ARTICLES
Dandan Ning1, 2, Yanan Chen2, 3, Xinkun Li4, Dechun Liang4, Shufang Ma1, , Peng Jin2, 3, and Zhanguo Wang2, 3
Corresponding author: Shufang Ma, Email: mashufang@sust.edu.cn; Peng Jin, Email: pengjin@semi.ac.cn
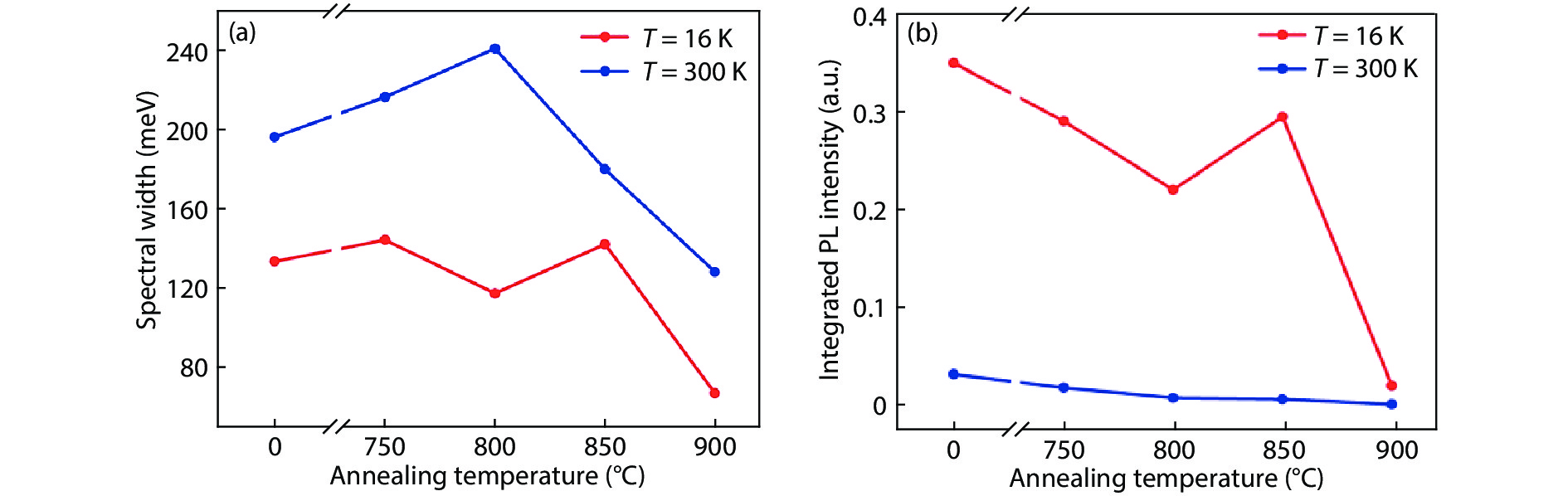
Abstract: Photoluminescence (PL) test was conducted to investigate the effect of rapid thermal annealing (RTA) on the optical performance of self-assembled InAs/GaAs quantum dots (QDs) at the temperatures of 16 and 300 K. It was found that after RTA treatment, the PL spectrum of the QDs sample had a large blue-shift and significantly broadened at 300 K. Compared with the as-grown InAs QDs sample, the PL spectral width has increased by 44.68 meV in the InAs QDs sample RTA-treated at 800 °C. The excitation power-dependent PL measurements showed that the broadening of the PL peaks of the RTA-treated InAs QDs should be related to the emission of the ground state (GS) of different-sized InAs QDs, the InAs wetting layer (WL) and the In0.15Ga0.85As strain reduction layer (SRL) in the epitaxial InAs/GaAs layers.
