ARTICLES
Chenrong Gong, Lin Chen, Weihua Liu and Guohe Zhang
Corresponding author: Guohe Zhang, zhangguohe@xjtu.edu.cn
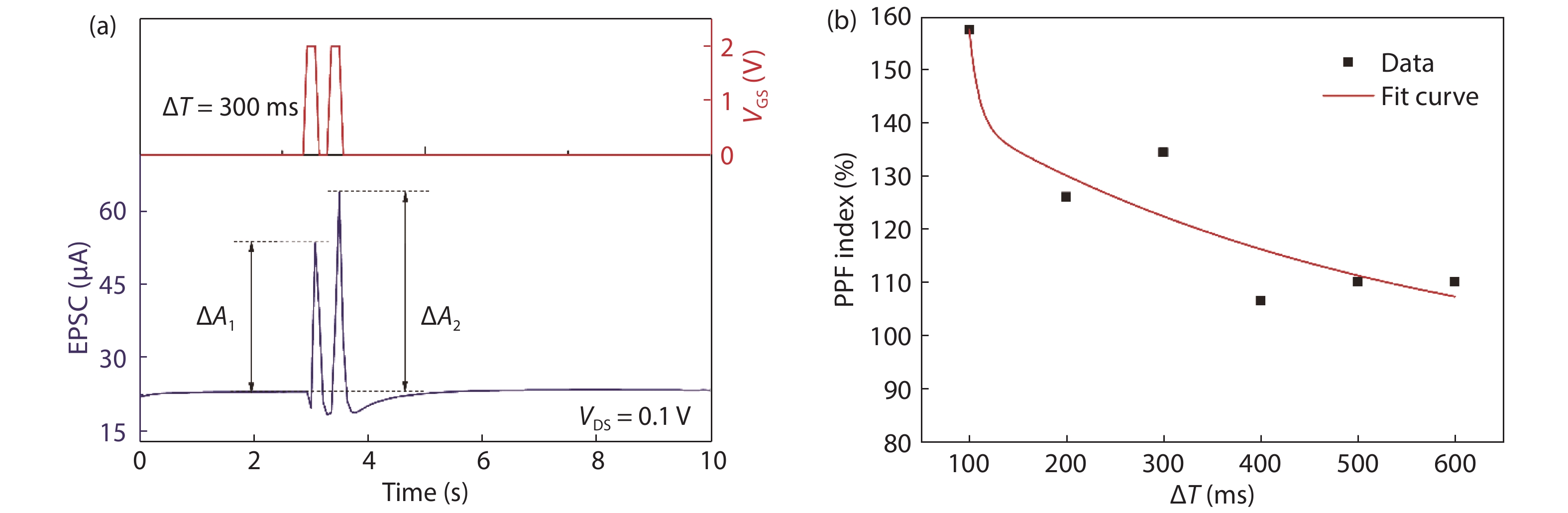
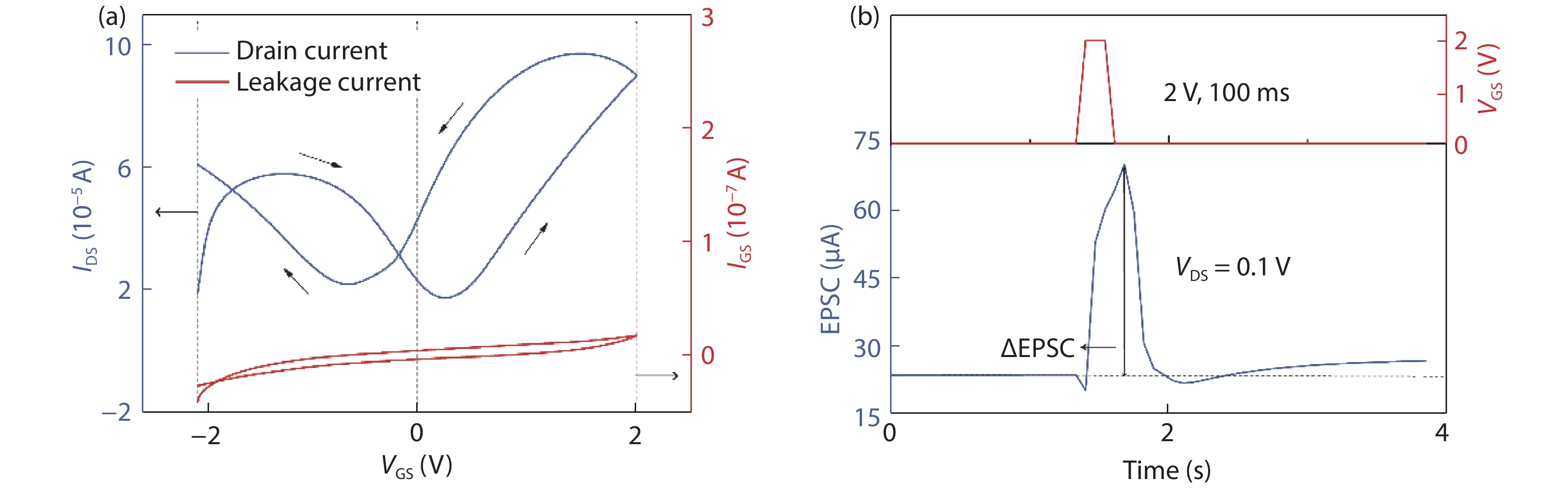
Abstract: Multi-terminal electric-double-layer transistors have recently attracted extensive interest in terms of mimicking synaptic and neural functions. In this work, an Ion-Gel gated graphene synaptic transistor was proposed to mimic the essential synaptic behaviors by exploiting the bipolar property of graphene and the ionic conductivity of Ion-Gel. The Ion-Gel dielectrics were deposited onto the graphene film by the spin coating process. We consider the top gate and graphene channel as a presynaptic and postsynaptic terminal, respectively. Basic synaptic functions were successfully mimicked, including the excitatory postsynaptic current (EPSC), the effect of spike amplitude and duration on EPSC, and paired-pulse facilitation (PPF). This work may facilitate the application of graphene synaptic transistors in flexible electronics.
Key words: Ion-Gel, graphene, synaptic transistors, short-term plasticity (STP)
| [1] |
von Neumann J. First draft of a report on the EDVAC. IEEE Ann Hist Comput, 1993, 15(4), 27 doi: 10.1109/85.238389
|
| [2] |
Nawrocki R A, Voyles R M, Shaheen S E. A mini review of neuromorphic architectures and implementations. IEEE Trans Electron Devices, 2016, 63(10), 3819 doi: 10.1109/TED.2016.2598413
|
| [3] |
Kendall J D, Kumar S. The building blocks of a brain-inspired computer. Appl Phys Rev, 2020, 7(1), 11305 doi: 10.1063/1.5129306
|
| [4] |
Yao P, Wu H, Gao B, et al. Fully hardware-implemented memristor convolutional neural network. Nature, 2020, 577(7792), 641 doi: 10.1038/s41586-020-1942-4
|
| [5] |
Roy K, Jaiswal A, Panda P. Towards spike-based machine intelligence with neuromorphic computing. Nature, 2019, 575(7784), 607 doi: 10.1038/s41586-019-1677-2
|
| [6] |
Pei J, Deng L, Song S, et al. Towards artificial general intelligence with hybrid Tianjic chip architecture. Nature, 2019, 572(7767), 106 doi: 10.1038/s41586-019-1424-8
|
| [7] |
Tian H, Mi W, Zhao H, et al. A novel artificial synapse with dual modes using bilayer graphene as the bottom electrode. Nanoscale, 2017, 9(27), 9275 doi: 10.1039/C7NR03106H
|
| [8] |
Kandel E, Schwartz J, Jessell T, et al. Principles of neural science. New York: McGraw-Hill, 2013
|
| [9] |
Li J, Yang Y, Yin M, et al. Electrochemical and thermodynamic processes of metal nanoclusters enabled biorealistic synapses and leaky-integrate-and-fire neurons. Mater Horiz, 2020, 7(1), 71 doi: 10.1039/C9MH01206K
