ARTICLES
Ye Tao1, 3, Xuhong Li1, Zhongqiang Wang1, , Gang Li2, , Haiyang Xu1, Xiaoning Zhao1, Ya Lin1 and Yichun Liu1
Corresponding author: Zhongqiang Wang, Email: wangzq752@nenu.edu.cn (Z. Q. Wang); Gang Li, gang.li@inest.cas.cn (G. Li)
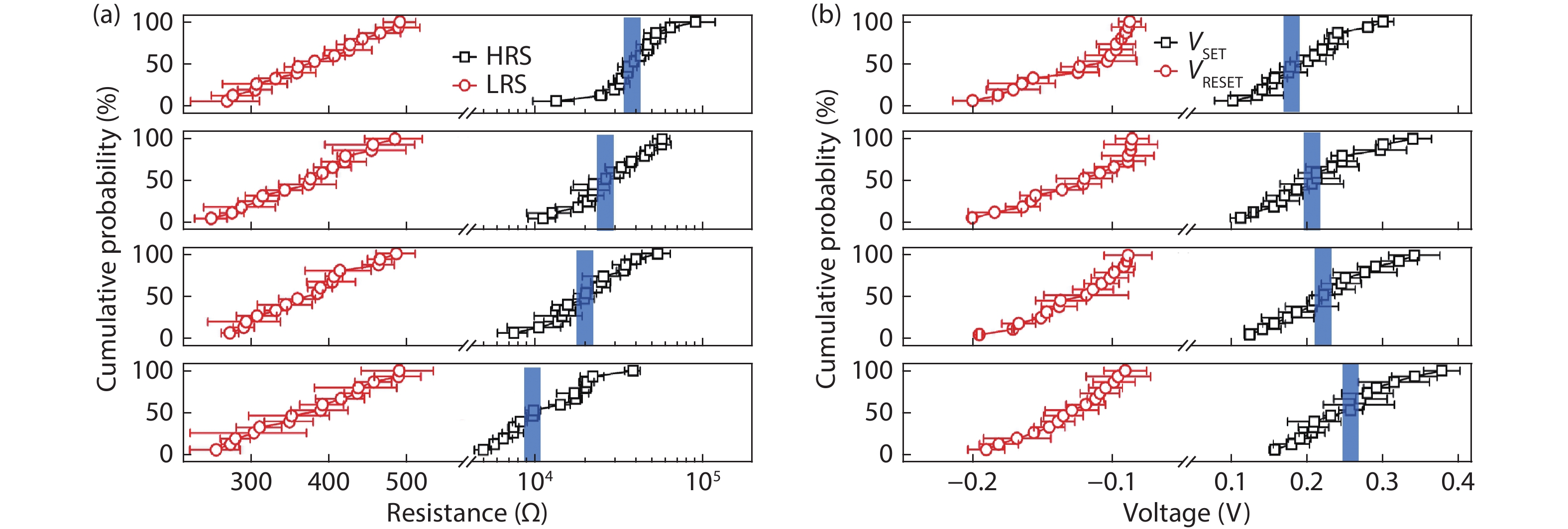
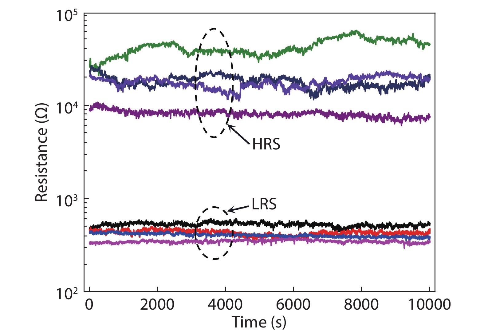
Abstract: In this work, electrochemical metallization memory (ECM) devices with an Ag/AgInSbTe (AIST)/amorphous carbon (a-C)/Pt structure were irradiated with 14 MeV neutrons. The switching reliability performance before and after neutron irradiation was compared and analyzed in detail. The results show that the irradiated memory cells functioned properly, and the initial resistance, the resistance at the low-resistance state (LRS), the RESET voltage and the data retention performance showed little degradation even when the total neutron fluence was as high as 2.5 × 1011 n/cm2. Other switching characteristics such as the forming voltage, the resistance at the high-resistance state (HRS), and the SET voltage were also studied, all of which merely showed a slight parameter drift. Irradiation-induced Ag ions doping of the a-C layer is proposed to explain the damaging effects of neutron irradiation. The excellent hard characteristics of these Ag/AIST/a-C/Pt-based ECM devices suggest potential beneficial applications in the aerospace and nuclear industries.
