ARTICLES
Lianping Hou, Song Tang and John H. Marsh
Corresponding author: Lianping Hou, lianping.hou@glasgow.ac.uk
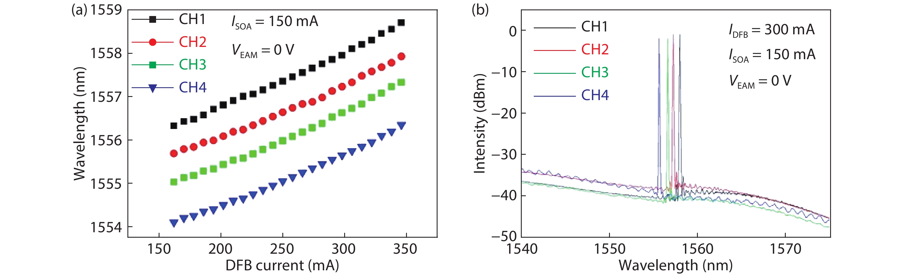
Abstract: We report a low-cost manufacturing approach for fabricating monolithic multi-wavelength sources for dense wavelength division multiplexing (DWDM) systems that offers high yield and eliminates crystal regrowth and selective area epitaxy steps that are essential in traditional fabrication methods. The source integrates an array of distributed feedback (DFB) lasers with a passive coupler and semiconductor optical amplifier (SOA). Ridge waveguide lasers with sampled Bragg side wall gratings have been integrated using quantum well intermixing to achieve a fully functional four-channel DWDM source with 0.8 nm wavelength spacing and residual errors < 0.13 nm. The output power from the SOA is > 10 mW per channel making the source suitable for use in passive optical networks (PONs). We have also investigated using multisection phase-shifted sampled gratings to both increase the effective grating coupling coefficient and precisely control the channel lasing wavelength spacing. An 8-channel DFB laser array with 100 GHz channel spacing was demonstrated using a sampled grating with two π-phase-shifted sections in each sampling period. The entire array was fabricated by only a single step of electron beam lithography.
Key words: lasers, distributed-feedback, diode laser arrays, multiple quantum well (MQW) modulators, semiconductor optical amplifier, integrated optics devices
| [1] |
ITU-T RG. 989.1. 40-Gigabit-capable passive optical networks (NG-PON 2): General requirements. International Telecommunication Union, 2013
|
| [2] |
Debrégeas Sillard H, Kazmierski C. Challenges and advances of photonic integrated circuits. Comptes Rendus Physique, 2008, 9, 1055 doi: 10.1016/j.crhy.2008.10.004
|
| [3] |
Kudo K, Yashiki K, Sasaki T, et al. 1.55-μm wavelength-selectable microarray DFB-LD's with monolithically integrated MMI combiner, SOA, and EA-modulator. IEEE Photon Technol Lett, 2000, 12, 242 doi: 10.1109/68.826901
|
| [4] |
Muroya Y, Nakamura T, Yamada H, et al. Precise wavelength control for DFB laser diodes by novel corrugation delineation method. IEEE Photon Technol Lett, 1997, 9, 288 doi: 10.1109/68.556049
|
| [5] |
Shi Y C, Chen X F, Zhou Y T, et al. Experimental demonstration of eight-wavelength distributed feedback semiconductor laser array using equivalent phase shift. Opt Lett, 2012, 37, 3315 doi: 10.1364/OL.37.003315
|
| [6] |
Shi Y C, Li S M, Chen X F, et al. High channel count and high precision channel spacing multi-wavelength laser array for future PICs. Sci Rep, 2015, 4, 7377 doi: 10.1038/srep07377
|
| [7] |
Sun C Z, Xiong B, Wang J, et al. Fabrication and packaging of 40-Gb/s AlGaInAs multiple-quantum-well electroabsorption modulated lasers based on identical epitaxial layer scheme. J Lightwave Technol, 2008, 26, 1464 doi: 10.1109/JLT.2008.922164
|
| [8] |
Hou L P, Haji M, Dylewicz R, et al. Monolithic 45-GHz mode-locked surface-etched DBR laser using quantum-well intermixing technology. IEEE Photon Technol Lett, 2010, 22, 1039 doi: 10.1109/LPT.2010.2049566