|
| [10] |
Yan X, Zhao Q, Chen A P, et al. Vacancy-induced synaptic behavior in 2D WS2 nanosheet-based memristor for low-power neuromorphic computing. Small, 2019, 15(24), 1901423 doi: 10.1002/smll.201901423
|
| [11] |
Ielmini D, Wong H S P. In-memory computing with resistive switching devices. Nat Electron, 2018, 1(6), 333 doi: 10.1038/s41928-018-0092-2
|
| [12] |
Wang Z, Joshi S, Savel'ev S E, et al. Memristors with diffusive dynamics as synaptic emulators for neuromorphic computing. Nat Mater, 2017, 16(1), 101 doi: 10.1038/nmat4756
|
| [13] |
Liu B, Liu Z, Chiu I, et al. Programmable synaptic metaplasticity and below femtojoule spiking energy realized in graphene-based neuromorphic memristor. Acs Appl Mater Interfaces, 2018, 10(24), 20237 doi: 10.1021/acsami.8b04685
|
| [14] |
Yao Y, Huang X, Peng S, et al. Reconfigurable artificial synapses between excitatory and inhibitory modes based on single-gate graphene transistors. Adv Electron Mater, 2019, 5(5), 1800887 doi: 10.1002/aelm.201800887
|
| [15] |
Huang H Y, Ge C, Zhang Q H, et al. Electrolyte-gated synaptic transistor with oxygen ions. Adv Funct Mater, 2019, 29(29), 1902702 doi: 10.1002/adfm.201902702
|
| [16] |
Dai S, Zhao Y, Wang Y, et al. Recent advances in transistor-based artificial synapses. Adv Funct Mater, 2019, 29(42), 1903700 doi: 10.1002/adfm.201903700
|
| [17] |
Liu M, Huang G, Feng P, et al. Artificial neuron synapse transistor based on silicon nanomembrane on plastic substrate. J Semicond, 2017, 38(6), 64006 doi: 10.1088/1674-4926/38/6/064006
|
| [18] |
Perea G, Navarrete M, Araque A. Tripartite synapses: Astrocytes process and control synaptic information. Trends Neurosci, 2009, 32(8), 421 doi: 10.1016/j.tins.2009.05.001
|
| [19] |
Valtcheva S, Venance L. Astrocytes gate Hebbian synaptic plasticity in the striatum. Nat Commun, 2016, 7(1), 13845 doi: 10.1038/ncomms13845
|
| [20] |
He Y, Wan Q. Multi-terminal oxide-based electric-double-layer thin-film transistors for neuromorphic systems. ECS Trans, 2018, 86(11), 177 doi: 10.1149/08611.0177ecst
|
| [21] |
Singh M, Manoli K, Tiwari A, et al. The double layer capacitance of ionic liquids for electrolyte gating of ZnO thin film transistors and effect of gate electrodes. J Mater Chem C, 2017, 5(14), 3509 doi: 10.1039/C7TC00800G
|
| [22] |
