ARTICLES
Teng Fei1, 2, 3, Shenqiang Zhai1, 2, , Jinchuan Zhang1, 2, Ning Zhuo1, 2, Junqi Liu1, 2, 3, Lijun Wang1, 2, 3, Shuman Liu1, 2, Zhiwei Jia1, 2, Kun Li1, 2, 3, Yongqiang Sun1, 2, 3, Kai Guo1, 2, Fengqi Liu1, 2, 3, and Zhanguo Wang1, 2, 3
Corresponding author: Shenqiang Zhai, zsqlzsmbj@semi.ac.cn; Fengqi Liu, fqliu@semi.ac.cn
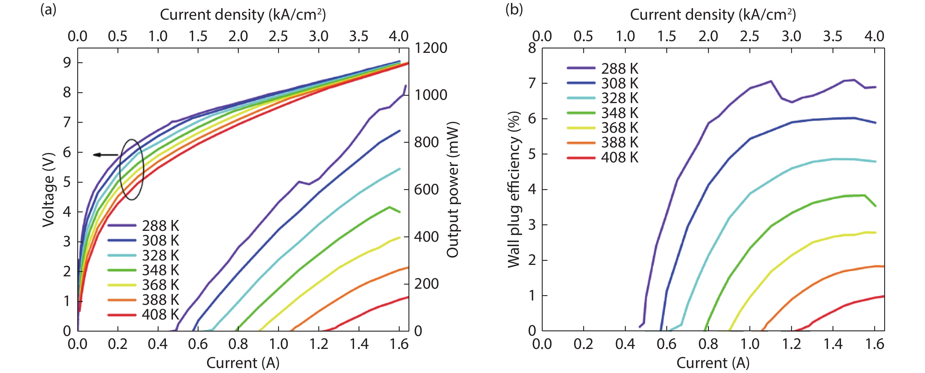
Abstract: Robust quantum cascade laser (QCL) enduring high temperature continuous-wave (CW) operation is of critical importance for some applications. We report on the realization of lattice-matched InGaAs/InAlAs/InP QCL materials grown by metal-organic chemical vapor deposition (MOCVD). High interface quality structures designed for light emission at 8.5 μm are achieved by optimizing and precise controlling of growth conditions. A CW output power of 1.04 W at 288 K was obtained from a 4 mm-long and 10 μm-wide coated laser. Corresponding maximum wall-plug efficiency and threshold current density were 7.1% and 1.18 kA/cm2, respectively. The device can operate in CW mode up to 408 K with an output power of 160 mW.
Key words: quantum cascade laser, metal-organic chemical vapor deposition, continuous-wave, interface roughness
| [1] |
Faist J, Capasso F, Sivco D, et al. Quantum cascade laser. Science, 1994, 264(5158), 553 doi: 10.1126/science.264.5158.553
|
| [2] |
Hugi A, Villares G, Blaser S, et al. Mid-infrared frequency comb based on a quantum cascade laser. Nature, 2012, 492(7428), 229 doi: 10.1038/nature11620
|
| [3] |
Zhang J, Wang L, Zhang W, et al. Holographic fabricated continuous wave operation of distributed feedback quantum cascade lasers at λ ≈ 8.5 μm. J Semicond, 2011, 32(4), 044008 doi: 10.1088/1674-4926/32/4/044008
|
| [4] |
Faist J, Beck M, Allen T, et al. Quantum-cascade lasers based on a bound-to-continuum transition. Appl Phys Lett, 2001, 78(2), 147 doi: 10.1063/1.1339843
|
| [5] |
Beck M, Hofstetter D, Aellen T, et al. Continuous wave operation of a mid-infrared semiconductor laser at room temperature. Science, 2002, 295(5553), 301 doi: 10.1126/science.1066408
|
| [6] |
Botez D, Kirch J D, Boyle C, et al. High-efficiency, high-power mid-infrared quantum cascade lasers. Opt Mater Express, 2018, 8(5), 1378 doi: 10.1364/OME.8.001378
|
| [7] |
Wang C A, Schwarz B, Siriani D F, et al. MOVPE growth of LWIR AlInAs/GaInAs/InP quantum cascade lasers: Impact of growth and material quality on laser performance. IEEE J Sel Top Quantum Electron, 2017, 23(6), 1 doi: 10.1109/JSTQE.2017.2677899
|
| [8] |
Feng X, Caneau C, Leblanc H P, et al. Watt-level room temperature continuous-wave operation of quantum cascade lasers with λ >10 μm. IEEE J Sel Top Quantum Electron, 2013, 19(4), 1200407 doi: 10.1109/JSTQE.2013.2240658
|
| [9] |
Schwarz B, Wang C A, Missaggia L, et al. Watt-level continuous-wave emission from a bifunctional quantum cascade laser/detector. ACS Photonics, 2017, 4(5), 1225 doi: 10.1021/acsphotonics.7b00133
|
| [10] |
Zhou W, Lu Q Y, Wu D H, et al. High-power, continuous-wave, phase-locked quantum cascade laser arrays emitting at 8 microm. Opt Express, 2019, 27(11), 15776 doi: 10.1364/OE.27.015776
|
| [11] |
