O, et al. Analysis of electromagnetic pulse effects under high-power microwave sources. IEEE Access, 2021, 9, 136775 doi: 10.1109/ACCESS.2021.3117395
|
| [5] |
Aburaya T, Hisamatsu T, Matsuda S. Analysis of 10 years' flight data of solar cell monitor on ETS-V. Sol Energy Mater Sol Cells, 2001, 68(1), 15 doi: 10.1016/S0927-0248(00)00342-1
|
| [6] |
Hoad R, Radasky W A. Progress in high-altitude electromagnetic pulse (HEMP) standardization. IEEE Tran Electromagn Compat, 2013, 55(3), 532 doi: 10.1109/TEMC.2012.2234753
|
| [7] |
Li Z P, Li J, Sun J, et al. High power microwave damage mechanism on high electron mobility transistor. Acta Phys Sin, 2016, 65(16), 168501 doi: 10.7498/aps.65.168501
|
| [8] |
Kichouliya R, Thomas M J. Interaction of high power electromagnetic pulses with power cables and electronic systems. 2016 IEEE International Symposium on Electromagnetic Compatibility (EMC), 2016, 159 doi: 10.1109/ISEMC.2016.7571636
|
| [9] |
Brauer F, Sabath F, ter Haseborg J L. Susceptibility of IT network systems to interferences by HPEM. 2009 IEEE International Symposium on Electromagnetic Compatibility, 2009, 237 doi: 10.1109/ISEMC.2009.5284569
|
| [10] |
Liu Y, Chai C C, Yu X H, et al. Damage effects and mechanism of the GaN high electron mobility transistor caused by high electromagnetic pulse. Acta Phys Sin, 2016, 65(3), 038402 doi: 10.7498/aps.65.038402
|
| [11] |
Zhang J Q, Liang Z S. Effects of high-altitude electromagnetic pulse on overhead pipeline. Int J Appl Electromagn Mechan, 2018, 57, 1 doi: 10.3233/JAE-170137
|
| [12] |
Hao C, Jiang C. Robust wireless sensor network against strong electromagnetic pulse. IEEE Sens J, 2021, 21(4), 5572 doi: 10.1109/JSEN.2020.3035171
|
| [13] |
Li J, Aierken A, Liu Y, et al. A brief review of high efficiency III-V solar cells for space application. Front Phys, 2021, 8, 631925 doi: 10.3389/fphy.2020.631925
|
| [14] |
Gaddy E M. Cost performance of multi-junction, gallium arsenide, and silicon solar cells on spacecraft. Conference Record of the Twenty Fifth IEEE Photovoltaic Specialists Conference, 1996, 293 doi: 10.1109/PVSC.1996.564003
|
| [15] |
Rehman A U, Lee S H, Lee S H. Silicon space solar cells: progression and radiation-resistance analysis. J Korean Phys Soc, 2016, 68(4), 593 doi: 10.3938/jkps.68.593
|
| [16] |
Lee Y J, Kim B S, Ifitiquar S, et al. Silicon solar cells: Past, present and the future. J Korean Phys Soc, 2014, 65, 355 doi: 10.3938/jkps.65.355
|
| [17] |
Razykov T M, Ferekides C, Morel D L, et al. Solar photovoltaic electricity: Current status and future prospects. Sol Energy, 2011, 85, 1580 doi: 10.1016/j.solener.2010.12.002
|
| [18] |
Gabetta G, Cospito D, Campesato R, et al. Qualification of low cost triple junction GaInP/GaAs/Ge solar cell assemblies with external bypass diode connected by insulated cell P/diode N interconnects. 2019 European Space Power Conference, 2019 doi: 10.1109/ESPC.2019.8932072