Key words: ECM, neutron irradiation, chalcogenide, aerospace electronics, nuclear industry
| [1] |
Torre C L, Zurhelle A F, Breuer T, et al. Compact modeling of complementary switching in oxide-based ReRAM devices. IEEE Trans Electron Devices, 2019, 66(3), 1268 doi: 10.1109/TED.2019.2892997
|
| [2] |
Waser R, Aono M. Nanoionics-based resistive switching memories. Nat Mater, 2007, 6(11), 833 doi: 10.1038/nmat2023
|
| [3] |
Ouyang J Y, Chu C W, Szmanda C R, et al. Programmable polymer thin film and non-volatile memory device. Nat Mater, 2004, 3, 918 doi: 10.1038/nmat1269
|
| [4] |
Baek S H, Jang H W, Folkman C M, et al. Ferroelastic switching for nanoscale non-volatile magnetoelectric devices. Nat Mater, 2010, 9, 309 doi: 10.1038/nmat2703
|
| [5] |
Wuttig M, Bhaskaran H, Taubner T. Phase-change materials for non-volatile photonic applications. Nat Photonics, 2017, 11(8), 465 doi: 10.1038/nphoton.2017.126
|
| [6] |
Qi M, Cao S, Yang L, et al. Uniform multilevel switching of graphene oxide-based RRAM achieved by embedding with gold nanoparticles for image pattern recognition. Appl Phys Lett, 2020, 116, 163503 doi: 10.1063/5.0003696
|
| [7] |
Tao Y, Wang Z Q, Xu H Y, et al. Moisture-powered memristor with interfacial oxygen migration for power-free reading of multiple memory states. Nano Energy, 2020, 71(5), 104628 doi: 10.1016/j.nanoen.2020.104628
|
| [8] |
Zhao X N, Wang Z Q, Li W T, et al. Photoassisted electroforming method for reliable low-power organic-inorganic perovskite memristors. Adv Funct Mater, 2020, 30, 1910151 doi: 10.1002/adfm.201910151
|
| [9] |
Wang Z Q, Zeng T, Ren Y Y, et al. Toward a generalized Bienenstock-Cooper-Munro rule for spatiotemporal learning via triplet-STDP in memristive devices. Nat Commun, 2020, 11(1), 1 doi: 10.1038/s41467-019-13993-7
|
| [10] |
Zhao X N, Xu H Y, Wang Z Q, et al. Memristors with organic-inorganic halide perovskites. InfoMat, 2019, 1(2), 183 doi: 10.1002/inf2.12012
|
| [11] |
Wang Z Q, Xu H Y, Li X H, et al. Synaptic learning and memory functions achieved using oxygen ion migration/diffusion in an amorphous InGaZnO memristor. Adv Funct Mater, 2012, 22(13), 2759 doi: 10.1002/adfm.201103148
|
| [12] |
Tao Y, Li X H, Wang Z Q, et al. Improved resistive switching reliability by using dual-layer nanoporous carbon structure. Appl Phys Lett, 2017, 111(18), 183504 doi: 10.1063/1.5003331
|
| [13] |
DeMendon?a R R S, Raulin J P, Bertoni F C P, et al. Long-term and transient time variation of cosmic ray fluxes detected in Argentina by CARPET cosmic ray detector. J Atmos Sol-Terr Phy, 2011, 73, 1410 doi: 10.1016/j.jastp.2010.09.034
|
| [14] |
Garcia Ruiz R F, Bissell M L, Blaum K, et al. Unexpectedly large charge radii of neutron-rich calcium isotopes. Nat Phys, 2016, 12(6), 594 doi: 10.1038/nphys3645
|
| [15] |
Chen W, Barnaby H J, Kozicki M N, et al. A study of gamma-ray exposure of Cu-SiO2 programmable metallization cells. IEEE Trans Nucl Sci, 2015, 62(6), 2404 doi: 10.1109/TNS.2015.2478883