|
| [9] |
Hou L P, Haji M, Dylewicz R, et al. 10-GHz mode-locked extended cavity laser integrated with surface-etched DBR fabricated by quantum-well intermixing. IEEE Photon Technol Lett, 2011, 23, 82 doi: 10.1109/LPT.2010.2091121
|
| [10] |
Hou L, Haji M, Marsh J H. Mode locking at terahertz frequencies using a distributed Bragg reflector laser with a sampled grating. Opt Lett, 2013, 38, 1113 doi: 10.1364/OL.38.001113
|
| [11] |
Hou L P, Stolarz P, Javaloyes J, et al. Subpicosecond pulse generation at quasi-40-GHz using a passively mode-locked AlGaInAs–InP 1.55-μm strained quantum-well laser. IEEE Photon Technol Lett, 2009, 21, 1731 doi: 10.1109/LPT.2009.2031088
|
| [12] |
Hou L P, Haji M, Akbar J, et al. AlGaInAs/InP monolithically integrated DFB laser array. IEEE J Quantum Electron, 2012, 48, 137 doi: 10.1109/JQE.2011.2174455
|
| [13] |
Ishii H, Kasaya K, Oohashi H. Spectral linewidth reduction in widely wavelength tunable DFB laser array. IEEE J Sel Top Quantum Electron, 2009, 15, 514 doi: 10.1109/JSTQE.2008.2010237
|
| [14] |
Nakura T, Nakano Y. LAPAREX-An automatic parameter extraction program for gain-and index-coupled distributed feedback semiconductor lasers, and its application to observation of changing coupling coefficients with currents. IEICE Trans Electron, 2000, 83(3), 488 doi: 10.1109/25.833000
|
| [15] |
Faugeron M, Tran M, Lelarge F, et al. High-power, low RIN 1.55-μm directly modulated DFB lasers for analog signal transmission. IEEE Photon Technol Lett, 2012, 24(2), 116 doi: 10.1109/LPT.2011.2173479
|
| [16] |
Hou L, Haji M, Akbar J, et al. Low divergence angle and low jitter 40 GHz AlGaInAs/InP 1.55 μm mode-locked lasers. Opt Lett, 2011, 36, 966 doi: 10.1364/OL.36.000966
|
| [17] |
Ramdane A, Devaux F, Souli N, et al. Monolithic integration of multiple-quantum-well lasers and modulators for high-speed transmission. IEEE J Sel Top Quantum Electron, 1996, 2, 326 doi: 10.1109/2944.577388
|
| [18] |
Hanfoug R, Augustin L, Barbarin Y, et al. Reduced reflections from multimode interference couplers. Electron Lett, 2006, 42(8), 465 doi: 10.1049/el:20064422
|
| [19] |
Weinmann R, Baums D, Cebulla U, et al. Polarization-independent and ultra-high bandwidth electroabsorption modulator in multiquantum-well deep-ridge waveguide technology. IEEE Photon Technol Lett, 1996, 8, 891 doi: 10.1109/68.502261
|
| [20] |
Kreissl J, Bornholdt C, Gaertner T, et al. Flip-chip compatible electroabsorption modulator for up to 40 Gb/s, integrated with 1.55 μm DFB laser and spot-size expander. IEEE J Quantum Electron, 2011, 47, 1036 doi: 10.1109/JQE.2011.2153180
|
| [21] |
Li J S, Cheng Y, Yin Z W, et al. A multiexposure technology for sampled Bragg gratings and its applications in dual-wavelength lasing generation and OCDMA en/decoding. IEEE Photon Technol Lett, 2009, 21, 1639 doi: 10.1109/LPT.2009.2030877
|
| [22] |
Tang S, Hou L, Chen X, et al. Multiple-wavelength distributed-feedback laser arrays with high coupling coefficients and precise channel spacing. Opt Lett, 2017, 42, 1800 doi: 10.1364/OL.42.001800
|
Table 1. Comparison between PS-SGB and C-SBG in terms of reflection characteristics and effective κ value.