|
| [19] |
Booker K, Mayon Y, Jones C, et al. GaAs sliver solar cells for linear microconcentrator applications. 2020 47th IEEE Photovoltaic Specialists Conference, 2020 doi: 10.1109/PVSC45281.2020.9300521
|
| [20] |
Kawakita S, Imaizumi M, Makita K, et al. High efficiency and radiation resistant InGaP/GaAs//CIGS stacked solar cells for space applications. 2016 IEEE 43rd Photovoltaic Specialists Conference (PVSC), 2016, 2574 doi: KawakitaS,ImaizumiM,MakitaK,etal
|
| [21] |
Xue Z H, Xu L, Lu Z R. Coupling simulation analysis of high power electromagnetic pulse on solar cell. J Microwaves, 2020, S01, 355
|
| [22] |
Wang H, Chai C, Liu Y, et al. Damage effects and mechanism of GaAs solar cells induced by high-power microwaves. IEICE Electron Express, 2021, 18, 1 doi: 10.1587/elex.18.20210020
|
| [23] |
Yoon H, Granata J E, Hebert P, et al. Recent advances in high-efficiency III-V multi-junction solar cells for space applications: Ultra triple junction qualification. Prog Photovolt, 2005, 13(2), 133 doi: 10.1002/pip.610
|
| [24] |
Huang Z G, Gao K, Wang X G, et al. Large-area MACE Si nano-inverted-pyramids for PERC solar cell application. Sol Energy, 2019, 188, 300 doi: 10.1016/j.solener.2019.06.015
|
| [25] |
Li H, Chai C C, Liu Y, et al. Damage effects and mechanism of the silicon NPN monolithic composite transistor induced by high-power microwaves. Chin Phys B, 2018, 27, 088502 doi: 10.1088/1674-1056/27/8/088502
|
| [26] |
Deshmukh M P, Jampana N. Measurement of silicon and GaAs/Ge solar cell device parameters. Sol Energy Mater Sol Cells, 2005, 89, 403 doi: 10.1016/j.solmat.2005.01.005
|
| [27] |
Varpula A, Aapo K, Prunnila M, et al. Si, GaAs, and InP as cathode materials for photon-enhanced thermionic emission solar cells. Sol Energy Mater Sol Cells, 2015, 134, 351 doi: 10.1016/j.solmat.2014.12.021
|
| [28] |
Novikov L. The present and future of space materials research. Moscow University Physics Bulletin, 2010, 65, 259 doi: 10.3103/S0027134910040041
|
| [29] |
Wunsch D C, Bell R R. Determination of threshold failure levels of semiconductor diodes and transistors due to pulse voltages. IEEE Trans Nucl Sci, 1968, 15(6), 244 doi: 10.1109/TNS.1968.4325054
|
| [30] |
Shuja S, Yilbas B, Shazli S. Laser repetitive pulse heating influence of pulse duty on temperature rise. Heat Mass Transfer, 2007, 43, 949 doi: 10.1007/s00231-006-0168-9
|
| [31] |
Li Y, Xie H, Yan H, et al. A Thermal failure model for MOSFETs under repetitive electromagnetic pulses. IEEE Access, 2020, 8, 228245 doi: 10.1109/ACCESS.2020.3045621
|
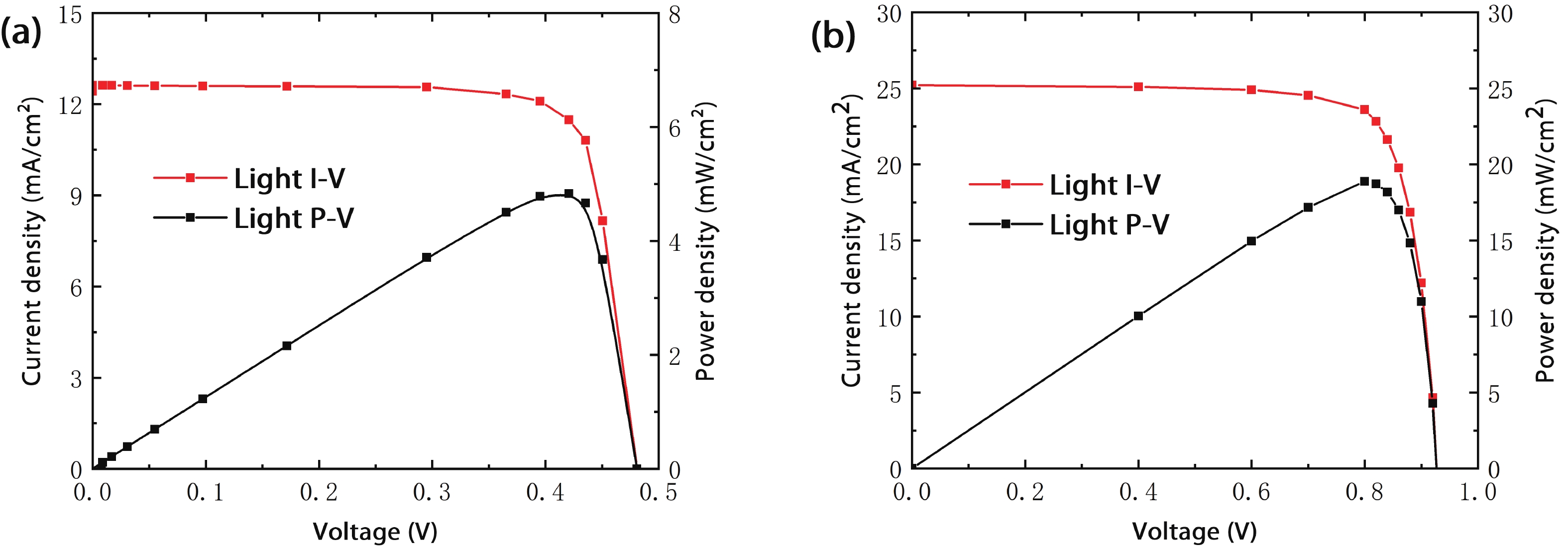
Table 1. The details of the thickness (μm) of two kinds of solar cells.
