ARTICLES
Guozhen Shen1, 2, , Haoran Chen1, 2 and Zheng Lou1
Corresponding author: Guozhen Shen, gzshen@semi.ac.cn
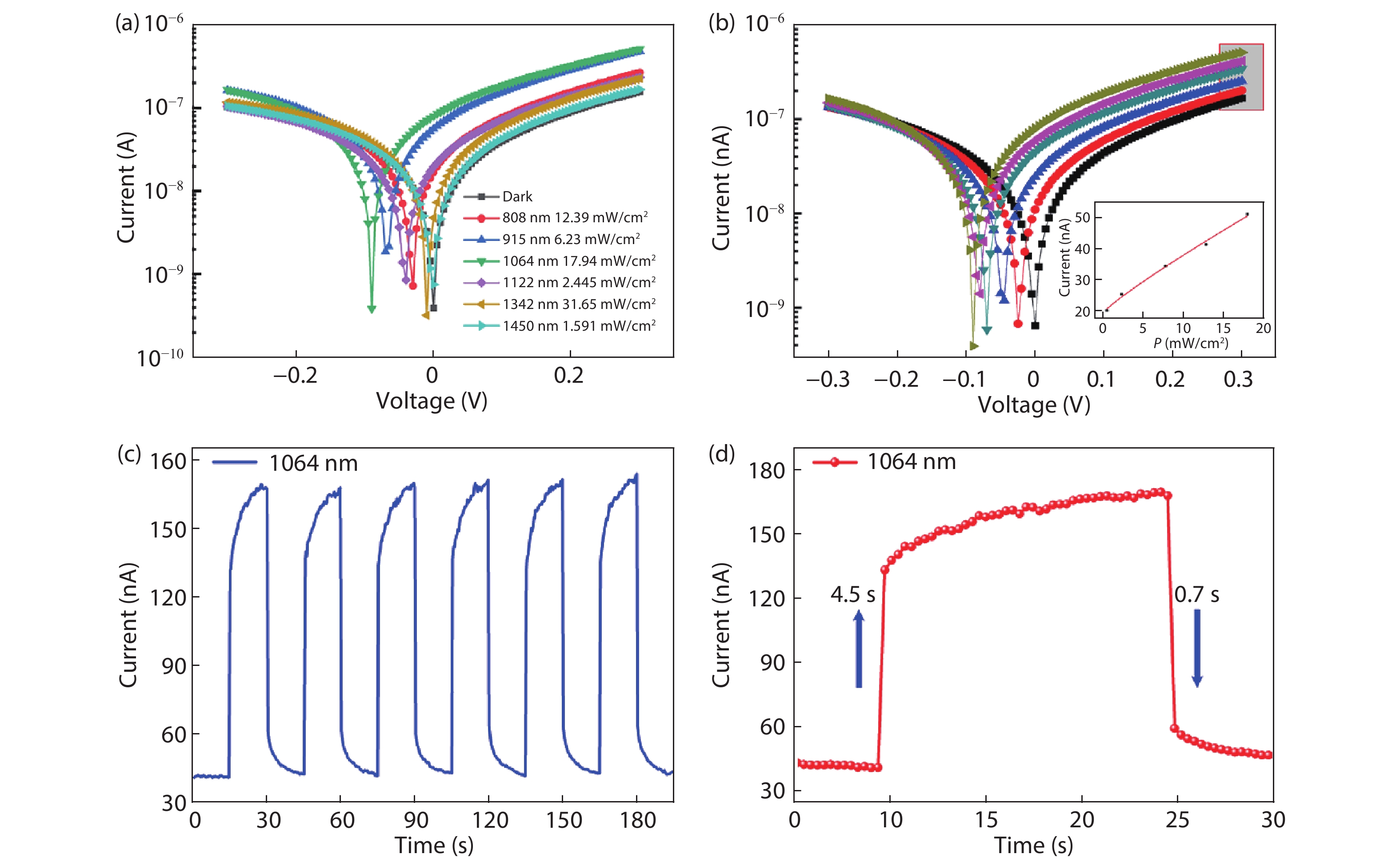
Abstract: Aligned SnS nanowires arrays were grown via a simple chemical vapor deposition method. As-synthesized SnS nanowires are single crystals grown along the [111] direction. The single SnS nanowire based device showed excellent response to near infrared lights with good responsivity of 267.9 A/W, high external quantum efficiency of 3.12 × 104 % and fast response time. Photodetectors were built on the aligned SnS nanowire arrays, exhibiting a light on/off ratio of 3.6, and the response and decay time of 4.5 and 0.7 s, respectively, to 1064 nm light illumination.