Key words: quantum dots, rapid thermal annealing, photoluminescence, spectral width
| [1] |
Bhattacharya P, Kamath K, Singh J, et al. In(Ga)As/GaAs self-organized quantum dot lasers: DC and small-signal modulation properties. IEEE Trans Electron Devices, 2017, 46(5), 871 doi: 10.1109/16.760392
|
| [2] |
Bimberg D. Quantum dots for lasers, amplifiers and computing. J Phys D, 2005, 38(13), 2055 doi: 10.1088/0022-3727/38/13/001
|
| [3] |
Sablon K A, Little J W, Mitin V, et al. Strong enhancement of solar cell efficiency due to quantum dots with built-in charge. Nano Lett, 2011, 11(6), 2311 doi: 10.1021/nl200543v
|
| [4] |
Deviprasad V P, Ghadi H, Das D, et al. High performance short wave infrared photodetector using p –i –p quantum dots (InAs/GaAs) validated with theoretically simulated model. J Alloys Compd, 2019, 804, 18 doi: 10.1016/j.jallcom.2019.06.286
|
| [5] |
Karni O, Kuchar K J, Capua A, et al. Carrier dynamics in inhomogeneously broadened InAs/AlGaInAs/InP quantum-dot semiconductor optical amplifiers. Appl Phys Lett, 2014, 104(12), 121104 doi: 10.1063/1.4869489
|
| [6] |
Ebiko Y, Muto S, Suzuki D, et al. Island size scaling in InAs/GaAs self-assembled quantum dots. Phys Rev Lett, 1998, 80(12), 2650 doi: 10.1103/PhysRevLett.80.2650
|
| [7] |
Zhang Z Y, Hogg R A, Lv X Q, et al. Self-assembled quantum-dot superluminescent light-emitting diodes. Adv Opt Photonics, 2010, 2(2), 201 doi: 10.1364/AOP.2.000201
|
| [8] |
Sun Z Z, Ding D, Gong Q, et al. Quantum-dot superluminescent diode: A proposal for an ultra-wide output spectrum. Opt Quantum Electron, 1999, 31(12), 1235 doi: 10.1023/A:1007030119338
|
| [9] |
Ozaki N, Takeuchi K, Ohkouchi S, et al. Monolithically grown multi-color InAs quantum dots as a spectral-shape-controllable near-infrared broadband light source. Appl Phys Lett, 2013, 103(5), 051121 doi: 10.1063/1.4817386
|
| [10] |
Li W, Chen S, Wu J, et al. The effect of post-growth rapid thermal annealing on InAs/InGaAs dot-in-a-well structure monolithically grown on Si. J Appl Phys, 2019, 125(13), 135301 doi: 10.1063/1.5085175
|
| [11] |
Sengupta S, Halder N, Chakrabarti S. Effect of post-growth rapid thermal annealing on bilayer InAs/GaAs quantum dot heterostructure grown with very thin spacer thickness. Mater Res Bull, 2010, 45(11), 1593 doi: 10.1016/j.materresbull.2010.07.015
|
| [12] |
Triki M, Jaziri S, Bennaceur R. Optical transitions of InAs/GaAs quantum dot under annealing process. J Appl Phys, 2012, 111(10), 104304 doi: 10.1063/1.4717952
|
| [13] |
Saravanan S, Harayama T. Improvement in size distribution and optical properties of InAs/GaAs QDs by post growth thermal treatment. Phys Status Solidi B, 2009, 246(4), 725 doi: 10.1002/pssb.200880590
|
| [14] |
Adhikary S, Chakrabarti S. A detailed investigation on the impact of post-growth annealing on the materials and device characteristics of 35-layer In0.50Ga0.50As/GaAs quantum dot infrared photodetector with quaternary In0.21Al0.21Ga0.58As capping. Mater Res Bull, 2012, 47(11), 3317 doi: 10.1016/j.materresbull.2012.07.032
|
| [15] |
Adhikary S, Chakrabarti S. Spectral broadening due to post-growth annealing of a long-wave InGaAs/GaAs quantum dot infrared photodetector with a quaternary barrier layer. Thin Solid Films, 2014, 552, 146 doi: 10.1016/j.tsf.2013.11.010
|
| [16] |