| Silicon solar cell | GaAs solar cell | |||
| Silver | 0.3 | Cap | 1 | |
| Emitter | 0.2 | FSF | 0.03 | |
| Intrinsic layer | 2.3 | Emitter | 0.1 | |
| Base | 0.18 | Base | 1.5 | |
| Al | 0.1 | BSF | 0.05 | |
DownLoad: CSV
| [1] |
Schirone L, Ferrara M, Granello P, et al. Power bus management techniques for space missions in low earth orbit. Energies, 2021, 14(23), 7932 doi: 10.3390/en14237932
|
| [2] |
Cao M, Zhang T, Liu Y, et al. A performance degradation model of solar cells in an on-orbit resource satellite based on peak currents. Sol Energy, 2019, 189, 26 doi: 10.1016/j.solener.2019.07.030
|
| [3] |
Krishna H A, Misra N K, Suresh M S. Use of solar cells for measuring temperature of solar cell blanket in spacecrafts. Sol Energy Mater Sol Cells, 2012, 102, 184 doi: 10.1016/j.solmat.2012.03.004
|
| [4] |
Min S H, Jung H, Kwon O, et al. Analysis of electromagnetic pulse effects under high-power microwave sources. IEEE Access, 2021, 9, 136775 doi: 10.1109/ACCESS.2021.3117395
|
| [5] |
Aburaya T, Hisamatsu T, Matsuda S. Analysis of 10 years' flight data of solar cell monitor on ETS-V. Sol Energy Mater Sol Cells, 2001, 68(1), 15 doi: 10.1016/S0927-0248(00)00342-1
|
| [6] |
Hoad R, Radasky W A. Progress in high-altitude electromagnetic pulse (HEMP) standardization. IEEE Tran Electromagn Compat, 2013, 55(3), 532 doi: 10.1109/TEMC.2012.2234753
|
| [7] |
Li Z P, Li J, Sun J, et al. High power microwave damage mechanism on high electron mobility transistor. Acta Phys Sin, 2016, 65(16), 168501 doi: 10.7498/aps.65.168501
|
| [8] |
Kichouliya R, Thomas M J. Interaction of high power electromagnetic pulses with power cables and electronic systems. 2016 IEEE International Symposium on Electromagnetic Compatibility (EMC), 2016, 159 doi: 10.1109/ISEMC.2016.7571636
|
| [9] |
Brauer F, Sabath F, ter Haseborg J L. Susceptibility of IT network systems to interferences by HPEM. 2009 IEEE International Symposium on Electromagnetic Compatibility, 2009, 237 doi: 10.1109/ISEMC.2009.5284569
|
| [10] |
Liu Y, Chai C C, Yu X H, et al. Damage effects and mechanism of the GaN high electron mobility transistor caused by high electromagnetic pulse. Acta Phys Sin, 2016, 65(3), 038402 doi: 10.7498/aps.65.038402
|
| [11] |
Zhang J Q, Liang Z S. Effects of high-altitude electromagnetic pulse on overhead pipeline. Int J Appl Electromagn Mechan, 2018, 57, 1 doi: 10.3233/JAE-170137
|
| [12] |
Hao C, Jiang C. Robust wireless sensor network against strong electromagnetic pulse. IEEE Sens J, 2021, 21(4), 5572 doi: 10.1109/JSEN.2020.3035171
|
| [13] |
Li J, Aierken A, Liu Y, et al. A brief review of high efficiency III-V solar cells for space application. Front Phys, 2021, 8, 631925 doi: 10.3389/fphy.2020.631925
|
| [14] |
Gaddy E M. Cost performance of multi-junction, gallium arsenide, and silicon solar cells on spacecraft. Conference Record of the Twenty Fifth IEEE Photovoltaic Specialists Conference, 1996, 293 doi: 10.1109/PVSC.1996.564003
|
| [15] |
Rehman A U, Lee S H, Lee S H. Silicon space solar cells: progression and radiation-resistance analysis. J Korean Phys Soc, 2016, 68(4), 593 doi: 10.3938/jkps.68.593
|
| [16] |
Lee Y J, Kim B S, Ifitiquar S, et al. Silicon solar cells: Past, present and the future. J Korean Phys Soc, 2014, 65, 355 doi: 10.3938/jkps.65.355