Key words: photodetectors, nanowires, infrared, aligned
| [1] |
Steinmann V, Jaramillo R, Hartman K, et al. 3.88% efficient tin sulfide solar cells using congruent thermal evaporation. Adv Mater, 2014, 26, 7488 doi: 10.1002/adma.201402219
|
| [2] |
Zhao L, Tan G, Hao S, et al. Ultrahigh power factor and thermoelectric performance in hole-doped single-crystal SnSe. Science, 2016, 351, 141 doi: 10.1126/science.aad3749
|
| [3] |
Rath T, Gury L, Sanchez-Molina I, et al. Formation of porous SnS nanoplate networks from solution and their application in hybrid solar cells. Chem Commun, 2015, 51, 10198 doi: 10.1039/C5CC03125G
|
| [4] |
Kumar G M, Fu X, Ilanchezhiyan P, et al. Highly sensitive flexible photodetectors based on self-assembled tin monosulfide nanoflakes with graphene electrodes. ACS Appl Mater Interface, 2017, 9(37), 32142 doi: 10.1021/acsami.7b09959
|
| [5] |
Lin Y, Wen X, Wang L, et al. Structure and optical properties of SnS nanowire arrays prepared with two-step method. Adv Mater Res, 2012, 476, 1519 doi: 10.4028/www.scientific.net/AMR.476-478.1519
|
| [6] |
Zhou X, Gan L, Zhang Q, et al. High performance near-infrared photodetectors based on ultrathin SnS nanobelts grown via physical vapor deposition. J Mater Chem C, 2016, 4(11), 2111 doi: 10.1039/C5TC04410C
|
| [7] |
Zheng D, Fang H, Long M, et al. High-performance near-infrared photodetectors based on p-type SnX (X = S, Se) nanowires grown via chemical vapor deposition. ACS Nano, 2018, 12(7), 7239 doi: 10.1021/acsnano.8b03291
|
| [8] |
Chao J, Wang Z, Xu X, et al. Tin sulfide nanoribbons as high performance photoelectrochemical cells, flexible photodetectors and visible-light-driven photocatalysts. RSC Adv, 2013, 3, 2746 doi: 10.1039/c2ra22092j
|
| [9] |
Zhang Z, Yang J, Zhang K, et al. Anisotropic photoresponse of layered 2D SnS-based near infrared photodetectors. J Mater Chem C, 2017, 5(43), 11288 doi: 10.1039/C7TC02865B
|
| [10] |
Deng Z, Cao D, He J, et al. Solution synthesis of ultrathin single-crystalline SnS nanoribbons for photodetectors via phase transition and surface processing. ACS Nano, 2012, 6, 6197 doi: 10.1021/nn302504p
|
| [11] |
Ning L, Jiang T, Shao Z, et al. Light-trapping enhanced ZnO-MoS2 core-shell nanopillar arrays for broadband ultraviolet-visible-near infrared photodetection. J Mater Chem C, 2018, 6, 7077 doi: 10.1039/C8TC02139B
|
| [12] |
Zhang D, Gu L, Zhang Q, et al. Increasing photoluminescence quantum yield by nanophotonic design of quantum-confined halide perovskite nanowire arrays. Nano Lett, 2019, 19(5), 2850 doi: 10.1021/acs.nanolett.8b04887
|
| [13] |
Gu L, Tavakoli M M, Zhang D, et al. 3D arrays of 1024-pixel image sensors based on lead halide perovskite nanowires. Adv Mater, 2016, 28, 9713 doi: 10.1002/adma.201601603
|
| [14] |
Fan Z, Kapadia R, Leu P, et al. Ordered arrays of dual-diameter nanopillars for maximized optical absorption. Nano Lett, 2010, 10, 3823 doi: 10.1021/nl1010788
|
| [15] |
Fan Z, Razzavi H, Do J, et al. Three-dimensional nanopillar-array photovoltaics on low-cost and flexible substrate. Nat Mater, 2009, 8, 648 doi: 10.1038/nmat2493
|
| [16] |
Duan X, Lieber C M. General synthesis of compound semiconductor nanowires. Adv Mater, 2000, 12, 298 doi: 10.1002/(SICI)1521-4095(200002)12:4<298::AID-ADMA298>3.0.CO;2-Y