Wang C A, Schwarz B, Siriani D F, et al. Sensitivity of heterointerfaces on emission wavelength of quantum cascade lasers. J Cryst Growth, 2017, 464, 215 doi: 10.1016/j.jcrysgro.2016.11.029
|
| [12] |
Lyakh A, Maulini R, Tsekoun A, et al. 3 W continuous-wave room temperature single-facet emission from quantum cascade lasers based on nonresonant extraction design approach. Appl Phys Lett, 2009, 95(14), 141113 doi: 10.1063/1.3238263
|
| [13] |
Khurgin J B, Dikmelik Y, Liu P Q, et al. Role of interface roughness in the transport and lasing characteristics of quantum-cascade lasers. Appl Phys Lett, 2009, 94(9), 091101 doi: 10.1063/1.3093819
|
| [14] |
Fujita K, Furuta S, Sugiyama A, et al. High-performance λ ~8.6 μm quantum cascade lasers with single phonon-continuum depopulation structures. IEEE J Quantum Electron, 2010, 46(5), 683 doi: 10.1109/JQE.2010.2048015
|
| [15] |
Figueiredo P, Suttinger M, Go R, et al. Progress in high-power continuous-wave quantum cascade lasers. Appl Opt, 2017, 56(31), H15 doi: 10.1364/AO.56.000H15
|
| [16] |
Yu T, Liu S, Zhang J, et al. InAs-based interband cascade lasers at 4.0 μm operating at room temperature. J Semicond, 2018, 39(11), 114003 doi: 10.1088/1674-4926/39/11/114003
|
| [17] |
Fewster P F. Interface roughness and period variations in MQW structures determined by X-ray diffraction. J Appl Cryst, 1988, 21(5), 524 doi: 10.1107/S0021889888006569
|
| [18] |
Fewster P F. X-ray diffraction from low-dimensional structures. Semicond Sci Technol, 1993, 8(11), 1915 doi: 10.1088/0268-1242/8/11/001
|
| [19] |
Savage D, Kleiner J, Schimke N, et al. Determination of roughness correlations in multilayer films for x-ray mirrors. J Appl Phys, 1991, 69(3), 1411 doi: 10.1063/1.347281
|
| [20] |
Botez D, Chang C C, Mawst L J. Temperature sensitivity of the electro-optical characteristics for mid-infrared (λ = 3–16 μm)-emitting quantum cascade lasers. J Phys D, 2015, 49(4), 043001 doi: 10.1088/0022-3727/49/4/043001
|
| [21] |
Lyakh A, Maulini R, Tsekoun A, et al. Multiwatt long wavelength quantum cascade lasers based on high strain composition with 70% injection efficiency. Opt Express, 2012, 20(22), 24272 doi: 10.1364/OE.20.024272
|
| [22] |
Yang P, Zhang J, Gu Z, et al. Coupled-ridge waveguide quantum cascade laser array lasing at λ ~ 5 μm. J Semicond, 2021, 42(9), 092901 doi: 10.1088/1674-4926/42/9/092901
|
| [23] |
Wittmann A, Bonetti Y, Fischer M, et al. Distributed-feedback quantum-cascade lasers at 9 μm operating in continuous wave up to 423 K. IEEE Photonics Technol Lett, 2009, 21(12), 814 doi: 10.1109/LPT.2009.2019117
|
| [24] |
Chiu Y, Dikmelik Y, Liu P Q, et al. Importance of interface roughness induced intersubband scattering in mid-infrared quantum cascade lasers. Appl Phys Lett, 2012, 101(17), 171117 doi: 10.1063/1.4764516
|
| [25] |
Xu G, Li A. Interface phonons in the active region of a quantum cascade laser. Phys Rev B, 2005, 71(23), 235304 doi: 10.1103/PhysRevB.71.235304
|
| [26] |
Boyle C, Oresick K M, Kirch J D, et al. Carrier leakage via interface-roughness scattering bridges gap between theoretical and experimental internal efficiencies of quantum cascade lasers. Appl Phys Lett, 2020, 117(5), 051101 doi: 10.1063/5.0007812
|
| [27] |