|
| [17] |
Razykov T M, Ferekides C, Morel D L, et al. Solar photovoltaic electricity: Current status and future prospects. Sol Energy, 2011, 85, 1580 doi: 10.1016/j.solener.2010.12.002
|
| [18] |
Gabetta G, Cospito D, Campesato R, et al. Qualification of low cost triple junction GaInP/GaAs/Ge solar cell assemblies with external bypass diode connected by insulated cell P/diode N interconnects. 2019 European Space Power Conference, 2019 doi: 10.1109/ESPC.2019.8932072
|
| [19] |
Booker K, Mayon Y, Jones C, et al. GaAs sliver solar cells for linear microconcentrator applications. 2020 47th IEEE Photovoltaic Specialists Conference, 2020 doi: 10.1109/PVSC45281.2020.9300521
|
| [20] |
Kawakita S, Imaizumi M, Makita K, et al. High efficiency and radiation resistant InGaP/GaAs//CIGS stacked solar cells for space applications. 2016 IEEE 43rd Photovoltaic Specialists Conference (PVSC), 2016, 2574 doi: KawakitaS,ImaizumiM,MakitaK,etal
|
| [21] |
Xue Z H, Xu L, Lu Z R. Coupling simulation analysis of high power electromagnetic pulse on solar cell. J Microwaves, 2020, S01, 355
|
| [22] |
Wang H, Chai C, Liu Y, et al. Damage effects and mechanism of GaAs solar cells induced by high-power microwaves. IEICE Electron Express, 2021, 18, 1 doi: 10.1587/elex.18.20210020
|
| [23] |
Yoon H, Granata J E, Hebert P, et al. Recent advances in high-efficiency III-V multi-junction solar cells for space applications: Ultra triple junction qualification. Prog Photovolt, 2005, 13(2), 133 doi: 10.1002/pip.610
|
| [24] |
Huang Z G, Gao K, Wang X G, et al. Large-area MACE Si nano-inverted-pyramids for PERC solar cell application. Sol Energy, 2019, 188, 300 doi: 10.1016/j.solener.2019.06.015
|
| [25] |
Li H, Chai C C, Liu Y, et al. Damage effects and mechanism of the silicon NPN monolithic composite transistor induced by high-power microwaves. Chin Phys B, 2018, 27, 088502 doi: 10.1088/1674-1056/27/8/088502
|
| [26] |
Deshmukh M P, Jampana N. Measurement of silicon and GaAs/Ge solar cell device parameters. Sol Energy Mater Sol Cells, 2005, 89, 403 doi: 10.1016/j.solmat.2005.01.005
|
| [27] |
Varpula A, Aapo K, Prunnila M, et al. Si, GaAs, and InP as cathode materials for photon-enhanced thermionic emission solar cells. Sol Energy Mater Sol Cells, 2015, 134, 351 doi: 10.1016/j.solmat.2014.12.021
|
| [28] |
Novikov L. The present and future of space materials research. Moscow University Physics Bulletin, 2010, 65, 259 doi: 10.3103/S0027134910040041
|
| [29] |
Wunsch D C, Bell R R. Determination of threshold failure levels of semiconductor diodes and transistors due to pulse voltages. IEEE Trans Nucl Sci, 1968, 15(6), 244 doi: 10.1109/TNS.1968.4325054
|
| [30] |
Shuja S, Yilbas B, Shazli S. Laser repetitive pulse heating influence of pulse duty on temperature rise. Heat Mass Transfer, 2007, 43, 949 doi: 10.1007/s00231-006-0168-9
|
| [31] |
Li Y, Xie H, Yan H, et al. A Thermal failure model for MOSFETs under repetitive electromagnetic pulses. IEEE Access, 2020, 8, 228245 doi: 10.1109/ACCESS.2020.3045621
|
Article views: 2116 Times PDF downloads: 102 Times Cited by: 0 Times
Received: 26 May 2022 Revised: 20 June 2022 Online: Accepted Manuscript: 15 August 2022Uncorrected proof: 17 August 2022Published: 01 November 2022
| Citation: |