|
| [17] |
Wu Y, Yang P. Direct observation of vapor-liquid-solid nanowire growth. J Am Chem Soc, 2001, 123, 3165 doi: 10.1021/ja0059084
|
| [18] |
Shen G, Xu J, Wang X, et al. Growth of directly transferrable In2O3 nanowire mats for transparent thin-film transistors applications. Adv Mater, 2011, 23, 771 doi: 10.1002/adma.201003474
|
| [19] |
Luo T, Liang B, Liu Z, et al. Single-GaSb-nanowire-based room temperature photodetectors with broad spectral response. Sci Bull, 2015, 60, 101 doi: 10.1007/s11434-014-0687-6
|
| [20] |
Duan T, Lou Z, Shen G. Electrical transport and photoresponse properties of single-crystalline Cd3As2 nanowires. Sci China-Phys Mech Astron, 2015, 58, 027801 doi: 10.1007/s11433-014-5629-4
|
| [21] |
Li L, Lou Z, Shen G. Flexible broadband image sensors with SnS quantum dots/Zn2SnO4 nanowires hybrid nanostructures. Adv Funct Mater, 2018, 18, 1705389 doi: 10.1002/adfm.201705389
|
| [22] |
Chen S, Lou Z, Chen D, et al. Printble Zn2GeO4 microwires based flexible photodetectors with tunable photorespone. Adv Mater Technol, 2018, 3, 1800050 doi: 10.1002/admt.201800050
|
| [23] |
Lou Z, Li L, Shen G. InGaO3(ZnO) superlattice nanowires for high performance ultraviolet photodetectors. Adv Electron Mater, 2015, 1, 1500054 doi: 10.1002/aelm.201500054
|
| [24] |
Lou Z, Yang X L, Chen H R, et al. Flexible ultraviolet photodetectors based on ZnO–SnO2 heterojunction nanowire arrays. J Semicond, 2018, 39(2), 024002 doi: 10.1088/1674-4926/39/2/024002
|
| [25] |
Chen G, Liang B, Liu X, et al. High-performance hybrid phenyl-C61-butyric acid methyl ester/Cd3P2 nanowire ultraviolet-visible-near infrared photodetectors. ACS Nano, 2014, 8, 787 doi: 10.1021/nn405442z
|
| [26] |
Lou Z, Li L, Shen G. Ultraviolet/visible photodetectors with ultrafast, high photosensitivity based on 1D ZnS/CdS heterostructures. Nanoscale, 2016, 8, 5219 doi: 10.1039/C5NR08792A
|
| [27] |
Chai R, Lou Z, Shen G. Highly flexible self-powered photodetectors based on core-shell Sb/CdS nanowires. J Mater Chem C, 2019, 7, 4581 doi: 10.1039/c8tc06383d
|
| [28] |
Liu Z, Luo T, Liang B, et al. High-detectivity InAs nanowire photodetectors with spectral response from ultraviolet to near-infrared. Nano Res, 2013, 6, 775 doi: 10.1007/s12274-013-0356-0
|
| [29] |
Gong X, Tong M, Xia Y, et al. High-detectivity polymer photodetectors with spectral response from 300 nm to 1450 nm. Science, 2009, 325, 1665 doi: 10.1126/science.1176706
|
| [30] |
Miao J, Hu W, Guo N, et al. Single InAs nanowire room temperature near-infrared photodetectors. ACS Nano, 2014, 8, 3628 doi: 10.1021/nn500201g
|
| [31] |
Ouyang B, Zhang K, Yang Y, et al. Photocurrent polarity controlled by light wavelength in self-powered ZnO nanowires/SnS photodetector system. iScience, 2018, 1, 16 doi: 10.1016/j.isci.2018.01.002
|
| [32] |
Chen G, Liang B, Liu Z, et al. High performance rigid and flexible visible-light photodetectors based on aligned X(In,Ga)P nanowire arrays. J Mater Chem C, 2014, 2, 1270 doi: 10.1039/C3TC31507J
|
| [1] |
Steinmann V, Jaramillo R, Hartman K, et al. 3.88% efficient tin sulfide solar cells using congruent thermal evaporation. Adv Mater, 2014, 26, 7488 doi: 10.1002/adma.201402219
|
| [2] |
