ARTICLES
Nasori Nasori1, 2, Tianyi Dai3, Xiaohao Jia4, 5, Agus Rubiyanto2, Dawei Cao3, Shengchun Qu4, 5, Zhanguo Wang4, 5, Zhijie Wang4, 5, and Yong Lei1,
Corresponding author: Zhijie Wang, E-mail: wangzj@semi.ac.cn; Yong Lei, E-mail: yong.lei@tu-ilmenau.de
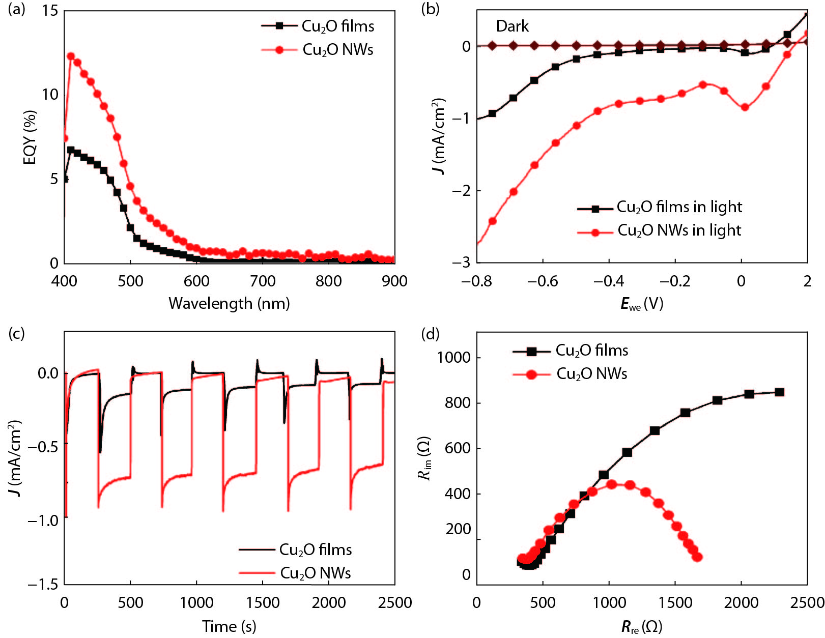
Abstract: Nanowire (NW) structures is an alternative candidate for constructing the next generation photoelectrochemical water splitting system, due to the outstanding optical and electrical properties. NW photoelectrodes comparing to traditional semiconductor photoelectrodes shows the comparatively shorter transfer distance of photo-induced carriers and the increase amount of the surface reaction sites, which is beneficial for lowering the recombination probability of charge carriers and improving their photoelectrochemical (PEC) performances. Here, we demonstrate for the first time that super-long Cu2O NWs, more than 4.5 μm, with highly efficient water splitting performance, were synthesized using a cost-effective anodic alumina oxide (AAO) template method. In comparison with the photocathode with planar Cu2O films, the photocathode with Cu2O NWs demonstrates a significant enhancement in photocurrent, from –1.00 to –2.75 mA/cm2 at –0.8 V versus Ag/AgCl. After optimization of the photoelectrochemical electrode through depositing Pt NPs with atomic layer deposition (ALD) technology on the Cu2O NWs, the plateau of photocurrent has been enlarged to –7 mA/cm2 with the external quantum yield up to 34% at 410 nm. This study suggests that the photoelectrode based on Cu2O NWs is a hopeful system for establishing high-efficiency water splitting system under visible light.