|
| [16] |
Dandamudi P, Kozicki M N, Barnaby H J, et al. Total ionizing dose tolerance of Ag-Ge40S60 based programmable metallization cells. IEEE Trans Nucl Sci, 2014, 61(4), 1726 doi: 10.1109/TNS.2014.2304634
|
| [17] |
Gonzalez-Velo Y, Barnaby H J, Chandran A, et al. Effects of cobalt-60 gamma-rays on Ge-Se chalcogenide glasses and Ag/Ge-Se test structures. IEEE Trans Nucl Sci, 2012, 59(6), 3093 doi: 10.1109/TNS.2012.2224137
|
| [18] |
Taggart J L, Gonzalez-Velo Y, Mahalanabis D, et al. Ionizing radiation effects on nonvolatile memory properties of programmable metallization cells. IEEE Trans Nucl Sci, 2014, 61(6), 2985 doi: 10.1109/TNS.2014.2362126
|
| [19] |
Zhang L, Huang R, Gao D, et al. Total ionizing dose (TID) effects on TaOx-based resistance change memory. IEEE Trans Electron Devices, 2011, 58(8), 2800 doi: 10.1109/TED.2011.2148121
|
| [20] |
Taggart J L, Fang R C, Gonzalezvelo Y, et al. Effects of 14 MeV neutron irradiation on the DC characteristics of CBRAM cells. 16th European Conference on Radiation and Its Effects on Components and Systems, 2016, 1
|
| [21] |
Dandamudi P, Mahmud A, Velo Y G, et al. Flexible sensors based on radiation-induced diffusion of Ag in chalcogenide glass. IEEE Trans Nucl Sci, 2014, 61(6), 3432 doi: 10.1109/TNS.2014.2364140
|
| [22] |
Tao Y, Li X H, Xu H Y, et al. Improved uniformity and endurance through suppression of filament overgrowth in electrochemical metallization memory with AgInSbTe buffer layer. IEEE J Electron Devices, 2018, 6, 714 doi: 10.1109/JEDS.2018.2843162
|
| [23] |
Edwards A H, Campbell K A, Pineda A C. Electron self-trapping in Ge2Se3 and its role in Ag and Sn incorporation. Mater Res Soc Symp Proc, 2012, 1431
|
| [24] |
Zhao C Y, Yan Y, Li H Y, et al. An effective gamma white spots removal method for CCD-based neutron images denoising. Fusion Eng Des, 2020, 150, 11375 doi: 10.1016/j.fusengdes.2019.111375
|
| [25] |
Tao Y, Ding W T, Wang Z Q, et al. Improved switching reliability achieved in HfOx based RRAM with mountain-like surface-graphited carbon layer. Appl Surf Sci, 2018, 440, 107 doi: 10.1016/j.apsusc.2018.01.076
|
| [26] |
Tao Y, Zhao P, Li Y. Nano-graphite clusters regulation for reliability improvement of amorphous carbon-based resistive random access memory. Phys Status Solidi A, 2019, 216(20), 1900278 doi: 10.1002/pssa.201900278
|
| [27] |
Wang Z Q, Xu H Y, Zhang L, et al. Performance improvement of resistive switching memory achieved by enhancing local-electric-field near electromigrated Ag-nanoclusters. Nanoscale, 2013, 5(10), 4490 doi: 10.1039/c3nr33692a
|
| [28] |
Jiao X, Wei J, Gan F, et al. Temperature dependence of thermal properties of Ag8In14Sb55Te23 phase-change memory materials. Appl Phys A, 2009, 94(3), 627 doi: 10.1007/s00339-008-4884-5
|
| [29] |