Schmidt E, Shi S, Ruden P P, et al. Characterization of the electric double layer formation dynamics of a metal/ionic liquid/metal structure. Acs Appl Mater Interfaces, 2016, 8(23), 14879 doi: 10.1021/acsami.6b04065
|
| [23] |
He Y, Yang Y, Nie S, et al. Electric-double-layer transistors for synaptic devices and neuromorphic systems. J Mater Chem C, 2018, 6(2), 5336 doi: 10.1039/C8TC00530C
|
| [24] |
Kong L, Sun J, Qian C, et al. Ion-gel gated field-effect transistors with solution-processed oxide semiconductors for bioinspired artificial synapses. Org Electron, 2016, 39, 64 doi: 10.1016/j.orgel.2016.09.029
|
| [25] |
Wan X, Yang Y, Feng P, et al. Short-term plasticity and synaptic filtering emulated in electrolyte-gated IGZO transistors. IEEE Electron Device Lett, 2016, 37(3), 299 doi: 10.1109/LED.2016.2517080
|
| [26] |
Jiang J, Hu W, Xie D, et al. 2D electric-double-layer phototransistor for photoelectronic and spatiotemporal hybrid neuromorphic integration. Nanoscale, 2019, 11(3), 1360 doi: 10.1039/C8NR07133K
|
| [27] |
Cho J H, Lee J, Xia Y, et al. Printable ion-gel gate dielectrics for low-voltage polymer thin-film transistors on plastic. Nat Mater, 2008, 7(11), 900 doi: 10.1038/nmat2291
|
| [28] |
Liu J, Qian Q, Zou Y, et al. Enhanced performance of graphene transistor with ion-gel top gate. Carbon, 2014, 68, 480 doi: 10.1016/j.carbon.2013.11.024
|
| [29] |
Kim B J, Jang H, Lee S, et al. High-performance flexible graphene field effect transistors with ion gel gate dielectrics. Nano Lett, 2010, 10(9), 3464 doi: 10.1021/nl101559n
|
| [30] |
Chen L, Gong C, Zhang G, et al. Graphene synaptic transistor based on Ion-Gel dielectric. IEEE International Conference on Electron Devices and Solid-State Circuits, 2019, 1
|
| [31] |
Rs Z, Wg R. Short-term synaptic plasticity. Annu Rev Physiol, 2002, 64, 355 doi: 10.1146/annurev.physiol.64.092501.114547
|
| [32] |
Abbott L F, Regehr W G. Synaptic computation. Nature, 2004, 431(7010), 796 doi: 10.1038/nature03010
|
| [33] |
Abraham W C. Metaplasticity: tuning synapses and networks for plasticity. Nat Rev Neurosci, 2008, 9(5), 387 doi: 10.1038/nrn2356
|
| [34] |
Jiang J, Guo J, Wan X, et al. 2D MoS2 neuromorphic devices for brain-like computational systems. Small, 2017, 13(29), 1700933 doi: 10.1002/smll.201700933
|
| [35] |
Tian H, Mi W, Wang X, et al. Graphene dynamic synapse with modulatable plasticity. Nano Lett, 2015, 15(12), 8013 doi: 10.1021/acs.nanolett.5b03283
|
| [36] |
Wang H, Wu Y, Cong C, et al. Hysteresis of electronic transport in graphene transistors. Acs Nano, 2010, 4(12), 7221 doi: 10.1021/nn101950n