Zhao L, Tan G, Hao S, et al. Ultrahigh power factor and thermoelectric performance in hole-doped single-crystal SnSe. Science, 2016, 351, 141 doi: 10.1126/science.aad3749
|
| [3] |
Rath T, Gury L, Sanchez-Molina I, et al. Formation of porous SnS nanoplate networks from solution and their application in hybrid solar cells. Chem Commun, 2015, 51, 10198 doi: 10.1039/C5CC03125G
|
| [4] |
Kumar G M, Fu X, Ilanchezhiyan P, et al. Highly sensitive flexible photodetectors based on self-assembled tin monosulfide nanoflakes with graphene electrodes. ACS Appl Mater Interface, 2017, 9(37), 32142 doi: 10.1021/acsami.7b09959
|
| [5] |
Lin Y, Wen X, Wang L, et al. Structure and optical properties of SnS nanowire arrays prepared with two-step method. Adv Mater Res, 2012, 476, 1519 doi: 10.4028/www.scientific.net/AMR.476-478.1519
|
| [6] |
Zhou X, Gan L, Zhang Q, et al. High performance near-infrared photodetectors based on ultrathin SnS nanobelts grown via physical vapor deposition. J Mater Chem C, 2016, 4(11), 2111 doi: 10.1039/C5TC04410C
|
| [7] |
Zheng D, Fang H, Long M, et al. High-performance near-infrared photodetectors based on p-type SnX (X = S, Se) nanowires grown via chemical vapor deposition. ACS Nano, 2018, 12(7), 7239 doi: 10.1021/acsnano.8b03291
|
| [8] |
Chao J, Wang Z, Xu X, et al. Tin sulfide nanoribbons as high performance photoelectrochemical cells, flexible photodetectors and visible-light-driven photocatalysts. RSC Adv, 2013, 3, 2746 doi: 10.1039/c2ra22092j
|
| [9] |
Zhang Z, Yang J, Zhang K, et al. Anisotropic photoresponse of layered 2D SnS-based near infrared photodetectors. J Mater Chem C, 2017, 5(43), 11288 doi: 10.1039/C7TC02865B
|
| [10] |
Deng Z, Cao D, He J, et al. Solution synthesis of ultrathin single-crystalline SnS nanoribbons for photodetectors via phase transition and surface processing. ACS Nano, 2012, 6, 6197 doi: 10.1021/nn302504p
|
| [11] |
Ning L, Jiang T, Shao Z, et al. Light-trapping enhanced ZnO-MoS2 core-shell nanopillar arrays for broadband ultraviolet-visible-near infrared photodetection. J Mater Chem C, 2018, 6, 7077 doi: 10.1039/C8TC02139B
|
| [12] |
Zhang D, Gu L, Zhang Q, et al. Increasing photoluminescence quantum yield by nanophotonic design of quantum-confined halide perovskite nanowire arrays. Nano Lett, 2019, 19(5), 2850 doi: 10.1021/acs.nanolett.8b04887
|
| [13] |
Gu L, Tavakoli M M, Zhang D, et al. 3D arrays of 1024-pixel image sensors based on lead halide perovskite nanowires. Adv Mater, 2016, 28, 9713 doi: 10.1002/adma.201601603
|
| [14] |
Fan Z, Kapadia R, Leu P, et al. Ordered arrays of dual-diameter nanopillars for maximized optical absorption. Nano Lett, 2010, 10, 3823 doi: 10.1021/nl1010788
|
| [15] |
Fan Z, Razzavi H, Do J, et al. Three-dimensional nanopillar-array photovoltaics on low-cost and flexible substrate. Nat Mater, 2009, 8, 648 doi: 10.1038/nmat2493
|
| [16] |
Duan X, Lieber C M. General synthesis of compound semiconductor nanowires. Adv Mater, 2000, 12, 298 doi: 10.1002/(SICI)1521-4095(200002)12:4<298::AID-ADMA298>3.0.CO;2-Y
|
| [17] |
Wu Y, Yang P. Direct observation of vapor-liquid-solid nanowire growth. J Am Chem Soc, 2001, 123, 3165 doi: 10.1021/ja0059084
|
| [18] |
Shen G, Xu J, Wang X, et al. Growth of directly transferrable In2O3 nanowire mats for transparent thin-film transistors applications. Adv Mater, 2011, 23, 771 doi: 10.1002/adma.201003474