Ielmini D. Resistive switching memories based on metal oxides: mechanisms, reliability and scaling. Semicond Sci Tech, 2016, 31(6), 063002 doi: 10.1088/0268-1242/31/6/063002
|
| [30] |
Xu J Q, Zhao X N, Wang Z Q, et al. Biodegradable natural pectin-based flexible multilevel resistive switching memory for transient electronics. Small, 2019, 15(4), 1803970 doi: 10.1002/smll.201803970
|
| [31] |
Wang Z, Zhao K D, Xu H Y, et al. Improvement of resistive switching memory achieved by using arc-shaped bottom electrode. Appl Phys Express, 2014, 8(1), 014101 doi: 10.7567/APEX.8.014101
|
| [32] |
Yuan F, Zhang Z G, Wang J C, et al. Total ionizing dose (TID) effects of γ ray radiation on switching behaviors of Ag/AlOx/Pt RRAM device. Nanoscale Res Lett, 2014, 9(1), 452 doi: 10.1186/1556-276X-9-452
|
| [33] |
Wang Y, Lv H B, Wang W, et al. Highly stable radiation-hardened resistive-switching memory. IEEE Electron Device Lett, 2010, 31(12), 1470 doi: 10.1109/LED.2010.2081340
|
| [34] |
Celano U, Goux L, Belmonte A, et al. Three-dimensional observation of the conductive filament in nanoscaled resistive memory devices. Nano Lett, 2014, 14(5), 2401 doi: 10.1021/nl500049g
|
| [1] |
Torre C L, Zurhelle A F, Breuer T, et al. Compact modeling of complementary switching in oxide-based ReRAM devices. IEEE Trans Electron Devices, 2019, 66(3), 1268 doi: 10.1109/TED.2019.2892997
|
| [2] |
Waser R, Aono M. Nanoionics-based resistive switching memories. Nat Mater, 2007, 6(11), 833 doi: 10.1038/nmat2023
|
| [3] |
Ouyang J Y, Chu C W, Szmanda C R, et al. Programmable polymer thin film and non-volatile memory device. Nat Mater, 2004, 3, 918 doi: 10.1038/nmat1269
|
| [4] |
Baek S H, Jang H W, Folkman C M, et al. Ferroelastic switching for nanoscale non-volatile magnetoelectric devices. Nat Mater, 2010, 9, 309 doi: 10.1038/nmat2703
|
| [5] |
Wuttig M, Bhaskaran H, Taubner T. Phase-change materials for non-volatile photonic applications. Nat Photonics, 2017, 11(8), 465 doi: 10.1038/nphoton.2017.126
|
| [6] |
Qi M, Cao S, Yang L, et al. Uniform multilevel switching of graphene oxide-based RRAM achieved by embedding with gold nanoparticles for image pattern recognition. Appl Phys Lett, 2020, 116, 163503 doi: 10.1063/5.0003696
|
| [7] |
Tao Y, Wang Z Q, Xu H Y, et al. Moisture-powered memristor with interfacial oxygen migration for power-free reading of multiple memory states. Nano Energy, 2020, 71(5), 104628 doi: 10.1016/j.nanoen.2020.104628
|
| [8] |
Zhao X N, Wang Z Q, Li W T, et al. Photoassisted electroforming method for reliable low-power organic-inorganic perovskite memristors. Adv Funct Mater, 2020, 30, 1910151 doi: 10.1002/adfm.201910151
|
| [9] |
Wang Z Q, Zeng T, Ren Y Y, et al. Toward a generalized Bienenstock-Cooper-Munro rule for spatiotemporal learning via triplet-STDP in memristive devices. Nat Commun, 2020, 11(1), 1 doi: 10.1038/s41467-019-13993-7
|
| [10] |
Zhao X N, Xu H Y, Wang Z Q, et al. Memristors with organic-inorganic halide perovskites. InfoMat, 2019, 1(2), 183 doi: 10.1002/inf2.12012