|
| [37] |
Atluri P P, Regehr W G. Determinants of the time course of facilitation at the granule cell to purkinje cell synapse. J Neurosci, 1996, 16(18), 5661 doi: 10.1523/JNEUROSCI.16-18-05661.1996
|
| [1] |
von Neumann J. First draft of a report on the EDVAC. IEEE Ann Hist Comput, 1993, 15(4), 27 doi: 10.1109/85.238389
|
| [2] |
Nawrocki R A, Voyles R M, Shaheen S E. A mini review of neuromorphic architectures and implementations. IEEE Trans Electron Devices, 2016, 63(10), 3819 doi: 10.1109/TED.2016.2598413
|
| [3] |
Kendall J D, Kumar S. The building blocks of a brain-inspired computer. Appl Phys Rev, 2020, 7(1), 11305 doi: 10.1063/1.5129306
|
| [4] |
Yao P, Wu H, Gao B, et al. Fully hardware-implemented memristor convolutional neural network. Nature, 2020, 577(7792), 641 doi: 10.1038/s41586-020-1942-4
|
| [5] |
Roy K, Jaiswal A, Panda P. Towards spike-based machine intelligence with neuromorphic computing. Nature, 2019, 575(7784), 607 doi: 10.1038/s41586-019-1677-2
|
| [6] |
Pei J, Deng L, Song S, et al. Towards artificial general intelligence with hybrid Tianjic chip architecture. Nature, 2019, 572(7767), 106 doi: 10.1038/s41586-019-1424-8
|
| [7] |
Tian H, Mi W, Zhao H, et al. A novel artificial synapse with dual modes using bilayer graphene as the bottom electrode. Nanoscale, 2017, 9(27), 9275 doi: 10.1039/C7NR03106H
|
| [8] |
Kandel E, Schwartz J, Jessell T, et al. Principles of neural science. New York: McGraw-Hill, 2013
|
| [9] |
Li J, Yang Y, Yin M, et al. Electrochemical and thermodynamic processes of metal nanoclusters enabled biorealistic synapses and leaky-integrate-and-fire neurons. Mater Horiz, 2020, 7(1), 71 doi: 10.1039/C9MH01206K
|
| [10] |
Yan X, Zhao Q, Chen A P, et al. Vacancy-induced synaptic behavior in 2D WS2 nanosheet-based memristor for low-power neuromorphic computing. Small, 2019, 15(24), 1901423 doi: 10.1002/smll.201901423
|
| [11] |
Ielmini D, Wong H S P. In-memory computing with resistive switching devices. Nat Electron, 2018, 1(6), 333 doi: 10.1038/s41928-018-0092-2
|
| [12] |
Wang Z, Joshi S, Savel'ev S E, et al. Memristors with diffusive dynamics as synaptic emulators for neuromorphic computing. Nat Mater, 2017, 16(1), 101 doi: 10.1038/nmat4756
|
| [13] |
Liu B, Liu Z, Chiu I, et al. Programmable synaptic metaplasticity and below femtojoule spiking energy realized in graphene-based neuromorphic memristor. Acs Appl Mater Interfaces, 2018, 10(24), 20237 doi: 10.1021/acsami.8b04685
|
| [14] |