|
| [19] |
Luo T, Liang B, Liu Z, et al. Single-GaSb-nanowire-based room temperature photodetectors with broad spectral response. Sci Bull, 2015, 60, 101 doi: 10.1007/s11434-014-0687-6
|
| [20] |
Duan T, Lou Z, Shen G. Electrical transport and photoresponse properties of single-crystalline Cd3As2 nanowires. Sci China-Phys Mech Astron, 2015, 58, 027801 doi: 10.1007/s11433-014-5629-4
|
| [21] |
Li L, Lou Z, Shen G. Flexible broadband image sensors with SnS quantum dots/Zn2SnO4 nanowires hybrid nanostructures. Adv Funct Mater, 2018, 18, 1705389 doi: 10.1002/adfm.201705389
|
| [22] |
Chen S, Lou Z, Chen D, et al. Printble Zn2GeO4 microwires based flexible photodetectors with tunable photorespone. Adv Mater Technol, 2018, 3, 1800050 doi: 10.1002/admt.201800050
|
| [23] |
Lou Z, Li L, Shen G. InGaO3(ZnO) superlattice nanowires for high performance ultraviolet photodetectors. Adv Electron Mater, 2015, 1, 1500054 doi: 10.1002/aelm.201500054
|
| [24] |
Lou Z, Yang X L, Chen H R, et al. Flexible ultraviolet photodetectors based on ZnO–SnO2 heterojunction nanowire arrays. J Semicond, 2018, 39(2), 024002 doi: 10.1088/1674-4926/39/2/024002
|
| [25] |
Chen G, Liang B, Liu X, et al. High-performance hybrid phenyl-C61-butyric acid methyl ester/Cd3P2 nanowire ultraviolet-visible-near infrared photodetectors. ACS Nano, 2014, 8, 787 doi: 10.1021/nn405442z
|
| [26] |
Lou Z, Li L, Shen G. Ultraviolet/visible photodetectors with ultrafast, high photosensitivity based on 1D ZnS/CdS heterostructures. Nanoscale, 2016, 8, 5219 doi: 10.1039/C5NR08792A
|
| [27] |
Chai R, Lou Z, Shen G. Highly flexible self-powered photodetectors based on core-shell Sb/CdS nanowires. J Mater Chem C, 2019, 7, 4581 doi: 10.1039/c8tc06383d
|
| [28] |
Liu Z, Luo T, Liang B, et al. High-detectivity InAs nanowire photodetectors with spectral response from ultraviolet to near-infrared. Nano Res, 2013, 6, 775 doi: 10.1007/s12274-013-0356-0
|
| [29] |
Gong X, Tong M, Xia Y, et al. High-detectivity polymer photodetectors with spectral response from 300 nm to 1450 nm. Science, 2009, 325, 1665 doi: 10.1126/science.1176706
|
| [30] |
Miao J, Hu W, Guo N, et al. Single InAs nanowire room temperature near-infrared photodetectors. ACS Nano, 2014, 8, 3628 doi: 10.1021/nn500201g
|
| [31] |
Ouyang B, Zhang K, Yang Y, et al. Photocurrent polarity controlled by light wavelength in self-powered ZnO nanowires/SnS photodetector system. iScience, 2018, 1, 16 doi: 10.1016/j.isci.2018.01.002
|
| [32] |
Chen G, Liang B, Liu Z, et al. High performance rigid and flexible visible-light photodetectors based on aligned X(In,Ga)P nanowire arrays. J Mater Chem C, 2014, 2, 1270 doi: 10.1039/C3TC31507J
|
Article views: 5784 Times PDF downloads: 94 Times Cited by: 0 Times
Received: 05 March 2020 Revised: 10 March 2020 Online: Accepted Manuscript: 17 March 2020Uncorrected proof: 19 March 2020Published: 10 April 2020
| Citation: |
Guozhen Shen, Haoran Chen, Zheng Lou. Growth of aligned SnS nanowire arrays for near infrared photodetectors[J]. Journal of Semiconductors, 2020, 41(4): 042602. doi: 10.1088/1674-4926/41/4/042602
****
G Z Shen, H R Chen, Z Lou, Growth of aligned SnS nanowire arrays for near infrared photodetectors[J]. J. Semicond., 2020, 41(4): 042602. doi: 10.1088/1674-4926/41/4/042602.