|
| [11] |
Wang Z Q, Xu H Y, Li X H, et al. Synaptic learning and memory functions achieved using oxygen ion migration/diffusion in an amorphous InGaZnO memristor. Adv Funct Mater, 2012, 22(13), 2759 doi: 10.1002/adfm.201103148
|
| [12] |
Tao Y, Li X H, Wang Z Q, et al. Improved resistive switching reliability by using dual-layer nanoporous carbon structure. Appl Phys Lett, 2017, 111(18), 183504 doi: 10.1063/1.5003331
|
| [13] |
DeMendon?a R R S, Raulin J P, Bertoni F C P, et al. Long-term and transient time variation of cosmic ray fluxes detected in Argentina by CARPET cosmic ray detector. J Atmos Sol-Terr Phy, 2011, 73, 1410 doi: 10.1016/j.jastp.2010.09.034
|
| [14] |
Garcia Ruiz R F, Bissell M L, Blaum K, et al. Unexpectedly large charge radii of neutron-rich calcium isotopes. Nat Phys, 2016, 12(6), 594 doi: 10.1038/nphys3645
|
| [15] |
Chen W, Barnaby H J, Kozicki M N, et al. A study of gamma-ray exposure of Cu-SiO2 programmable metallization cells. IEEE Trans Nucl Sci, 2015, 62(6), 2404 doi: 10.1109/TNS.2015.2478883
|
| [16] |
Dandamudi P, Kozicki M N, Barnaby H J, et al. Total ionizing dose tolerance of Ag-Ge40S60 based programmable metallization cells. IEEE Trans Nucl Sci, 2014, 61(4), 1726 doi: 10.1109/TNS.2014.2304634
|
| [17] |
Gonzalez-Velo Y, Barnaby H J, Chandran A, et al. Effects of cobalt-60 gamma-rays on Ge-Se chalcogenide glasses and Ag/Ge-Se test structures. IEEE Trans Nucl Sci, 2012, 59(6), 3093 doi: 10.1109/TNS.2012.2224137
|
| [18] |
Taggart J L, Gonzalez-Velo Y, Mahalanabis D, et al. Ionizing radiation effects on nonvolatile memory properties of programmable metallization cells. IEEE Trans Nucl Sci, 2014, 61(6), 2985 doi: 10.1109/TNS.2014.2362126
|
| [19] |
Zhang L, Huang R, Gao D, et al. Total ionizing dose (TID) effects on TaOx-based resistance change memory. IEEE Trans Electron Devices, 2011, 58(8), 2800 doi: 10.1109/TED.2011.2148121
|
| [20] |
Taggart J L, Fang R C, Gonzalezvelo Y, et al. Effects of 14 MeV neutron irradiation on the DC characteristics of CBRAM cells. 16th European Conference on Radiation and Its Effects on Components and Systems, 2016, 1
|
| [21] |
Dandamudi P, Mahmud A, Velo Y G, et al. Flexible sensors based on radiation-induced diffusion of Ag in chalcogenide glass. IEEE Trans Nucl Sci, 2014, 61(6), 3432 doi: 10.1109/TNS.2014.2364140
|
| [22] |
Tao Y, Li X H, Xu H Y, et al. Improved uniformity and endurance through suppression of filament overgrowth in electrochemical metallization memory with AgInSbTe buffer layer. IEEE J Electron Devices, 2018, 6, 714 doi: 10.1109/JEDS.2018.2843162
|
| [23] |
Edwards A H, Campbell K A, Pineda A C. Electron self-trapping in Ge2Se3 and its role in Ag and Sn incorporation. Mater Res Soc Symp Proc, 2012, 1431
|
| [24] |
Zhao C Y, Yan Y, Li H Y, et al. An effective gamma white spots removal method for CCD-based neutron images denoising. Fusion Eng Des, 2020, 150, 11375 doi: 10.1016/j.fusengdes.2019.111375