Djie H S, Wang D N, Ooi B S, et al. Emission wavelength trimming of self-assembled InGaAs/GaAs quantum dots with GaAs/AlGaAs superlattices by rapid thermal annealing. Thin Solid Films, 2007, 515(10), 4344 doi: 10.1016/j.tsf.2006.07.097
|
| [17] |
Rossetti M, Li L, Markus A, et al. Characterization and modeling of broad spectrum InAs–GaAs quantum-dot superluminescent diodes emitting at 1.2–1.3 μm. IEEE J Quantum Electron, 2007, 43(8), 676 doi: 10.1109/JQE.2007.901589
|
| [18] |
Lee U H, Jang Y D, Lee H, et al. The energy level spacing between the ground and first excited states in InAs/GaAs quantum dots as a measure of the zero dimensionality. Physica E, 2003, 17, 129 doi: 10.1016/S1386-9477(02)00746-4
|
| [19] |
Ghosh K, Kundu S, Halder N, et al. Annealing of In0.45Ga0.55As/ GaAs quantum dots overgrown with large monolayer (11 ML) coverage for applications in thermally stable optoelectronic devices. Solid State Commun, 2011, 151(19), 1394 doi: 10.1016/j.ssc.2011.06.007
|
| [20] |
Kim J S, Lee J H, Hong S U, et al. Structural and optical properties of shape-engineered InAs quantum dots. J Appl Phys, 2003, 94(4), 2486 doi: 10.1063/1.1594270
|
| [21] |
Agarwal A, Srujan M, Chakrabarti S, et al. Investigation of thermal interdiffusion in InAs/In0.15Ga0.85As/GaAs quantum dot-in-a-well heterostructures. J Lumin, 2013, 143, 96 doi: 10.1016/j.jlumin.2013.04.030
|
| [22] |
Shah S, Ghosh K, Jejurikar S, et al. Ground-state energy trends in single and multilayered coupled InAs/GaAs quantum dots capped with InGaAs layers: Effects of InGaAs layer thickness and annealing temperature. Mater Res Bull, 2013, 48(8), 2933 doi: 10.1016/j.materresbull.2013.04.028
|
| [23] |
Lei W, Chen Y H, Wang Y L, et al. Influence of rapid thermal annealing on InAs/InAlAs/InP quantum wires with different InAs deposited thickness. J Cryst Growth, 2005, 284(1/2), 20 doi: 10.1016/j.jcrysgro.2005.06.050
|
| [24] |
Babiński A, Jasiński J, Bo?ek R, et al. Rapid thermal annealing of InAs/GaAs quantum dots under a GaAs proximity cap. Appl Phys Lett, 2001, 79(16), 2576 doi: 10.1063/1.1412279
|
| [1] |
Bhattacharya P, Kamath K, Singh J, et al. In(Ga)As/GaAs self-organized quantum dot lasers: DC and small-signal modulation properties. IEEE Trans Electron Devices, 2017, 46(5), 871 doi: 10.1109/16.760392
|
| [2] |
Bimberg D. Quantum dots for lasers, amplifiers and computing. J Phys D, 2005, 38(13), 2055 doi: 10.1088/0022-3727/38/13/001
|
| [3] |
Sablon K A, Little J W, Mitin V, et al. Strong enhancement of solar cell efficiency due to quantum dots with built-in charge. Nano Lett, 2011, 11(6), 2311 doi: 10.1021/nl200543v
|
| [4] |
Deviprasad V P, Ghadi H, Das D, et al. High performance short wave infrared photodetector using p –i –p quantum dots (InAs/GaAs) validated with theoretically simulated model. J Alloys Compd, 2019, 804, 18 doi: 10.1016/j.jallcom.2019.06.286
|
| [5] |
Karni O, Kuchar K J, Capua A, et al. Carrier dynamics in inhomogeneously broadened InAs/AlGaInAs/InP quantum-dot semiconductor optical amplifiers. Appl Phys Lett, 2014, 104(12), 121104 doi: 10.1063/1.4869489
|
| [6] |
Ebiko Y, Muto S, Suzuki D, et al. Island size scaling in InAs/GaAs self-assembled quantum dots. Phys Rev Lett, 1998, 80(12), 2650 doi: 10.1103/PhysRevLett.80.2650
|
| [7] |
Zhang Z Y, Hogg R A, Lv X Q, et al. Self-assembled quantum-dot superluminescent light-emitting diodes. Adv Opt Photonics, 2010, 2(2), 201 doi: 10.1364/AOP.2.000201
|