|
| [1] |
Steinmann V, Jaramillo R, Hartman K, et al. 3.88% efficient tin sulfide solar cells using congruent thermal evaporation. Adv Mater, 2014, 26, 7488 doi: 10.1002/adma.201402219
|
| [2] |
Zhao L, Tan G, Hao S, et al. Ultrahigh power factor and thermoelectric performance in hole-doped single-crystal SnSe. Science, 2016, 351, 141 doi: 10.1126/science.aad3749
|
| [3] |
Rath T, Gury L, Sanchez-Molina I, et al. Formation of porous SnS nanoplate networks from solution and their application in hybrid solar cells. Chem Commun, 2015, 51, 10198 doi: 10.1039/C5CC03125G
|
| [4] |
Kumar G M, Fu X, Ilanchezhiyan P, et al. Highly sensitive flexible photodetectors based on self-assembled tin monosulfide nanoflakes with graphene electrodes. ACS Appl Mater Interface, 2017, 9(37), 32142 doi: 10.1021/acsami.7b09959
|
| [5] |
Lin Y, Wen X, Wang L, et al. Structure and optical properties of SnS nanowire arrays prepared with two-step method. Adv Mater Res, 2012, 476, 1519 doi: 10.4028/www.scientific.net/AMR.476-478.1519
|
| [6] |
Zhou X, Gan L, Zhang Q, et al. High performance near-infrared photodetectors based on ultrathin SnS nanobelts grown via physical vapor deposition. J Mater Chem C, 2016, 4(11), 2111 doi: 10.1039/C5TC04410C
|
| [7] |
Zheng D, Fang H, Long M, et al. High-performance near-infrared photodetectors based on p-type SnX (X = S, Se) nanowires grown via chemical vapor deposition. ACS Nano, 2018, 12(7), 7239 doi: 10.1021/acsnano.8b03291
|
| [8] |
Chao J, Wang Z, Xu X, et al. Tin sulfide nanoribbons as high performance photoelectrochemical cells, flexible photodetectors and visible-light-driven photocatalysts. RSC Adv, 2013, 3, 2746 doi: 10.1039/c2ra22092j
|
| [9] |
Zhang Z, Yang J, Zhang K, et al. Anisotropic photoresponse of layered 2D SnS-based near infrared photodetectors. J Mater Chem C, 2017, 5(43), 11288 doi: 10.1039/C7TC02865B
|
| [10] |
Deng Z, Cao D, He J, et al. Solution synthesis of ultrathin single-crystalline SnS nanoribbons for photodetectors via phase transition and surface processing. ACS Nano, 2012, 6, 6197 doi: 10.1021/nn302504p
|
| [11] |
Ning L, Jiang T, Shao Z, et al. Light-trapping enhanced ZnO-MoS2 core-shell nanopillar arrays for broadband ultraviolet-visible-near infrared photodetection. J Mater Chem C, 2018, 6, 7077 doi: 10.1039/C8TC02139B
|
| [12] |
Zhang D, Gu L, Zhang Q, et al. Increasing photoluminescence quantum yield by nanophotonic design of quantum-confined halide perovskite nanowire arrays. Nano Lett, 2019, 19(5), 2850 doi: 10.1021/acs.nanolett.8b04887
|
| [13] |
Gu L, Tavakoli M M, Zhang D, et al. 3D arrays of 1024-pixel image sensors based on lead halide perovskite nanowires. Adv Mater, 2016, 28, 9713 doi: 10.1002/adma.201601603
|
| [14] |
Fan Z, Kapadia R, Leu P, et al. Ordered arrays of dual-diameter nanopillars for maximized optical absorption. Nano Lett, 2010, 10, 3823 doi: 10.1021/nl1010788
|
| [15] |
Fan Z, Razzavi H, Do J, et al. Three-dimensional nanopillar-array photovoltaics on low-cost and flexible substrate. Nat Mater, 2009, 8, 648 doi: 10.1038/nmat2493
|
| [16] |
Duan X, Lieber C M. General synthesis of compound semiconductor nanowires. Adv Mater, 2000, 12, 298 doi: 10.1002/(SICI)1521-4095(200002)12:4<298::AID-ADMA298>3.0.CO;2-Y