Yao Y, Huang X, Peng S, et al. Reconfigurable artificial synapses between excitatory and inhibitory modes based on single-gate graphene transistors. Adv Electron Mater, 2019, 5(5), 1800887 doi: 10.1002/aelm.201800887
|
| [15] |
Huang H Y, Ge C, Zhang Q H, et al. Electrolyte-gated synaptic transistor with oxygen ions. Adv Funct Mater, 2019, 29(29), 1902702 doi: 10.1002/adfm.201902702
|
| [16] |
Dai S, Zhao Y, Wang Y, et al. Recent advances in transistor-based artificial synapses. Adv Funct Mater, 2019, 29(42), 1903700 doi: 10.1002/adfm.201903700
|
| [17] |
Liu M, Huang G, Feng P, et al. Artificial neuron synapse transistor based on silicon nanomembrane on plastic substrate. J Semicond, 2017, 38(6), 64006 doi: 10.1088/1674-4926/38/6/064006
|
| [18] |
Perea G, Navarrete M, Araque A. Tripartite synapses: Astrocytes process and control synaptic information. Trends Neurosci, 2009, 32(8), 421 doi: 10.1016/j.tins.2009.05.001
|
| [19] |
Valtcheva S, Venance L. Astrocytes gate Hebbian synaptic plasticity in the striatum. Nat Commun, 2016, 7(1), 13845 doi: 10.1038/ncomms13845
|
| [20] |
He Y, Wan Q. Multi-terminal oxide-based electric-double-layer thin-film transistors for neuromorphic systems. ECS Trans, 2018, 86(11), 177 doi: 10.1149/08611.0177ecst
|
| [21] |
Singh M, Manoli K, Tiwari A, et al. The double layer capacitance of ionic liquids for electrolyte gating of ZnO thin film transistors and effect of gate electrodes. J Mater Chem C, 2017, 5(14), 3509 doi: 10.1039/C7TC00800G
|
| [22] |
Schmidt E, Shi S, Ruden P P, et al. Characterization of the electric double layer formation dynamics of a metal/ionic liquid/metal structure. Acs Appl Mater Interfaces, 2016, 8(23), 14879 doi: 10.1021/acsami.6b04065
|
| [23] |
He Y, Yang Y, Nie S, et al. Electric-double-layer transistors for synaptic devices and neuromorphic systems. J Mater Chem C, 2018, 6(2), 5336 doi: 10.1039/C8TC00530C
|
| [24] |
Kong L, Sun J, Qian C, et al. Ion-gel gated field-effect transistors with solution-processed oxide semiconductors for bioinspired artificial synapses. Org Electron, 2016, 39, 64 doi: 10.1016/j.orgel.2016.09.029
|
| [25] |
Wan X, Yang Y, Feng P, et al. Short-term plasticity and synaptic filtering emulated in electrolyte-gated IGZO transistors. IEEE Electron Device Lett, 2016, 37(3), 299 doi: 10.1109/LED.2016.2517080
|
| [26] |
Jiang J, Hu W, Xie D, et al. 2D electric-double-layer phototransistor for photoelectronic and spatiotemporal hybrid neuromorphic integration. Nanoscale, 2019, 11(3), 1360 doi: 10.1039/C8NR07133K