Key words: super-long nanowires, P-type Cu2O, AAO template, photoelectrochemical water splitting
| [1] |
Fujishima A, Honda K. Electrochemical photolysis of water at a semiconductor electrode. Nature, 1972, 238, 37 doi: 10.1038/238037a0
|
| [2] |
Ni M, Leung M K H, Leung D Y C, et al. A review and recent developments in photocatalytic water-splitting using TiO2 for hydrogen production. Renew Sustain Energy Rev, 2007, 11(3), 401 doi: 10.1016/j.rser.2005.01.009
|
| [3] |
Zou Z, Ye J, Sayama K, et al. Direct splitting of water under visible light irradiation with an oxide semiconductor photocatalyst. Nature, 2001, 414, 625 doi: 10.1038/414625a
|
| [4] |
Khan S U M, Al-Shahry M, Ingler W B. Efficient photochemical water splitting by a chemically modified n-TiO2. Science, 2002, 297, 2243 doi: 10.1126/science.1075035
|
| [5] |
Walter M G, Warren E L, McKone J R, et al. Solar water splitting cells. Chem Rev, 2010, 110, 6446 doi: 10.1021/cr1002326
|
| [6] |
Bard A J, Fox M A. Artificial photosynthesis: solar splitting of water to hydrogen and oxygen. Acc Chem Res, 1995, 28(3), 141 doi: 10.1021/ar00051a007
|
| [7] |
Kudo A, Miseki Y. Heterogeneous photocatalyst materials for water splitting. Chem Rev, 2009, 38, 253 doi: 10.1039/B800489G
|
| [8] |
Chen X, Shen S, Guo L, et al. Semiconductor-based photocatalytic hydrogen generation. Chem Rev, 2010, 110(11), 6503 doi: 10.1021/cr1001645
|
| [9] |
Liu R, Zheng Z, Spurgeon J, et al. Enhanced photoelectrochemical water-splitting performance of semiconductors by surface passivation layers. Energy Environ Sci, 2014, 7, 2504 doi: 10.1039/C4EE00450G
|
| [10] |
Moniz S J A, Shevlin S A, Martin D J, et al. Visible-light driven heterojunctionphotocatalysts for water splitting-a critical review. Energy Environ Sci, 2015, 8, 731 doi: 10.1039/C4EE03271C
|
| [11] |
Cao D, Wang C, Zheng F, et al. High-efficiency ferroelectric-film solar cells with an n-type Cu2O cathode buffer layer. Nano Lett, 2012, 12(6), 2803 doi: 10.1021/nl300009z
|
| [12] |
Hara M, Kondo T, Komoda M, et al. Cu2O as a photocatalyst for overall water splitting under visible light irradiation. Chem Commun, 1998, 3, 357 doi: 10.1039/a707440i
|
| [13] |
Xiang C, Kimball G M, Grimm R L, et al. 820 mV open-circuit voltages from Cu2O/CH3CN junctions. Energy Environ Sci, 2011, 4, 1311 doi: 10.1039/c0ee00554a
|
| [14] |
Paracchino A, Laporte V, Sivula K, et al. Highly active oxide photocathode for photoelectrochemical water reduction. Nat Mater, 2011, 10, 456 doi: 10.1038/nmat3017
|
| [15] |
Cao D, Nasori N, Wang Z. Facile surface treatment on Cu2O photocathodes for enhancing the photoelectrochemical response. Appl Catal B, 2016, 198, 398 doi: 10.1016/j.apcatb.2016.06.010
|
| [16] |
Ghadimkhani G, de Tacconi N R, Chanmanee W, et al. Efficient solar photoelectrosynthesis of methanol from carbon dioxide using hybrid CuO–Cu2O semiconductor nanorod arrays. Chem Commun, 2013, 49, 1297 doi: 10.1039/c2cc38068d
|
| [17] |
Cao M, Hu C, Wang Y, et al. A controllable synthetic route to Cu, Cu2O, and CuO nanotubes and nanorods. Chem Commun, 2003, 1, 1884 doi: 10.1039/b304505f