Xiangrui Meng, Changchun Chai, Fuxing Li, Yi Sun, Yintang Yang. High-power microwaves response characteristics of silicon and GaAs solar cells[J]. Journal of Semiconductors, 2022, 43(11): 112701. doi: 10.1088/1674-4926/43/11/112701
****
X R Meng, C C Chai, F X Li, Y Sun, Y T Yang. High-power microwaves response characteristics of silicon and GaAs solar cells[J]. J. Semicond, 2022, 43(11): 112701. doi: 10.1088/1674-4926/43/11/112701
|
| [1] |
Schirone L, Ferrara M, Granello P, et al. Power bus management techniques for space missions in low earth orbit. Energies, 2021, 14(23), 7932 doi: 10.3390/en14237932
|
| [2] |
Cao M, Zhang T, Liu Y, et al. A performance degradation model of solar cells in an on-orbit resource satellite based on peak currents. Sol Energy, 2019, 189, 26 doi: 10.1016/j.solener.2019.07.030
|
| [3] |
Krishna H A, Misra N K, Suresh M S. Use of solar cells for measuring temperature of solar cell blanket in spacecrafts. Sol Energy Mater Sol Cells, 2012, 102, 184 doi: 10.1016/j.solmat.2012.03.004
|
| [4] |
Min S H, Jung H, Kwon O, et al. Analysis of electromagnetic pulse effects under high-power microwave sources. IEEE Access, 2021, 9, 136775 doi: 10.1109/ACCESS.2021.3117395
|
| [5] |
Aburaya T, Hisamatsu T, Matsuda S. Analysis of 10 years' flight data of solar cell monitor on ETS-V. Sol Energy Mater Sol Cells, 2001, 68(1), 15 doi: 10.1016/S0927-0248(00)00342-1
|
| [6] |
Hoad R, Radasky W A. Progress in high-altitude electromagnetic pulse (HEMP) standardization. IEEE Tran Electromagn Compat, 2013, 55(3), 532 doi: 10.1109/TEMC.2012.2234753
|
| [7] |
Li Z P, Li J, Sun J, et al. High power microwave damage mechanism on high electron mobility transistor. Acta Phys Sin, 2016, 65(16), 168501 doi: 10.7498/aps.65.168501
|
| [8] |
Kichouliya R, Thomas M J. Interaction of high power electromagnetic pulses with power cables and electronic systems. 2016 IEEE International Symposium on Electromagnetic Compatibility (EMC), 2016, 159 doi: 10.1109/ISEMC.2016.7571636
|
| [9] |
Brauer F, Sabath F, ter Haseborg J L. Susceptibility of IT network systems to interferences by HPEM. 2009 IEEE International Symposium on Electromagnetic Compatibility, 2009, 237 doi: 10.1109/ISEMC.2009.5284569
|
| [10] |
Liu Y, Chai C C, Yu X H, et al. Damage effects and mechanism of the GaN high electron mobility transistor caused by high electromagnetic pulse. Acta Phys Sin, 2016, 65(3), 038402 doi: 10.7498/aps.65.038402
|
| [11] |
Zhang J Q, Liang Z S. Effects of high-altitude electromagnetic pulse on overhead pipeline. Int J Appl Electromagn Mechan, 2018, 57, 1 doi: 10.3233/JAE-170137
|
| [12] |
Hao C, Jiang C. Robust wireless sensor network against strong electromagnetic pulse. IEEE Sens J, 2021, 21(4), 5572 doi: 10.1109/JSEN.2020.3035171
|
| [13] |
Li J, Aierken A, Liu Y, et al. A brief review of high efficiency III-V solar cells for space application. Front Phys, 2021, 8, 631925 doi: 10.3389/fphy.2020.631925
|
| [14] |
Gaddy E M. Cost performance of multi-junction, gallium arsenide, and silicon solar cells on spacecraft. Conference Record of the Twenty Fifth IEEE Photovoltaic Specialists Conference, 1996, 293 doi: 10.1109/PVSC.1996.564003
|
| [15] |
Rehman A U, Lee S H, Lee S H. Silicon space solar cells: progression and radiation-resistance analysis. J Korean Phys Soc, 2016, 68(4), 593 doi: 10.3938/jkps.68.593