|
| [25] |
Tao Y, Ding W T, Wang Z Q, et al. Improved switching reliability achieved in HfOx based RRAM with mountain-like surface-graphited carbon layer. Appl Surf Sci, 2018, 440, 107 doi: 10.1016/j.apsusc.2018.01.076
|
| [26] |
Tao Y, Zhao P, Li Y. Nano-graphite clusters regulation for reliability improvement of amorphous carbon-based resistive random access memory. Phys Status Solidi A, 2019, 216(20), 1900278 doi: 10.1002/pssa.201900278
|
| [27] |
Wang Z Q, Xu H Y, Zhang L, et al. Performance improvement of resistive switching memory achieved by enhancing local-electric-field near electromigrated Ag-nanoclusters. Nanoscale, 2013, 5(10), 4490 doi: 10.1039/c3nr33692a
|
| [28] |
Jiao X, Wei J, Gan F, et al. Temperature dependence of thermal properties of Ag8In14Sb55Te23 phase-change memory materials. Appl Phys A, 2009, 94(3), 627 doi: 10.1007/s00339-008-4884-5
|
| [29] |
Ielmini D. Resistive switching memories based on metal oxides: mechanisms, reliability and scaling. Semicond Sci Tech, 2016, 31(6), 063002 doi: 10.1088/0268-1242/31/6/063002
|
| [30] |
Xu J Q, Zhao X N, Wang Z Q, et al. Biodegradable natural pectin-based flexible multilevel resistive switching memory for transient electronics. Small, 2019, 15(4), 1803970 doi: 10.1002/smll.201803970
|
| [31] |
Wang Z, Zhao K D, Xu H Y, et al. Improvement of resistive switching memory achieved by using arc-shaped bottom electrode. Appl Phys Express, 2014, 8(1), 014101 doi: 10.7567/APEX.8.014101
|
| [32] |
Yuan F, Zhang Z G, Wang J C, et al. Total ionizing dose (TID) effects of γ ray radiation on switching behaviors of Ag/AlOx/Pt RRAM device. Nanoscale Res Lett, 2014, 9(1), 452 doi: 10.1186/1556-276X-9-452
|
| [33] |
Wang Y, Lv H B, Wang W, et al. Highly stable radiation-hardened resistive-switching memory. IEEE Electron Device Lett, 2010, 31(12), 1470 doi: 10.1109/LED.2010.2081340
|
| [34] |
Celano U, Goux L, Belmonte A, et al. Three-dimensional observation of the conductive filament in nanoscaled resistive memory devices. Nano Lett, 2014, 14(5), 2401 doi: 10.1021/nl500049g
|
Article views: 4303 Times PDF downloads: 117 Times Cited by: 0 Times
Received: 14 October 2020 Revised: 09 November 2020 Online: Accepted Manuscript: 18 December 2020Uncorrected proof: 23 December 2020Published: 09 January 2021
| Citation: |
Ye Tao, Xuhong Li, Zhongqiang Wang, Gang Li, Haiyang Xu, Xiaoning Zhao, Ya Lin, Yichun Liu. Neutron irradiation-induced effects on the reliability performance of electrochemical metallization memory devices[J]. Journal of Semiconductors, 2021, 42(1): 014103. doi: 10.1088/1674-4926/42/1/014103
****
Y Tao, X H Li, Z Q Wang, G Li, H Y Xu, X N Zhao, Y Lin, Y C Liu, Neutron irradiation-induced effects on the reliability performance of electrochemical metallization memory devices[J]. J. Semicond., 2021, 42(1): 014103. doi: 10.1088/1674-4926/42/1/014103.