|
| [18] |
Tan Y, Xue X, Peng Q, et al. Controllable fabrication and electrical performance of single crystalline cu2o nanowires with high aspect ratios. Nano Lett, 2007, 7(12), 3723 doi: 10.1021/nl0721259
|
| [19] |
Zhang J, Liu J, Peng Q, et al. Nearly monodisperse Cu2O and CuO nanospheres: preparation and applications for sensitive gas sensors. Chem Mater, 2006, 18(4), 867 doi: 10.1021/cm052256f
|
| [20] |
Ben-Shahar Y, Vinokurov K, de Paz-Simon H, et al. Photoelectrochemistry of colloidal Cu2O nanocrystal layers: the role of interfacial chemistry. J Mater Chem A, 2017, 5, 22255 doi: 10.1039/C7TA06026B
|
| [21] |
Singh D P, Neti N R, Sinha A S K, et al. Growth of different nanostructures of Cu2O (nanothreads, nanowires, and nanocubes) by simple electrolysis based oxidation of copper. J Phys Chem C, 2007, 111(4), 1638 doi: 10.1021/jp0657179
|
| [22] |
Wang Z, Cao D, Xu R, et al. Realizing ordered arrays of nanostructures: A versatile platform for converting and storing energy efficiently. Nano Energy, 2016, 19, 328 doi: 10.1016/j.nanoen.2015.11.032
|
| [23] |
Lei Y, Zhang L D, Meng G W, et al. Preparation and photoluminescence of highly ordered TiO2 nanowire arrays. Appl Phys Lett, 2001, 78, 1125 doi: 10.1063/1.1350959
|
| [24] |
Lei Y, Cai W, Wilde G. Highly ordered nanostructures with tunable size, shape and properties: A new way to surface nano-patterning using ultra-thin alumina masks. Prog Mater Sci, 2007, 52(4), 465 doi: 10.1016/j.pmatsci.2006.07.002
|
| [25] |
Lei Y, Yang S, Wu M, et al. Surface patterning using templates: concept, properties and device applications. Chem Soc Rev, 2011, 40, 1247 doi: 10.1039/B924854B
|
| [26] |
Azimi H, Kuhri S, Osvet A, et al. Effective ligand passivation of Cu2O nanoparticles through solid-state treatment with mercaptopropionic acid. J Am Chem Soc, 2014, 136(20), 7233 doi: 10.1021/ja502221r
|
| [27] |
Law M, Greene L E, Johnson J C, et al. Nanowire dye-sensitized solar cells. Nat Mater, 2005, 4, 455 doi: 10.1038/nmat1387
|
| [28] |
Pauzauskie P J, Yang P. Nanowire photonics. Mater Today, 2006, 9(10), 36 doi: 10.1016/S1369-7021(06)71652-2
|
| [29] |
Sun H, Deng J, Qiu L, et al. Recent progress in solar cells based on one-dimensional nanomaterials. Energy Environ Sci, 2015, 8, 1139-1159 doi: 10.1039/C4EE03853C
|
| [30] |
Zhang Q, Cao G. Nanostructured photoelectrodes for dye-sensitized solar cells. Nano Today, 2011, 6(1), 91 doi: 10.1016/j.nantod.2010.12.007
|
| [31] |
Zheng F G, Zhang P, Wang X F, et al. Photovoltaic enhancement due to surface-plasmon assisted visible-light absorption at the inartificial surface of lead zirconate-titanate film. Nanoscale, 2014, 6(5), 2915 doi: 10.1039/C3NR05757G
|
| [32] |
Ibhadon A, Fitzpatrick P. Heterogeneous photocatalysis: recent advances and applications. Catalysts, 2013, 3(1), 189-218 doi: 10.3390/catal3010189
|
| [33] |
Kamat P V. Graphene-based nanoarchitectures anchoring semiconductor and metal nanoparticles on a two-dimensional carbon support. J Phys Chem Lett, 2010, 1(2), 520 doi: 10.1021/jz900265j