| No of phase step sections | Reflection spectrum characteristics | Effective κ |
| C-SBG | Higher 0th-order grating reflection, weaker ±1st-order reflection | 0.32 |
| 2PS-SBG | 0th-order reflection disappears; κ for ±1st-order doubled | 0.64 |
| 3PS-SBG | 0th-order reflection disappears; either +1st or ?1st-order reflection disappears | 0.83 |
| 4-SBG | 0th-order reflection disappears; either +1st or ?1st-order reflection disappears | 0.90 |
DownLoad: CSV
| [1] |
ITU-T RG. 989.1. 40-Gigabit-capable passive optical networks (NG-PON 2): General requirements. International Telecommunication Union, 2013
|
| [2] |
Debrégeas Sillard H, Kazmierski C. Challenges and advances of photonic integrated circuits. Comptes Rendus Physique, 2008, 9, 1055 doi: 10.1016/j.crhy.2008.10.004
|
| [3] |
Kudo K, Yashiki K, Sasaki T, et al. 1.55-μm wavelength-selectable microarray DFB-LD's with monolithically integrated MMI combiner, SOA, and EA-modulator. IEEE Photon Technol Lett, 2000, 12, 242 doi: 10.1109/68.826901
|
| [4] |
Muroya Y, Nakamura T, Yamada H, et al. Precise wavelength control for DFB laser diodes by novel corrugation delineation method. IEEE Photon Technol Lett, 1997, 9, 288 doi: 10.1109/68.556049
|
| [5] |
Shi Y C, Chen X F, Zhou Y T, et al. Experimental demonstration of eight-wavelength distributed feedback semiconductor laser array using equivalent phase shift. Opt Lett, 2012, 37, 3315 doi: 10.1364/OL.37.003315
|
| [6] |
Shi Y C, Li S M, Chen X F, et al. High channel count and high precision channel spacing multi-wavelength laser array for future PICs. Sci Rep, 2015, 4, 7377 doi: 10.1038/srep07377
|
| [7] |
Sun C Z, Xiong B, Wang J, et al. Fabrication and packaging of 40-Gb/s AlGaInAs multiple-quantum-well electroabsorption modulated lasers based on identical epitaxial layer scheme. J Lightwave Technol, 2008, 26, 1464 doi: 10.1109/JLT.2008.922164
|
| [8] |
Hou L P, Haji M, Dylewicz R, et al. Monolithic 45-GHz mode-locked surface-etched DBR laser using quantum-well intermixing technology. IEEE Photon Technol Lett, 2010, 22, 1039 doi: 10.1109/LPT.2010.2049566
|
| [9] |
Hou L P, Haji M, Dylewicz R, et al. 10-GHz mode-locked extended cavity laser integrated with surface-etched DBR fabricated by quantum-well intermixing. IEEE Photon Technol Lett, 2011, 23, 82 doi: 10.1109/LPT.2010.2091121
|
| [10] |
Hou L, Haji M, Marsh J H. Mode locking at terahertz frequencies using a distributed Bragg reflector laser with a sampled grating. Opt Lett, 2013, 38, 1113 doi: 10.1364/OL.38.001113
|
| [11] |
Hou L P, Stolarz P, Javaloyes J, et al. Subpicosecond pulse generation at quasi-40-GHz using a passively mode-locked AlGaInAs–InP 1.55-μm strained quantum-well laser. IEEE Photon Technol Lett, 2009, 21, 1731 doi: 10.1109/LPT.2009.2031088
|
| [12] |
Hou L P, Haji M, Akbar J, et al. AlGaInAs/InP monolithically integrated DFB laser array. IEEE J Quantum Electron, 2012, 48, 137 doi: 10.1109/JQE.2011.2174455
|
| [13] |
Ishii H, Kasaya K, Oohashi H. Spectral linewidth reduction in widely wavelength tunable DFB laser array. IEEE J Sel Top Quantum Electron, 2009, 15, 514 doi: 10.1109/JSTQE.2008.2010237
|
| [14] |
Nakura T, Nakano Y. LAPAREX-An automatic parameter extraction program for gain-and index-coupled distributed feedback semiconductor lasers, and its application to observation of changing coupling coefficients with currents. IEICE Trans Electron, 2000, 83(3), 488 doi: 10.1109/25.833000
|
| [15] |