|
| [1] |
Torre C L, Zurhelle A F, Breuer T, et al. Compact modeling of complementary switching in oxide-based ReRAM devices. IEEE Trans Electron Devices, 2019, 66(3), 1268 doi: 10.1109/TED.2019.2892997
|
| [2] |
Waser R, Aono M. Nanoionics-based resistive switching memories. Nat Mater, 2007, 6(11), 833 doi: 10.1038/nmat2023
|
| [3] |
Ouyang J Y, Chu C W, Szmanda C R, et al. Programmable polymer thin film and non-volatile memory device. Nat Mater, 2004, 3, 918 doi: 10.1038/nmat1269
|
| [4] |
Baek S H, Jang H W, Folkman C M, et al. Ferroelastic switching for nanoscale non-volatile magnetoelectric devices. Nat Mater, 2010, 9, 309 doi: 10.1038/nmat2703
|
| [5] |
Wuttig M, Bhaskaran H, Taubner T. Phase-change materials for non-volatile photonic applications. Nat Photonics, 2017, 11(8), 465 doi: 10.1038/nphoton.2017.126
|
| [6] |
Qi M, Cao S, Yang L, et al. Uniform multilevel switching of graphene oxide-based RRAM achieved by embedding with gold nanoparticles for image pattern recognition. Appl Phys Lett, 2020, 116, 163503 doi: 10.1063/5.0003696
|
| [7] |
Tao Y, Wang Z Q, Xu H Y, et al. Moisture-powered memristor with interfacial oxygen migration for power-free reading of multiple memory states. Nano Energy, 2020, 71(5), 104628 doi: 10.1016/j.nanoen.2020.104628
|
| [8] |
Zhao X N, Wang Z Q, Li W T, et al. Photoassisted electroforming method for reliable low-power organic-inorganic perovskite memristors. Adv Funct Mater, 2020, 30, 1910151 doi: 10.1002/adfm.201910151
|
| [9] |
Wang Z Q, Zeng T, Ren Y Y, et al. Toward a generalized Bienenstock-Cooper-Munro rule for spatiotemporal learning via triplet-STDP in memristive devices. Nat Commun, 2020, 11(1), 1 doi: 10.1038/s41467-019-13993-7
|
| [10] |
Zhao X N, Xu H Y, Wang Z Q, et al. Memristors with organic-inorganic halide perovskites. InfoMat, 2019, 1(2), 183 doi: 10.1002/inf2.12012
|
| [11] |
Wang Z Q, Xu H Y, Li X H, et al. Synaptic learning and memory functions achieved using oxygen ion migration/diffusion in an amorphous InGaZnO memristor. Adv Funct Mater, 2012, 22(13), 2759 doi: 10.1002/adfm.201103148
|
| [12] |
Tao Y, Li X H, Wang Z Q, et al. Improved resistive switching reliability by using dual-layer nanoporous carbon structure. Appl Phys Lett, 2017, 111(18), 183504 doi: 10.1063/1.5003331
|
| [13] |
DeMendon?a R R S, Raulin J P, Bertoni F C P, et al. Long-term and transient time variation of cosmic ray fluxes detected in Argentina by CARPET cosmic ray detector. J Atmos Sol-Terr Phy, 2011, 73, 1410 doi: 10.1016/j.jastp.2010.09.034
|
| [14] |
Garcia Ruiz R F, Bissell M L, Blaum K, et al. Unexpectedly large charge radii of neutron-rich calcium isotopes. Nat Phys, 2016, 12(6), 594 doi: 10.1038/nphys3645
|
| [15] |
Chen W, Barnaby H J, Kozicki M N, et al. A study of gamma-ray exposure of Cu-SiO2 programmable metallization cells. IEEE Trans Nucl Sci, 2015, 62(6), 2404 doi: 10.1109/TNS.2015.2478883
|
| [16] |
Dandamudi P, Kozicki M N, Barnaby H J, et al. Total ionizing dose tolerance of Ag-Ge40S60 based programmable metallization cells. IEEE Trans Nucl Sci, 2014, 61(4), 1726 doi: 10.1109/TNS.2014.2304634
|
| [17] |
Gonzalez-Velo Y, Barnaby H J, Chandran A, et al. Effects of cobalt-60 gamma-rays on Ge-Se chalcogenide glasses and Ag/Ge-Se test structures. IEEE Trans Nucl Sci, 2012, 59(6), 3093 doi: 10.1109/TNS.2012.2224137
|
| [18] |
Taggart J L, Gonzalez-Velo Y, Mahalanabis D, et al. Ionizing radiation effects on nonvolatile memory properties of programmable metallization cells. IEEE Trans Nucl Sci, 2014, 61(6), 2985 doi: 10.1109/TNS.2014.2362126