|
| [34] |
Oh I, Kye J, Hwang S. Enhanced photoelectrochemical hydrogen production from silicon nanowire array photocathode. Nano Lett, 2012, 12(1), 298 doi: 10.1021/nl203564s
|
| [35] |
Kinoshita K. Carbon: electrochemical and physicochemical proper. New York: John Wiley Sons, 1988
|
| [1] |
Fujishima A, Honda K. Electrochemical photolysis of water at a semiconductor electrode. Nature, 1972, 238, 37 doi: 10.1038/238037a0
|
| [2] |
Ni M, Leung M K H, Leung D Y C, et al. A review and recent developments in photocatalytic water-splitting using TiO2 for hydrogen production. Renew Sustain Energy Rev, 2007, 11(3), 401 doi: 10.1016/j.rser.2005.01.009
|
| [3] |
Zou Z, Ye J, Sayama K, et al. Direct splitting of water under visible light irradiation with an oxide semiconductor photocatalyst. Nature, 2001, 414, 625 doi: 10.1038/414625a
|
| [4] |
Khan S U M, Al-Shahry M, Ingler W B. Efficient photochemical water splitting by a chemically modified n-TiO2. Science, 2002, 297, 2243 doi: 10.1126/science.1075035
|
| [5] |
Walter M G, Warren E L, McKone J R, et al. Solar water splitting cells. Chem Rev, 2010, 110, 6446 doi: 10.1021/cr1002326
|
| [6] |
Bard A J, Fox M A. Artificial photosynthesis: solar splitting of water to hydrogen and oxygen. Acc Chem Res, 1995, 28(3), 141 doi: 10.1021/ar00051a007
|
| [7] |
Kudo A, Miseki Y. Heterogeneous photocatalyst materials for water splitting. Chem Rev, 2009, 38, 253 doi: 10.1039/B800489G
|
| [8] |
Chen X, Shen S, Guo L, et al. Semiconductor-based photocatalytic hydrogen generation. Chem Rev, 2010, 110(11), 6503 doi: 10.1021/cr1001645
|
| [9] |
Liu R, Zheng Z, Spurgeon J, et al. Enhanced photoelectrochemical water-splitting performance of semiconductors by surface passivation layers. Energy Environ Sci, 2014, 7, 2504 doi: 10.1039/C4EE00450G
|
| [10] |
Moniz S J A, Shevlin S A, Martin D J, et al. Visible-light driven heterojunctionphotocatalysts for water splitting-a critical review. Energy Environ Sci, 2015, 8, 731 doi: 10.1039/C4EE03271C
|
| [11] |
Cao D, Wang C, Zheng F, et al. High-efficiency ferroelectric-film solar cells with an n-type Cu2O cathode buffer layer. Nano Lett, 2012, 12(6), 2803 doi: 10.1021/nl300009z
|
| [12] |
Hara M, Kondo T, Komoda M, et al. Cu2O as a photocatalyst for overall water splitting under visible light irradiation. Chem Commun, 1998, 3, 357 doi: 10.1039/a707440i
|
| [13] |
Xiang C, Kimball G M, Grimm R L, et al. 820 mV open-circuit voltages from Cu2O/CH3CN junctions. Energy Environ Sci, 2011, 4, 1311 doi: 10.1039/c0ee00554a
|
| [14] |
Paracchino A, Laporte V, Sivula K, et al. Highly active oxide photocathode for photoelectrochemical water reduction. Nat Mater, 2011, 10, 456 doi: 10.1038/nmat3017
|
| [15] |
Cao D, Nasori N, Wang Z. Facile surface treatment on Cu2O photocathodes for enhancing the photoelectrochemical response. Appl Catal B, 2016, 198, 398 doi: 10.1016/j.apcatb.2016.06.010
|
| [16] |