Faugeron M, Tran M, Lelarge F, et al. High-power, low RIN 1.55-μm directly modulated DFB lasers for analog signal transmission. IEEE Photon Technol Lett, 2012, 24(2), 116 doi: 10.1109/LPT.2011.2173479
|
| [16] |
Hou L, Haji M, Akbar J, et al. Low divergence angle and low jitter 40 GHz AlGaInAs/InP 1.55 μm mode-locked lasers. Opt Lett, 2011, 36, 966 doi: 10.1364/OL.36.000966
|
| [17] |
Ramdane A, Devaux F, Souli N, et al. Monolithic integration of multiple-quantum-well lasers and modulators for high-speed transmission. IEEE J Sel Top Quantum Electron, 1996, 2, 326 doi: 10.1109/2944.577388
|
| [18] |
Hanfoug R, Augustin L, Barbarin Y, et al. Reduced reflections from multimode interference couplers. Electron Lett, 2006, 42(8), 465 doi: 10.1049/el:20064422
|
| [19] |
Weinmann R, Baums D, Cebulla U, et al. Polarization-independent and ultra-high bandwidth electroabsorption modulator in multiquantum-well deep-ridge waveguide technology. IEEE Photon Technol Lett, 1996, 8, 891 doi: 10.1109/68.502261
|
| [20] |
Kreissl J, Bornholdt C, Gaertner T, et al. Flip-chip compatible electroabsorption modulator for up to 40 Gb/s, integrated with 1.55 μm DFB laser and spot-size expander. IEEE J Quantum Electron, 2011, 47, 1036 doi: 10.1109/JQE.2011.2153180
|
| [21] |
Li J S, Cheng Y, Yin Z W, et al. A multiexposure technology for sampled Bragg gratings and its applications in dual-wavelength lasing generation and OCDMA en/decoding. IEEE Photon Technol Lett, 2009, 21, 1639 doi: 10.1109/LPT.2009.2030877
|
| [22] |
Tang S, Hou L, Chen X, et al. Multiple-wavelength distributed-feedback laser arrays with high coupling coefficients and precise channel spacing. Opt Lett, 2017, 42, 1800 doi: 10.1364/OL.42.001800
|
Article views: 5629 Times PDF downloads: 155 Times Cited by: 0 Times
Received: 13 October 2020 Revised: 11 November 2020 Online: Accepted Manuscript: 30 December 2020Uncorrected proof: 13 January 2021Published: 12 April 2021
| Citation: |
Lianping Hou, Song Tang, John H. Marsh. Monolithic DWDM source with precise channel spacing[J]. Journal of Semiconductors, 2021, 42(4): 042301. doi: 10.1088/1674-4926/42/4/042301
****
L P Hou, S Tang, J H Marsh, Monolithic DWDM source with precise channel spacing[J]. J. Semicond., 2021, 42(4): 042301. doi: 10.1088/1674-4926/42/4/042301.
|
| [1] |
ITU-T RG. 989.1. 40-Gigabit-capable passive optical networks (NG-PON 2): General requirements. International Telecommunication Union, 2013
|
| [2] |
Debrégeas Sillard H, Kazmierski C. Challenges and advances of photonic integrated circuits. Comptes Rendus Physique, 2008, 9, 1055 doi: 10.1016/j.crhy.2008.10.004
|
| [3] |
Kudo K, Yashiki K, Sasaki T, et al. 1.55-μm wavelength-selectable microarray DFB-LD's with monolithically integrated MMI combiner, SOA, and EA-modulator. IEEE Photon Technol Lett, 2000, 12, 242 doi: 10.1109/68.826901
|
| [4] |
Muroya Y, Nakamura T, Yamada H, et al. Precise wavelength control for DFB laser diodes by novel corrugation delineation method. IEEE Photon Technol Lett, 1997, 9, 288 doi: 10.1109/68.556049
|
| [5] |
Shi Y C, Chen X F, Zhou Y T, et al. Experimental demonstration of eight-wavelength distributed feedback semiconductor laser array using equivalent phase shift. Opt Lett, 2012, 37, 3315 doi: 10.1364/OL.37.003315
|
| [6] |
Shi Y C, Li S M, Chen X F, et al. High channel count and high precision channel spacing multi-wavelength laser array for future PICs. Sci Rep, 2015, 4, 7377 doi: 10.1038/srep07377
|
| [7] |