Semtsiv M P, Flores Y, Chashnikova M, et al. Low-threshold intersubband laser based on interface-scattering-rate engineering. Appl Phys Lett, 2012, 100(16), 163502 doi: 10.1063/1.3701824
|
| [1] |
Faist J, Capasso F, Sivco D, et al. Quantum cascade laser. Science, 1994, 264(5158), 553 doi: 10.1126/science.264.5158.553
|
| [2] |
Hugi A, Villares G, Blaser S, et al. Mid-infrared frequency comb based on a quantum cascade laser. Nature, 2012, 492(7428), 229 doi: 10.1038/nature11620
|
| [3] |
Zhang J, Wang L, Zhang W, et al. Holographic fabricated continuous wave operation of distributed feedback quantum cascade lasers at λ ≈ 8.5 μm. J Semicond, 2011, 32(4), 044008 doi: 10.1088/1674-4926/32/4/044008
|
| [4] |
Faist J, Beck M, Allen T, et al. Quantum-cascade lasers based on a bound-to-continuum transition. Appl Phys Lett, 2001, 78(2), 147 doi: 10.1063/1.1339843
|
| [5] |
Beck M, Hofstetter D, Aellen T, et al. Continuous wave operation of a mid-infrared semiconductor laser at room temperature. Science, 2002, 295(5553), 301 doi: 10.1126/science.1066408
|
| [6] |
Botez D, Kirch J D, Boyle C, et al. High-efficiency, high-power mid-infrared quantum cascade lasers. Opt Mater Express, 2018, 8(5), 1378 doi: 10.1364/OME.8.001378
|
| [7] |
Wang C A, Schwarz B, Siriani D F, et al. MOVPE growth of LWIR AlInAs/GaInAs/InP quantum cascade lasers: Impact of growth and material quality on laser performance. IEEE J Sel Top Quantum Electron, 2017, 23(6), 1 doi: 10.1109/JSTQE.2017.2677899
|
| [8] |
Feng X, Caneau C, Leblanc H P, et al. Watt-level room temperature continuous-wave operation of quantum cascade lasers with λ >10 μm. IEEE J Sel Top Quantum Electron, 2013, 19(4), 1200407 doi: 10.1109/JSTQE.2013.2240658
|
| [9] |
Schwarz B, Wang C A, Missaggia L, et al. Watt-level continuous-wave emission from a bifunctional quantum cascade laser/detector. ACS Photonics, 2017, 4(5), 1225 doi: 10.1021/acsphotonics.7b00133
|
| [10] |
Zhou W, Lu Q Y, Wu D H, et al. High-power, continuous-wave, phase-locked quantum cascade laser arrays emitting at 8 microm. Opt Express, 2019, 27(11), 15776 doi: 10.1364/OE.27.015776
|
| [11] |
Wang C A, Schwarz B, Siriani D F, et al. Sensitivity of heterointerfaces on emission wavelength of quantum cascade lasers. J Cryst Growth, 2017, 464, 215 doi: 10.1016/j.jcrysgro.2016.11.029
|
| [12] |
Lyakh A, Maulini R, Tsekoun A, et al. 3 W continuous-wave room temperature single-facet emission from quantum cascade lasers based on nonresonant extraction design approach. Appl Phys Lett, 2009, 95(14), 141113 doi: 10.1063/1.3238263
|
| [13] |
Khurgin J B, Dikmelik Y, Liu P Q, et al. Role of interface roughness in the transport and lasing characteristics of quantum-cascade lasers. Appl Phys Lett, 2009, 94(9), 091101 doi: 10.1063/1.3093819
|
| [14] |
Fujita K, Furuta S, Sugiyama A, et al. High-performance λ ~8.6 μm quantum cascade lasers with single phonon-continuum depopulation structures. IEEE J Quantum Electron, 2010, 46(5), 683 doi: 10.1109/JQE.2010.2048015
|
| [15] |
Figueiredo P, Suttinger M, Go R, et al. Progress in high-power continuous-wave quantum cascade lasers. Appl Opt, 2017, 56(31), H15 doi: 10.1364/AO.56.000H15
|
| [16] |