|
| [16] |
Lee Y J, Kim B S, Ifitiquar S, et al. Silicon solar cells: Past, present and the future. J Korean Phys Soc, 2014, 65, 355 doi: 10.3938/jkps.65.355
|
| [17] |
Razykov T M, Ferekides C, Morel D L, et al. Solar photovoltaic electricity: Current status and future prospects. Sol Energy, 2011, 85, 1580 doi: 10.1016/j.solener.2010.12.002
|
| [18] |
Gabetta G, Cospito D, Campesato R, et al. Qualification of low cost triple junction GaInP/GaAs/Ge solar cell assemblies with external bypass diode connected by insulated cell P/diode N interconnects. 2019 European Space Power Conference, 2019 doi: 10.1109/ESPC.2019.8932072
|
| [19] |
Booker K, Mayon Y, Jones C, et al. GaAs sliver solar cells for linear microconcentrator applications. 2020 47th IEEE Photovoltaic Specialists Conference, 2020 doi: 10.1109/PVSC45281.2020.9300521
|
| [20] |
Kawakita S, Imaizumi M, Makita K, et al. High efficiency and radiation resistant InGaP/GaAs//CIGS stacked solar cells for space applications. 2016 IEEE 43rd Photovoltaic Specialists Conference (PVSC), 2016, 2574 doi: KawakitaS,ImaizumiM,MakitaK,etal
|
| [21] |
Xue Z H, Xu L, Lu Z R. Coupling simulation analysis of high power electromagnetic pulse on solar cell. J Microwaves, 2020, S01, 355
|
| [22] |
Wang H, Chai C, Liu Y, et al. Damage effects and mechanism of GaAs solar cells induced by high-power microwaves. IEICE Electron Express, 2021, 18, 1 doi: 10.1587/elex.18.20210020
|
| [23] |
Yoon H, Granata J E, Hebert P, et al. Recent advances in high-efficiency III-V multi-junction solar cells for space applications: Ultra triple junction qualification. Prog Photovolt, 2005, 13(2), 133 doi: 10.1002/pip.610
|
| [24] |
Huang Z G, Gao K, Wang X G, et al. Large-area MACE Si nano-inverted-pyramids for PERC solar cell application. Sol Energy, 2019, 188, 300 doi: 10.1016/j.solener.2019.06.015
|
| [25] |
Li H, Chai C C, Liu Y, et al. Damage effects and mechanism of the silicon NPN monolithic composite transistor induced by high-power microwaves. Chin Phys B, 2018, 27, 088502 doi: 10.1088/1674-1056/27/8/088502
|
| [26] |
Deshmukh M P, Jampana N. Measurement of silicon and GaAs/Ge solar cell device parameters. Sol Energy Mater Sol Cells, 2005, 89, 403 doi: 10.1016/j.solmat.2005.01.005
|
| [27] |
Varpula A, Aapo K, Prunnila M, et al. Si, GaAs, and InP as cathode materials for photon-enhanced thermionic emission solar cells. Sol Energy Mater Sol Cells, 2015, 134, 351 doi: 10.1016/j.solmat.2014.12.021
|
| [28] |
Novikov L. The present and future of space materials research. Moscow University Physics Bulletin, 2010, 65, 259 doi: 10.3103/S0027134910040041
|
| [29] |
Wunsch D C, Bell R R. Determination of threshold failure levels of semiconductor diodes and transistors due to pulse voltages. IEEE Trans Nucl Sci, 1968, 15(6), 244 doi: 10.1109/TNS.1968.4325054
|
| [30] |
Shuja S, Yilbas B, Shazli S. Laser repetitive pulse heating influence of pulse duty on temperature rise. Heat Mass Transfer, 2007, 43, 949 doi: 10.1007/s00231-006-0168-9
|
| [31] |
Li Y, Xie H, Yan H, et al. A Thermal failure model for MOSFETs under repetitive electromagnetic pulses. IEEE Access, 2020, 8, 228245 doi: 10.1109/ACCESS.2020.3045621
|
Journal of Semiconductors © 2017 All Rights Reserved 京ICP備05085259號-2