| [8] |
Sun Z Z, Ding D, Gong Q, et al. Quantum-dot superluminescent diode: A proposal for an ultra-wide output spectrum. Opt Quantum Electron, 1999, 31(12), 1235 doi: 10.1023/A:1007030119338
|
| [9] |
Ozaki N, Takeuchi K, Ohkouchi S, et al. Monolithically grown multi-color InAs quantum dots as a spectral-shape-controllable near-infrared broadband light source. Appl Phys Lett, 2013, 103(5), 051121 doi: 10.1063/1.4817386
|
| [10] |
Li W, Chen S, Wu J, et al. The effect of post-growth rapid thermal annealing on InAs/InGaAs dot-in-a-well structure monolithically grown on Si. J Appl Phys, 2019, 125(13), 135301 doi: 10.1063/1.5085175
|
| [11] |
Sengupta S, Halder N, Chakrabarti S. Effect of post-growth rapid thermal annealing on bilayer InAs/GaAs quantum dot heterostructure grown with very thin spacer thickness. Mater Res Bull, 2010, 45(11), 1593 doi: 10.1016/j.materresbull.2010.07.015
|
| [12] |
Triki M, Jaziri S, Bennaceur R. Optical transitions of InAs/GaAs quantum dot under annealing process. J Appl Phys, 2012, 111(10), 104304 doi: 10.1063/1.4717952
|
| [13] |
Saravanan S, Harayama T. Improvement in size distribution and optical properties of InAs/GaAs QDs by post growth thermal treatment. Phys Status Solidi B, 2009, 246(4), 725 doi: 10.1002/pssb.200880590
|
| [14] |
Adhikary S, Chakrabarti S. A detailed investigation on the impact of post-growth annealing on the materials and device characteristics of 35-layer In0.50Ga0.50As/GaAs quantum dot infrared photodetector with quaternary In0.21Al0.21Ga0.58As capping. Mater Res Bull, 2012, 47(11), 3317 doi: 10.1016/j.materresbull.2012.07.032
|
| [15] |
Adhikary S, Chakrabarti S. Spectral broadening due to post-growth annealing of a long-wave InGaAs/GaAs quantum dot infrared photodetector with a quaternary barrier layer. Thin Solid Films, 2014, 552, 146 doi: 10.1016/j.tsf.2013.11.010
|
| [16] |
Djie H S, Wang D N, Ooi B S, et al. Emission wavelength trimming of self-assembled InGaAs/GaAs quantum dots with GaAs/AlGaAs superlattices by rapid thermal annealing. Thin Solid Films, 2007, 515(10), 4344 doi: 10.1016/j.tsf.2006.07.097
|
| [17] |
Rossetti M, Li L, Markus A, et al. Characterization and modeling of broad spectrum InAs–GaAs quantum-dot superluminescent diodes emitting at 1.2–1.3 μm. IEEE J Quantum Electron, 2007, 43(8), 676 doi: 10.1109/JQE.2007.901589
|
| [18] |
Lee U H, Jang Y D, Lee H, et al. The energy level spacing between the ground and first excited states in InAs/GaAs quantum dots as a measure of the zero dimensionality. Physica E, 2003, 17, 129 doi: 10.1016/S1386-9477(02)00746-4
|
| [19] |
Ghosh K, Kundu S, Halder N, et al. Annealing of In0.45Ga0.55As/ GaAs quantum dots overgrown with large monolayer (11 ML) coverage for applications in thermally stable optoelectronic devices. Solid State Commun, 2011, 151(19), 1394 doi: 10.1016/j.ssc.2011.06.007
|
| [20] |
Kim J S, Lee J H, Hong S U, et al. Structural and optical properties of shape-engineered InAs quantum dots. J Appl Phys, 2003, 94(4), 2486 doi: 10.1063/1.1594270
|
| [21] |
Agarwal A, Srujan M, Chakrabarti S, et al. Investigation of thermal interdiffusion in InAs/In0.15Ga0.85As/GaAs quantum dot-in-a-well heterostructures. J Lumin, 2013, 143, 96 doi: 10.1016/j.jlumin.2013.04.030
|
| [22] |