|
| [27] |
Cho J H, Lee J, Xia Y, et al. Printable ion-gel gate dielectrics for low-voltage polymer thin-film transistors on plastic. Nat Mater, 2008, 7(11), 900 doi: 10.1038/nmat2291
|
| [28] |
Liu J, Qian Q, Zou Y, et al. Enhanced performance of graphene transistor with ion-gel top gate. Carbon, 2014, 68, 480 doi: 10.1016/j.carbon.2013.11.024
|
| [29] |
Kim B J, Jang H, Lee S, et al. High-performance flexible graphene field effect transistors with ion gel gate dielectrics. Nano Lett, 2010, 10(9), 3464 doi: 10.1021/nl101559n
|
| [30] |
Chen L, Gong C, Zhang G, et al. Graphene synaptic transistor based on Ion-Gel dielectric. IEEE International Conference on Electron Devices and Solid-State Circuits, 2019, 1
|
| [31] |
Rs Z, Wg R. Short-term synaptic plasticity. Annu Rev Physiol, 2002, 64, 355 doi: 10.1146/annurev.physiol.64.092501.114547
|
| [32] |
Abbott L F, Regehr W G. Synaptic computation. Nature, 2004, 431(7010), 796 doi: 10.1038/nature03010
|
| [33] |
Abraham W C. Metaplasticity: tuning synapses and networks for plasticity. Nat Rev Neurosci, 2008, 9(5), 387 doi: 10.1038/nrn2356
|
| [34] |
Jiang J, Guo J, Wan X, et al. 2D MoS2 neuromorphic devices for brain-like computational systems. Small, 2017, 13(29), 1700933 doi: 10.1002/smll.201700933
|
| [35] |
Tian H, Mi W, Wang X, et al. Graphene dynamic synapse with modulatable plasticity. Nano Lett, 2015, 15(12), 8013 doi: 10.1021/acs.nanolett.5b03283
|
| [36] |
Wang H, Wu Y, Cong C, et al. Hysteresis of electronic transport in graphene transistors. Acs Nano, 2010, 4(12), 7221 doi: 10.1021/nn101950n
|
| [37] |
Atluri P P, Regehr W G. Determinants of the time course of facilitation at the granule cell to purkinje cell synapse. J Neurosci, 1996, 16(18), 5661 doi: 10.1523/JNEUROSCI.16-18-05661.1996
|
Article views: 5734 Times PDF downloads: 202 Times Cited by: 0 Times
Received: 29 May 2020 Revised: 03 September 2020 Online: Accepted Manuscript: 03 November 2020Uncorrected proof: 04 November 2020Published: 09 January 2021
| Citation: |
Chenrong Gong, Lin Chen, Weihua Liu, Guohe Zhang. Study of short-term synaptic plasticity in Ion-Gel gated graphene electric-double-layer synaptic transistors[J]. Journal of Semiconductors, 2021, 42(1): 014101. doi: 10.1088/1674-4926/42/1/014101
****
C R Gong, L Chen, W H Liu, G H Zhang, Study of short-term synaptic plasticity in Ion-Gel gated graphene electric-double-layer synaptic transistors[J]. J. Semicond., 2021, 42(1): 014101. doi: 10.1088/1674-4926/42/1/014101.