Yu T, Liu S, Zhang J, et al. InAs-based interband cascade lasers at 4.0 μm operating at room temperature. J Semicond, 2018, 39(11), 114003 doi: 10.1088/1674-4926/39/11/114003
|
| [17] |
Fewster P F. Interface roughness and period variations in MQW structures determined by X-ray diffraction. J Appl Cryst, 1988, 21(5), 524 doi: 10.1107/S0021889888006569
|
| [18] |
Fewster P F. X-ray diffraction from low-dimensional structures. Semicond Sci Technol, 1993, 8(11), 1915 doi: 10.1088/0268-1242/8/11/001
|
| [19] |
Savage D, Kleiner J, Schimke N, et al. Determination of roughness correlations in multilayer films for x-ray mirrors. J Appl Phys, 1991, 69(3), 1411 doi: 10.1063/1.347281
|
| [20] |
Botez D, Chang C C, Mawst L J. Temperature sensitivity of the electro-optical characteristics for mid-infrared (λ = 3–16 μm)-emitting quantum cascade lasers. J Phys D, 2015, 49(4), 043001 doi: 10.1088/0022-3727/49/4/043001
|
| [21] |
Lyakh A, Maulini R, Tsekoun A, et al. Multiwatt long wavelength quantum cascade lasers based on high strain composition with 70% injection efficiency. Opt Express, 2012, 20(22), 24272 doi: 10.1364/OE.20.024272
|
| [22] |
Yang P, Zhang J, Gu Z, et al. Coupled-ridge waveguide quantum cascade laser array lasing at λ ~ 5 μm. J Semicond, 2021, 42(9), 092901 doi: 10.1088/1674-4926/42/9/092901
|
| [23] |
Wittmann A, Bonetti Y, Fischer M, et al. Distributed-feedback quantum-cascade lasers at 9 μm operating in continuous wave up to 423 K. IEEE Photonics Technol Lett, 2009, 21(12), 814 doi: 10.1109/LPT.2009.2019117
|
| [24] |
Chiu Y, Dikmelik Y, Liu P Q, et al. Importance of interface roughness induced intersubband scattering in mid-infrared quantum cascade lasers. Appl Phys Lett, 2012, 101(17), 171117 doi: 10.1063/1.4764516
|
| [25] |
Xu G, Li A. Interface phonons in the active region of a quantum cascade laser. Phys Rev B, 2005, 71(23), 235304 doi: 10.1103/PhysRevB.71.235304
|
| [26] |
Boyle C, Oresick K M, Kirch J D, et al. Carrier leakage via interface-roughness scattering bridges gap between theoretical and experimental internal efficiencies of quantum cascade lasers. Appl Phys Lett, 2020, 117(5), 051101 doi: 10.1063/5.0007812
|
| [27] |
Semtsiv M P, Flores Y, Chashnikova M, et al. Low-threshold intersubband laser based on interface-scattering-rate engineering. Appl Phys Lett, 2012, 100(16), 163502 doi: 10.1063/1.3701824
|
Article views: 3955 Times PDF downloads: 186 Times Cited by: 0 Times
Received: 07 September 2021 Revised: 16 September 2021 Online: Accepted Manuscript: 08 October 2021Uncorrected proof: 20 October 2021Published: 01 November 2021
| Citation: |
Teng Fei, Shenqiang Zhai, Jinchuan Zhang, Ning Zhuo, Junqi Liu, Lijun Wang, Shuman Liu, Zhiwei Jia, Kun Li, Yongqiang Sun, Kai Guo, Fengqi Liu, Zhanguo Wang. High power λ ~ 8.5 μm quantum cascade laser grown by MOCVD operating continuous-wave up to 408 K[J]. Journal of Semiconductors, 2021, 42(11): 112301. doi: 10.1088/1674-4926/42/11/112301
****
T Fei, S Q Zhai, J C Zhang, N Zhuo, J Q Liu, L J Wang, S M Liu, Z W Jia, K Li, Y Q Sun, K Guo, F Q Liu, Z G Wang, High power λ ~ 8.5 μm quantum cascade laser grown by MOCVD operating continuous-wave up to 408 K[J]. J. Semicond., 2021, 42(11): 112301. doi: 10.1088/1674-4926/42/11/112301.