|
| [19] |
Zhang L, Huang R, Gao D, et al. Total ionizing dose (TID) effects on TaOx-based resistance change memory. IEEE Trans Electron Devices, 2011, 58(8), 2800 doi: 10.1109/TED.2011.2148121
|
| [20] |
Taggart J L, Fang R C, Gonzalezvelo Y, et al. Effects of 14 MeV neutron irradiation on the DC characteristics of CBRAM cells. 16th European Conference on Radiation and Its Effects on Components and Systems, 2016, 1
|
| [21] |
Dandamudi P, Mahmud A, Velo Y G, et al. Flexible sensors based on radiation-induced diffusion of Ag in chalcogenide glass. IEEE Trans Nucl Sci, 2014, 61(6), 3432 doi: 10.1109/TNS.2014.2364140
|
| [22] |
Tao Y, Li X H, Xu H Y, et al. Improved uniformity and endurance through suppression of filament overgrowth in electrochemical metallization memory with AgInSbTe buffer layer. IEEE J Electron Devices, 2018, 6, 714 doi: 10.1109/JEDS.2018.2843162
|
| [23] |
Edwards A H, Campbell K A, Pineda A C. Electron self-trapping in Ge2Se3 and its role in Ag and Sn incorporation. Mater Res Soc Symp Proc, 2012, 1431
|
| [24] |
Zhao C Y, Yan Y, Li H Y, et al. An effective gamma white spots removal method for CCD-based neutron images denoising. Fusion Eng Des, 2020, 150, 11375 doi: 10.1016/j.fusengdes.2019.111375
|
| [25] |
Tao Y, Ding W T, Wang Z Q, et al. Improved switching reliability achieved in HfOx based RRAM with mountain-like surface-graphited carbon layer. Appl Surf Sci, 2018, 440, 107 doi: 10.1016/j.apsusc.2018.01.076
|
| [26] |
Tao Y, Zhao P, Li Y. Nano-graphite clusters regulation for reliability improvement of amorphous carbon-based resistive random access memory. Phys Status Solidi A, 2019, 216(20), 1900278 doi: 10.1002/pssa.201900278
|
| [27] |
Wang Z Q, Xu H Y, Zhang L, et al. Performance improvement of resistive switching memory achieved by enhancing local-electric-field near electromigrated Ag-nanoclusters. Nanoscale, 2013, 5(10), 4490 doi: 10.1039/c3nr33692a
|
| [28] |
Jiao X, Wei J, Gan F, et al. Temperature dependence of thermal properties of Ag8In14Sb55Te23 phase-change memory materials. Appl Phys A, 2009, 94(3), 627 doi: 10.1007/s00339-008-4884-5
|
| [29] |
Ielmini D. Resistive switching memories based on metal oxides: mechanisms, reliability and scaling. Semicond Sci Tech, 2016, 31(6), 063002 doi: 10.1088/0268-1242/31/6/063002
|
| [30] |
Xu J Q, Zhao X N, Wang Z Q, et al. Biodegradable natural pectin-based flexible multilevel resistive switching memory for transient electronics. Small, 2019, 15(4), 1803970 doi: 10.1002/smll.201803970
|
| [31] |
Wang Z, Zhao K D, Xu H Y, et al. Improvement of resistive switching memory achieved by using arc-shaped bottom electrode. Appl Phys Express, 2014, 8(1), 014101 doi: 10.7567/APEX.8.014101
|
| [32] |
Yuan F, Zhang Z G, Wang J C, et al. Total ionizing dose (TID) effects of γ ray radiation on switching behaviors of Ag/AlOx/Pt RRAM device. Nanoscale Res Lett, 2014, 9(1), 452 doi: 10.1186/1556-276X-9-452
|
| [33] |
Wang Y, Lv H B, Wang W, et al. Highly stable radiation-hardened resistive-switching memory. IEEE Electron Device Lett, 2010, 31(12), 1470 doi: 10.1109/LED.2010.2081340
|
| [34] |
Celano U, Goux L, Belmonte A, et al. Three-dimensional observation of the conductive filament in nanoscaled resistive memory devices. Nano Lett, 2014, 14(5), 2401 doi: 10.1021/nl500049g
|
Journal of Semiconductors © 2017 All Rights Reserved 京ICP備05085259號-2