|
| [17] |
Wu Y, Yang P. Direct observation of vapor-liquid-solid nanowire growth. J Am Chem Soc, 2001, 123, 3165 doi: 10.1021/ja0059084
|
| [18] |
Shen G, Xu J, Wang X, et al. Growth of directly transferrable In2O3 nanowire mats for transparent thin-film transistors applications. Adv Mater, 2011, 23, 771 doi: 10.1002/adma.201003474
|
| [19] |
Luo T, Liang B, Liu Z, et al. Single-GaSb-nanowire-based room temperature photodetectors with broad spectral response. Sci Bull, 2015, 60, 101 doi: 10.1007/s11434-014-0687-6
|
| [20] |
Duan T, Lou Z, Shen G. Electrical transport and photoresponse properties of single-crystalline Cd3As2 nanowires. Sci China-Phys Mech Astron, 2015, 58, 027801 doi: 10.1007/s11433-014-5629-4
|
| [21] |
Li L, Lou Z, Shen G. Flexible broadband image sensors with SnS quantum dots/Zn2SnO4 nanowires hybrid nanostructures. Adv Funct Mater, 2018, 18, 1705389 doi: 10.1002/adfm.201705389
|
| [22] |
Chen S, Lou Z, Chen D, et al. Printble Zn2GeO4 microwires based flexible photodetectors with tunable photorespone. Adv Mater Technol, 2018, 3, 1800050 doi: 10.1002/admt.201800050
|
| [23] |
Lou Z, Li L, Shen G. InGaO3(ZnO) superlattice nanowires for high performance ultraviolet photodetectors. Adv Electron Mater, 2015, 1, 1500054 doi: 10.1002/aelm.201500054
|
| [24] |
Lou Z, Yang X L, Chen H R, et al. Flexible ultraviolet photodetectors based on ZnO–SnO2 heterojunction nanowire arrays. J Semicond, 2018, 39(2), 024002 doi: 10.1088/1674-4926/39/2/024002
|
| [25] |
Chen G, Liang B, Liu X, et al. High-performance hybrid phenyl-C61-butyric acid methyl ester/Cd3P2 nanowire ultraviolet-visible-near infrared photodetectors. ACS Nano, 2014, 8, 787 doi: 10.1021/nn405442z
|
| [26] |
Lou Z, Li L, Shen G. Ultraviolet/visible photodetectors with ultrafast, high photosensitivity based on 1D ZnS/CdS heterostructures. Nanoscale, 2016, 8, 5219 doi: 10.1039/C5NR08792A
|
| [27] |
Chai R, Lou Z, Shen G. Highly flexible self-powered photodetectors based on core-shell Sb/CdS nanowires. J Mater Chem C, 2019, 7, 4581 doi: 10.1039/c8tc06383d
|
| [28] |
Liu Z, Luo T, Liang B, et al. High-detectivity InAs nanowire photodetectors with spectral response from ultraviolet to near-infrared. Nano Res, 2013, 6, 775 doi: 10.1007/s12274-013-0356-0
|
| [29] |
Gong X, Tong M, Xia Y, et al. High-detectivity polymer photodetectors with spectral response from 300 nm to 1450 nm. Science, 2009, 325, 1665 doi: 10.1126/science.1176706
|
| [30] |
Miao J, Hu W, Guo N, et al. Single InAs nanowire room temperature near-infrared photodetectors. ACS Nano, 2014, 8, 3628 doi: 10.1021/nn500201g
|
| [31] |
Ouyang B, Zhang K, Yang Y, et al. Photocurrent polarity controlled by light wavelength in self-powered ZnO nanowires/SnS photodetector system. iScience, 2018, 1, 16 doi: 10.1016/j.isci.2018.01.002
|
| [32] |
Chen G, Liang B, Liu Z, et al. High performance rigid and flexible visible-light photodetectors based on aligned X(In,Ga)P nanowire arrays. J Mater Chem C, 2014, 2, 1270 doi: 10.1039/C3TC31507J
|
Journal of Semiconductors © 2017 All Rights Reserved 京ICP備05085259號-2