|
| [1] |
Faist J, Capasso F, Sivco D, et al. Quantum cascade laser. Science, 1994, 264(5158), 553 doi: 10.1126/science.264.5158.553
|
| [2] |
Hugi A, Villares G, Blaser S, et al. Mid-infrared frequency comb based on a quantum cascade laser. Nature, 2012, 492(7428), 229 doi: 10.1038/nature11620
|
| [3] |
Zhang J, Wang L, Zhang W, et al. Holographic fabricated continuous wave operation of distributed feedback quantum cascade lasers at λ ≈ 8.5 μm. J Semicond, 2011, 32(4), 044008 doi: 10.1088/1674-4926/32/4/044008
|
| [4] |
Faist J, Beck M, Allen T, et al. Quantum-cascade lasers based on a bound-to-continuum transition. Appl Phys Lett, 2001, 78(2), 147 doi: 10.1063/1.1339843
|
| [5] |
Beck M, Hofstetter D, Aellen T, et al. Continuous wave operation of a mid-infrared semiconductor laser at room temperature. Science, 2002, 295(5553), 301 doi: 10.1126/science.1066408
|
| [6] |
Botez D, Kirch J D, Boyle C, et al. High-efficiency, high-power mid-infrared quantum cascade lasers. Opt Mater Express, 2018, 8(5), 1378 doi: 10.1364/OME.8.001378
|
| [7] |
Wang C A, Schwarz B, Siriani D F, et al. MOVPE growth of LWIR AlInAs/GaInAs/InP quantum cascade lasers: Impact of growth and material quality on laser performance. IEEE J Sel Top Quantum Electron, 2017, 23(6), 1 doi: 10.1109/JSTQE.2017.2677899
|
| [8] |
Feng X, Caneau C, Leblanc H P, et al. Watt-level room temperature continuous-wave operation of quantum cascade lasers with λ >10 μm. IEEE J Sel Top Quantum Electron, 2013, 19(4), 1200407 doi: 10.1109/JSTQE.2013.2240658
|
| [9] |
Schwarz B, Wang C A, Missaggia L, et al. Watt-level continuous-wave emission from a bifunctional quantum cascade laser/detector. ACS Photonics, 2017, 4(5), 1225 doi: 10.1021/acsphotonics.7b00133
|
| [10] |
Zhou W, Lu Q Y, Wu D H, et al. High-power, continuous-wave, phase-locked quantum cascade laser arrays emitting at 8 microm. Opt Express, 2019, 27(11), 15776 doi: 10.1364/OE.27.015776
|
| [11] |
Wang C A, Schwarz B, Siriani D F, et al. Sensitivity of heterointerfaces on emission wavelength of quantum cascade lasers. J Cryst Growth, 2017, 464, 215 doi: 10.1016/j.jcrysgro.2016.11.029
|
| [12] |
Lyakh A, Maulini R, Tsekoun A, et al. 3 W continuous-wave room temperature single-facet emission from quantum cascade lasers based on nonresonant extraction design approach. Appl Phys Lett, 2009, 95(14), 141113 doi: 10.1063/1.3238263
|
| [13] |
Khurgin J B, Dikmelik Y, Liu P Q, et al. Role of interface roughness in the transport and lasing characteristics of quantum-cascade lasers. Appl Phys Lett, 2009, 94(9), 091101 doi: 10.1063/1.3093819
|
| [14] |
Fujita K, Furuta S, Sugiyama A, et al. High-performance λ ~8.6 μm quantum cascade lasers with single phonon-continuum depopulation structures. IEEE J Quantum Electron, 2010, 46(5), 683 doi: 10.1109/JQE.2010.2048015