Shah S, Ghosh K, Jejurikar S, et al. Ground-state energy trends in single and multilayered coupled InAs/GaAs quantum dots capped with InGaAs layers: Effects of InGaAs layer thickness and annealing temperature. Mater Res Bull, 2013, 48(8), 2933 doi: 10.1016/j.materresbull.2013.04.028
|
| [23] |
Lei W, Chen Y H, Wang Y L, et al. Influence of rapid thermal annealing on InAs/InAlAs/InP quantum wires with different InAs deposited thickness. J Cryst Growth, 2005, 284(1/2), 20 doi: 10.1016/j.jcrysgro.2005.06.050
|
| [24] |
Babiński A, Jasiński J, Bo?ek R, et al. Rapid thermal annealing of InAs/GaAs quantum dots under a GaAs proximity cap. Appl Phys Lett, 2001, 79(16), 2576 doi: 10.1063/1.1412279
|
Article views: 4814 Times PDF downloads: 186 Times Cited by: 0 Times
Received: 01 May 2020 Revised: 19 July 2020 Online: Accepted Manuscript: 15 September 2020Uncorrected proof: 18 September 2020Published: 08 December 2020
| Citation: |
Dandan Ning, Yanan Chen, Xinkun Li, Dechun Liang, Shufang Ma, Peng Jin, Zhanguo Wang. Research on the photoluminescence of spectral broadening by rapid thermal annealing on InAs/GaAs quantum dots[J]. Journal of Semiconductors, 2020, 41(12): 122101. doi: 10.1088/1674-4926/41/12/122101
****
D D Ning, Y N Chen, X K Li, D C Liang, S F Ma, P Jin, Z G Wang, Research on the photoluminescence of spectral broadening by rapid thermal annealing on InAs/GaAs quantum dots[J]. J. Semicond., 2020, 41(12): 122101. doi: 10.1088/1674-4926/41/12/122101.
|
| [1] |
Bhattacharya P, Kamath K, Singh J, et al. In(Ga)As/GaAs self-organized quantum dot lasers: DC and small-signal modulation properties. IEEE Trans Electron Devices, 2017, 46(5), 871 doi: 10.1109/16.760392
|
| [2] |
Bimberg D. Quantum dots for lasers, amplifiers and computing. J Phys D, 2005, 38(13), 2055 doi: 10.1088/0022-3727/38/13/001
|
| [3] |
Sablon K A, Little J W, Mitin V, et al. Strong enhancement of solar cell efficiency due to quantum dots with built-in charge. Nano Lett, 2011, 11(6), 2311 doi: 10.1021/nl200543v
|
| [4] |
Deviprasad V P, Ghadi H, Das D, et al. High performance short wave infrared photodetector using p –i –p quantum dots (InAs/GaAs) validated with theoretically simulated model. J Alloys Compd, 2019, 804, 18 doi: 10.1016/j.jallcom.2019.06.286
|
| [5] |
Karni O, Kuchar K J, Capua A, et al. Carrier dynamics in inhomogeneously broadened InAs/AlGaInAs/InP quantum-dot semiconductor optical amplifiers. Appl Phys Lett, 2014, 104(12), 121104 doi: 10.1063/1.4869489
|
| [6] |
Ebiko Y, Muto S, Suzuki D, et al. Island size scaling in InAs/GaAs self-assembled quantum dots. Phys Rev Lett, 1998, 80(12), 2650 doi: 10.1103/PhysRevLett.80.2650
|
| [7] |
Zhang Z Y, Hogg R A, Lv X Q, et al. Self-assembled quantum-dot superluminescent light-emitting diodes. Adv Opt Photonics, 2010, 2(2), 201 doi: 10.1364/AOP.2.000201
|
| [8] |
Sun Z Z, Ding D, Gong Q, et al. Quantum-dot superluminescent diode: A proposal for an ultra-wide output spectrum. Opt Quantum Electron, 1999, 31(12), 1235 doi: 10.1023/A:1007030119338
|
| [9] |
Ozaki N, Takeuchi K, Ohkouchi S, et al. Monolithically grown multi-color InAs quantum dots as a spectral-shape-controllable near-infrared broadband light source. Appl Phys Lett, 2013, 103(5), 051121 doi: 10.1063/1.4817386
|
| [10] |
Li W, Chen S, Wu J, et al. The effect of post-growth rapid thermal annealing on InAs/InGaAs dot-in-a-well structure monolithically grown on Si. J Appl Phys, 2019, 125(13), 135301 doi: 10.1063/1.5085175
|
| [11] |