|
| [1] |
von Neumann J. First draft of a report on the EDVAC. IEEE Ann Hist Comput, 1993, 15(4), 27 doi: 10.1109/85.238389
|
| [2] |
Nawrocki R A, Voyles R M, Shaheen S E. A mini review of neuromorphic architectures and implementations. IEEE Trans Electron Devices, 2016, 63(10), 3819 doi: 10.1109/TED.2016.2598413
|
| [3] |
Kendall J D, Kumar S. The building blocks of a brain-inspired computer. Appl Phys Rev, 2020, 7(1), 11305 doi: 10.1063/1.5129306
|
| [4] |
Yao P, Wu H, Gao B, et al. Fully hardware-implemented memristor convolutional neural network. Nature, 2020, 577(7792), 641 doi: 10.1038/s41586-020-1942-4
|
| [5] |
Roy K, Jaiswal A, Panda P. Towards spike-based machine intelligence with neuromorphic computing. Nature, 2019, 575(7784), 607 doi: 10.1038/s41586-019-1677-2
|
| [6] |
Pei J, Deng L, Song S, et al. Towards artificial general intelligence with hybrid Tianjic chip architecture. Nature, 2019, 572(7767), 106 doi: 10.1038/s41586-019-1424-8
|
| [7] |
Tian H, Mi W, Zhao H, et al. A novel artificial synapse with dual modes using bilayer graphene as the bottom electrode. Nanoscale, 2017, 9(27), 9275 doi: 10.1039/C7NR03106H
|
| [8] |
Kandel E, Schwartz J, Jessell T, et al. Principles of neural science. New York: McGraw-Hill, 2013
|
| [9] |
Li J, Yang Y, Yin M, et al. Electrochemical and thermodynamic processes of metal nanoclusters enabled biorealistic synapses and leaky-integrate-and-fire neurons. Mater Horiz, 2020, 7(1), 71 doi: 10.1039/C9MH01206K
|
| [10] |
Yan X, Zhao Q, Chen A P, et al. Vacancy-induced synaptic behavior in 2D WS2 nanosheet-based memristor for low-power neuromorphic computing. Small, 2019, 15(24), 1901423 doi: 10.1002/smll.201901423
|
| [11] |
Ielmini D, Wong H S P. In-memory computing with resistive switching devices. Nat Electron, 2018, 1(6), 333 doi: 10.1038/s41928-018-0092-2
|
| [12] |
Wang Z, Joshi S, Savel'ev S E, et al. Memristors with diffusive dynamics as synaptic emulators for neuromorphic computing. Nat Mater, 2017, 16(1), 101 doi: 10.1038/nmat4756
|
| [13] |
Liu B, Liu Z, Chiu I, et al. Programmable synaptic metaplasticity and below femtojoule spiking energy realized in graphene-based neuromorphic memristor. Acs Appl Mater Interfaces, 2018, 10(24), 20237 doi: 10.1021/acsami.8b04685
|
| [14] |
Yao Y, Huang X, Peng S, et al. Reconfigurable artificial synapses between excitatory and inhibitory modes based on single-gate graphene transistors. Adv Electron Mater, 2019, 5(5), 1800887 doi: 10.1002/aelm.201800887
|
| [15] |
Huang H Y, Ge C, Zhang Q H, et al. Electrolyte-gated synaptic transistor with oxygen ions. Adv Funct Mater, 2019, 29(29), 1902702 doi: 10.1002/adfm.201902702
|
| [16] |
Dai S, Zhao Y, Wang Y, et al. Recent advances in transistor-based artificial synapses. Adv Funct Mater, 2019, 29(42), 1903700 doi: 10.1002/adfm.201903700
|
| [17] |
Liu M, Huang G, Feng P, et al. Artificial neuron synapse transistor based on silicon nanomembrane on plastic substrate. J Semicond, 2017, 38(6), 64006 doi: 10.1088/1674-4926/38/6/064006
|
| [18] |
Perea G, Navarrete M, Araque A. Tripartite synapses: Astrocytes process and control synaptic information. Trends Neurosci, 2009, 32(8), 421 doi: 10.1016/j.tins.2009.05.001
|
| [19] |
Valtcheva S, Venance L. Astrocytes gate Hebbian synaptic plasticity in the striatum. Nat Commun, 2016, 7(1), 13845 doi: 10.1038/ncomms13845