Sun C Z, Xiong B, Wang J, et al. Fabrication and packaging of 40-Gb/s AlGaInAs multiple-quantum-well electroabsorption modulated lasers based on identical epitaxial layer scheme. J Lightwave Technol, 2008, 26, 1464 doi: 10.1109/JLT.2008.922164
|
| [8] |
Hou L P, Haji M, Dylewicz R, et al. Monolithic 45-GHz mode-locked surface-etched DBR laser using quantum-well intermixing technology. IEEE Photon Technol Lett, 2010, 22, 1039 doi: 10.1109/LPT.2010.2049566
|
| [9] |
Hou L P, Haji M, Dylewicz R, et al. 10-GHz mode-locked extended cavity laser integrated with surface-etched DBR fabricated by quantum-well intermixing. IEEE Photon Technol Lett, 2011, 23, 82 doi: 10.1109/LPT.2010.2091121
|
| [10] |
Hou L, Haji M, Marsh J H. Mode locking at terahertz frequencies using a distributed Bragg reflector laser with a sampled grating. Opt Lett, 2013, 38, 1113 doi: 10.1364/OL.38.001113
|
| [11] |
Hou L P, Stolarz P, Javaloyes J, et al. Subpicosecond pulse generation at quasi-40-GHz using a passively mode-locked AlGaInAs–InP 1.55-μm strained quantum-well laser. IEEE Photon Technol Lett, 2009, 21, 1731 doi: 10.1109/LPT.2009.2031088
|
| [12] |
Hou L P, Haji M, Akbar J, et al. AlGaInAs/InP monolithically integrated DFB laser array. IEEE J Quantum Electron, 2012, 48, 137 doi: 10.1109/JQE.2011.2174455
|
| [13] |
Ishii H, Kasaya K, Oohashi H. Spectral linewidth reduction in widely wavelength tunable DFB laser array. IEEE J Sel Top Quantum Electron, 2009, 15, 514 doi: 10.1109/JSTQE.2008.2010237
|
| [14] |
Nakura T, Nakano Y. LAPAREX-An automatic parameter extraction program for gain-and index-coupled distributed feedback semiconductor lasers, and its application to observation of changing coupling coefficients with currents. IEICE Trans Electron, 2000, 83(3), 488 doi: 10.1109/25.833000
|
| [15] |
Faugeron M, Tran M, Lelarge F, et al. High-power, low RIN 1.55-μm directly modulated DFB lasers for analog signal transmission. IEEE Photon Technol Lett, 2012, 24(2), 116 doi: 10.1109/LPT.2011.2173479
|
| [16] |
Hou L, Haji M, Akbar J, et al. Low divergence angle and low jitter 40 GHz AlGaInAs/InP 1.55 μm mode-locked lasers. Opt Lett, 2011, 36, 966 doi: 10.1364/OL.36.000966
|
| [17] |
Ramdane A, Devaux F, Souli N, et al. Monolithic integration of multiple-quantum-well lasers and modulators for high-speed transmission. IEEE J Sel Top Quantum Electron, 1996, 2, 326 doi: 10.1109/2944.577388
|
| [18] |
Hanfoug R, Augustin L, Barbarin Y, et al. Reduced reflections from multimode interference couplers. Electron Lett, 2006, 42(8), 465 doi: 10.1049/el:20064422
|
| [19] |
Weinmann R, Baums D, Cebulla U, et al. Polarization-independent and ultra-high bandwidth electroabsorption modulator in multiquantum-well deep-ridge waveguide technology. IEEE Photon Technol Lett, 1996, 8, 891 doi: 10.1109/68.502261
|
| [20] |
Kreissl J, Bornholdt C, Gaertner T, et al. Flip-chip compatible electroabsorption modulator for up to 40 Gb/s, integrated with 1.55 μm DFB laser and spot-size expander. IEEE J Quantum Electron, 2011, 47, 1036 doi: 10.1109/JQE.2011.2153180
|
| [21] |
Li J S, Cheng Y, Yin Z W, et al. A multiexposure technology for sampled Bragg gratings and its applications in dual-wavelength lasing generation and OCDMA en/decoding. IEEE Photon Technol Lett, 2009, 21, 1639 doi: 10.1109/LPT.2009.2030877
|
| [22] |
Tang S, Hou L, Chen X, et al. Multiple-wavelength distributed-feedback laser arrays with high coupling coefficients and precise channel spacing. Opt Lett, 2017, 42, 1800 doi: 10.1364/OL.42.001800
|
Journal of Semiconductors © 2017 All Rights Reserved 京ICP備05085259號-2