Sengupta S, Halder N, Chakrabarti S. Effect of post-growth rapid thermal annealing on bilayer InAs/GaAs quantum dot heterostructure grown with very thin spacer thickness. Mater Res Bull, 2010, 45(11), 1593 doi: 10.1016/j.materresbull.2010.07.015
|
| [12] |
Triki M, Jaziri S, Bennaceur R. Optical transitions of InAs/GaAs quantum dot under annealing process. J Appl Phys, 2012, 111(10), 104304 doi: 10.1063/1.4717952
|
| [13] |
Saravanan S, Harayama T. Improvement in size distribution and optical properties of InAs/GaAs QDs by post growth thermal treatment. Phys Status Solidi B, 2009, 246(4), 725 doi: 10.1002/pssb.200880590
|
| [14] |
Adhikary S, Chakrabarti S. A detailed investigation on the impact of post-growth annealing on the materials and device characteristics of 35-layer In0.50Ga0.50As/GaAs quantum dot infrared photodetector with quaternary In0.21Al0.21Ga0.58As capping. Mater Res Bull, 2012, 47(11), 3317 doi: 10.1016/j.materresbull.2012.07.032
|
| [15] |
Adhikary S, Chakrabarti S. Spectral broadening due to post-growth annealing of a long-wave InGaAs/GaAs quantum dot infrared photodetector with a quaternary barrier layer. Thin Solid Films, 2014, 552, 146 doi: 10.1016/j.tsf.2013.11.010
|
| [16] |
Djie H S, Wang D N, Ooi B S, et al. Emission wavelength trimming of self-assembled InGaAs/GaAs quantum dots with GaAs/AlGaAs superlattices by rapid thermal annealing. Thin Solid Films, 2007, 515(10), 4344 doi: 10.1016/j.tsf.2006.07.097
|
| [17] |
Rossetti M, Li L, Markus A, et al. Characterization and modeling of broad spectrum InAs–GaAs quantum-dot superluminescent diodes emitting at 1.2–1.3 μm. IEEE J Quantum Electron, 2007, 43(8), 676 doi: 10.1109/JQE.2007.901589
|
| [18] |
Lee U H, Jang Y D, Lee H, et al. The energy level spacing between the ground and first excited states in InAs/GaAs quantum dots as a measure of the zero dimensionality. Physica E, 2003, 17, 129 doi: 10.1016/S1386-9477(02)00746-4
|
| [19] |
Ghosh K, Kundu S, Halder N, et al. Annealing of In0.45Ga0.55As/ GaAs quantum dots overgrown with large monolayer (11 ML) coverage for applications in thermally stable optoelectronic devices. Solid State Commun, 2011, 151(19), 1394 doi: 10.1016/j.ssc.2011.06.007
|
| [20] |
Kim J S, Lee J H, Hong S U, et al. Structural and optical properties of shape-engineered InAs quantum dots. J Appl Phys, 2003, 94(4), 2486 doi: 10.1063/1.1594270
|
| [21] |
Agarwal A, Srujan M, Chakrabarti S, et al. Investigation of thermal interdiffusion in InAs/In0.15Ga0.85As/GaAs quantum dot-in-a-well heterostructures. J Lumin, 2013, 143, 96 doi: 10.1016/j.jlumin.2013.04.030
|
| [22] |
Shah S, Ghosh K, Jejurikar S, et al. Ground-state energy trends in single and multilayered coupled InAs/GaAs quantum dots capped with InGaAs layers: Effects of InGaAs layer thickness and annealing temperature. Mater Res Bull, 2013, 48(8), 2933 doi: 10.1016/j.materresbull.2013.04.028
|
| [23] |
Lei W, Chen Y H, Wang Y L, et al. Influence of rapid thermal annealing on InAs/InAlAs/InP quantum wires with different InAs deposited thickness. J Cryst Growth, 2005, 284(1/2), 20 doi: 10.1016/j.jcrysgro.2005.06.050
|
| [24] |
Babiński A, Jasiński J, Bo?ek R, et al. Rapid thermal annealing of InAs/GaAs quantum dots under a GaAs proximity cap. Appl Phys Lett, 2001, 79(16), 2576 doi: 10.1063/1.1412279
|
Journal of Semiconductors © 2017 All Rights Reserved 京ICP備05085259號-2