|
| [20] |
He Y, Wan Q. Multi-terminal oxide-based electric-double-layer thin-film transistors for neuromorphic systems. ECS Trans, 2018, 86(11), 177 doi: 10.1149/08611.0177ecst
|
| [21] |
Singh M, Manoli K, Tiwari A, et al. The double layer capacitance of ionic liquids for electrolyte gating of ZnO thin film transistors and effect of gate electrodes. J Mater Chem C, 2017, 5(14), 3509 doi: 10.1039/C7TC00800G
|
| [22] |
Schmidt E, Shi S, Ruden P P, et al. Characterization of the electric double layer formation dynamics of a metal/ionic liquid/metal structure. Acs Appl Mater Interfaces, 2016, 8(23), 14879 doi: 10.1021/acsami.6b04065
|
| [23] |
He Y, Yang Y, Nie S, et al. Electric-double-layer transistors for synaptic devices and neuromorphic systems. J Mater Chem C, 2018, 6(2), 5336 doi: 10.1039/C8TC00530C
|
| [24] |
Kong L, Sun J, Qian C, et al. Ion-gel gated field-effect transistors with solution-processed oxide semiconductors for bioinspired artificial synapses. Org Electron, 2016, 39, 64 doi: 10.1016/j.orgel.2016.09.029
|
| [25] |
Wan X, Yang Y, Feng P, et al. Short-term plasticity and synaptic filtering emulated in electrolyte-gated IGZO transistors. IEEE Electron Device Lett, 2016, 37(3), 299 doi: 10.1109/LED.2016.2517080
|
| [26] |
Jiang J, Hu W, Xie D, et al. 2D electric-double-layer phototransistor for photoelectronic and spatiotemporal hybrid neuromorphic integration. Nanoscale, 2019, 11(3), 1360 doi: 10.1039/C8NR07133K
|
| [27] |
Cho J H, Lee J, Xia Y, et al. Printable ion-gel gate dielectrics for low-voltage polymer thin-film transistors on plastic. Nat Mater, 2008, 7(11), 900 doi: 10.1038/nmat2291
|
| [28] |
Liu J, Qian Q, Zou Y, et al. Enhanced performance of graphene transistor with ion-gel top gate. Carbon, 2014, 68, 480 doi: 10.1016/j.carbon.2013.11.024
|
| [29] |
Kim B J, Jang H, Lee S, et al. High-performance flexible graphene field effect transistors with ion gel gate dielectrics. Nano Lett, 2010, 10(9), 3464 doi: 10.1021/nl101559n
|
| [30] |
Chen L, Gong C, Zhang G, et al. Graphene synaptic transistor based on Ion-Gel dielectric. IEEE International Conference on Electron Devices and Solid-State Circuits, 2019, 1
|
| [31] |
Rs Z, Wg R. Short-term synaptic plasticity. Annu Rev Physiol, 2002, 64, 355 doi: 10.1146/annurev.physiol.64.092501.114547
|
| [32] |
Abbott L F, Regehr W G. Synaptic computation. Nature, 2004, 431(7010), 796 doi: 10.1038/nature03010
|
| [33] |
Abraham W C. Metaplasticity: tuning synapses and networks for plasticity. Nat Rev Neurosci, 2008, 9(5), 387 doi: 10.1038/nrn2356
|
| [34] |
Jiang J, Guo J, Wan X, et al. 2D MoS2 neuromorphic devices for brain-like computational systems. Small, 2017, 13(29), 1700933 doi: 10.1002/smll.201700933
|
| [35] |
Tian H, Mi W, Wang X, et al. Graphene dynamic synapse with modulatable plasticity. Nano Lett, 2015, 15(12), 8013 doi: 10.1021/acs.nanolett.5b03283
|
| [36] |
Wang H, Wu Y, Cong C, et al. Hysteresis of electronic transport in graphene transistors. Acs Nano, 2010, 4(12), 7221 doi: 10.1021/nn101950n
|
| [37] |
Atluri P P, Regehr W G. Determinants of the time course of facilitation at the granule cell to purkinje cell synapse. J Neurosci, 1996, 16(18), 5661 doi: 10.1523/JNEUROSCI.16-18-05661.1996
|
Journal of Semiconductors © 2017 All Rights Reserved 京ICP備05085259號-2