|
| [15] |
Figueiredo P, Suttinger M, Go R, et al. Progress in high-power continuous-wave quantum cascade lasers. Appl Opt, 2017, 56(31), H15 doi: 10.1364/AO.56.000H15
|
| [16] |
Yu T, Liu S, Zhang J, et al. InAs-based interband cascade lasers at 4.0 μm operating at room temperature. J Semicond, 2018, 39(11), 114003 doi: 10.1088/1674-4926/39/11/114003
|
| [17] |
Fewster P F. Interface roughness and period variations in MQW structures determined by X-ray diffraction. J Appl Cryst, 1988, 21(5), 524 doi: 10.1107/S0021889888006569
|
| [18] |
Fewster P F. X-ray diffraction from low-dimensional structures. Semicond Sci Technol, 1993, 8(11), 1915 doi: 10.1088/0268-1242/8/11/001
|
| [19] |
Savage D, Kleiner J, Schimke N, et al. Determination of roughness correlations in multilayer films for x-ray mirrors. J Appl Phys, 1991, 69(3), 1411 doi: 10.1063/1.347281
|
| [20] |
Botez D, Chang C C, Mawst L J. Temperature sensitivity of the electro-optical characteristics for mid-infrared (λ = 3–16 μm)-emitting quantum cascade lasers. J Phys D, 2015, 49(4), 043001 doi: 10.1088/0022-3727/49/4/043001
|
| [21] |
Lyakh A, Maulini R, Tsekoun A, et al. Multiwatt long wavelength quantum cascade lasers based on high strain composition with 70% injection efficiency. Opt Express, 2012, 20(22), 24272 doi: 10.1364/OE.20.024272
|
| [22] |
Yang P, Zhang J, Gu Z, et al. Coupled-ridge waveguide quantum cascade laser array lasing at λ ~ 5 μm. J Semicond, 2021, 42(9), 092901 doi: 10.1088/1674-4926/42/9/092901
|
| [23] |
Wittmann A, Bonetti Y, Fischer M, et al. Distributed-feedback quantum-cascade lasers at 9 μm operating in continuous wave up to 423 K. IEEE Photonics Technol Lett, 2009, 21(12), 814 doi: 10.1109/LPT.2009.2019117
|
| [24] |
Chiu Y, Dikmelik Y, Liu P Q, et al. Importance of interface roughness induced intersubband scattering in mid-infrared quantum cascade lasers. Appl Phys Lett, 2012, 101(17), 171117 doi: 10.1063/1.4764516
|
| [25] |
Xu G, Li A. Interface phonons in the active region of a quantum cascade laser. Phys Rev B, 2005, 71(23), 235304 doi: 10.1103/PhysRevB.71.235304
|
| [26] |
Boyle C, Oresick K M, Kirch J D, et al. Carrier leakage via interface-roughness scattering bridges gap between theoretical and experimental internal efficiencies of quantum cascade lasers. Appl Phys Lett, 2020, 117(5), 051101 doi: 10.1063/5.0007812
|
| [27] |
Semtsiv M P, Flores Y, Chashnikova M, et al. Low-threshold intersubband laser based on interface-scattering-rate engineering. Appl Phys Lett, 2012, 100(16), 163502 doi: 10.1063/1.3701824
|
Journal of Semiconductors © 2017 All Rights Reserved 京ICP備05085259號-2