Ghadimkhani G, de Tacconi N R, Chanmanee W, et al. Efficient solar photoelectrosynthesis of methanol from carbon dioxide using hybrid CuO–Cu2O semiconductor nanorod arrays. Chem Commun, 2013, 49, 1297 doi: 10.1039/c2cc38068d
|
| [17] |
Cao M, Hu C, Wang Y, et al. A controllable synthetic route to Cu, Cu2O, and CuO nanotubes and nanorods. Chem Commun, 2003, 1, 1884 doi: 10.1039/b304505f
|
| [18] |
Tan Y, Xue X, Peng Q, et al. Controllable fabrication and electrical performance of single crystalline cu2o nanowires with high aspect ratios. Nano Lett, 2007, 7(12), 3723 doi: 10.1021/nl0721259
|
| [19] |
Zhang J, Liu J, Peng Q, et al. Nearly monodisperse Cu2O and CuO nanospheres: preparation and applications for sensitive gas sensors. Chem Mater, 2006, 18(4), 867 doi: 10.1021/cm052256f
|
| [20] |
Ben-Shahar Y, Vinokurov K, de Paz-Simon H, et al. Photoelectrochemistry of colloidal Cu2O nanocrystal layers: the role of interfacial chemistry. J Mater Chem A, 2017, 5, 22255 doi: 10.1039/C7TA06026B
|
| [21] |
Singh D P, Neti N R, Sinha A S K, et al. Growth of different nanostructures of Cu2O (nanothreads, nanowires, and nanocubes) by simple electrolysis based oxidation of copper. J Phys Chem C, 2007, 111(4), 1638 doi: 10.1021/jp0657179
|
| [22] |
Wang Z, Cao D, Xu R, et al. Realizing ordered arrays of nanostructures: A versatile platform for converting and storing energy efficiently. Nano Energy, 2016, 19, 328 doi: 10.1016/j.nanoen.2015.11.032
|
| [23] |
Lei Y, Zhang L D, Meng G W, et al. Preparation and photoluminescence of highly ordered TiO2 nanowire arrays. Appl Phys Lett, 2001, 78, 1125 doi: 10.1063/1.1350959
|
| [24] |
Lei Y, Cai W, Wilde G. Highly ordered nanostructures with tunable size, shape and properties: A new way to surface nano-patterning using ultra-thin alumina masks. Prog Mater Sci, 2007, 52(4), 465 doi: 10.1016/j.pmatsci.2006.07.002
|
| [25] |
Lei Y, Yang S, Wu M, et al. Surface patterning using templates: concept, properties and device applications. Chem Soc Rev, 2011, 40, 1247 doi: 10.1039/B924854B
|
| [26] |
Azimi H, Kuhri S, Osvet A, et al. Effective ligand passivation of Cu2O nanoparticles through solid-state treatment with mercaptopropionic acid. J Am Chem Soc, 2014, 136(20), 7233 doi: 10.1021/ja502221r
|
| [27] |
Law M, Greene L E, Johnson J C, et al. Nanowire dye-sensitized solar cells. Nat Mater, 2005, 4, 455 doi: 10.1038/nmat1387
|
| [28] |
Pauzauskie P J, Yang P. Nanowire photonics. Mater Today, 2006, 9(10), 36 doi: 10.1016/S1369-7021(06)71652-2
|
| [29] |
Sun H, Deng J, Qiu L, et al. Recent progress in solar cells based on one-dimensional nanomaterials. Energy Environ Sci, 2015, 8, 1139-1159 doi: 10.1039/C4EE03853C
|
| [30] |
Zhang Q, Cao G. Nanostructured photoelectrodes for dye-sensitized solar cells. Nano Today, 2011, 6(1), 91 doi: 10.1016/j.nantod.2010.12.007
|
| [31] |
Zheng F G, Zhang P, Wang X F, et al. Photovoltaic enhancement due to surface-plasmon assisted visible-light absorption at the inartificial surface of lead zirconate-titanate film. Nanoscale, 2014, 6(5), 2915 doi: 10.1039/C3NR05757G
|
| [32] |
Ibhadon A, Fitzpatrick P. Heterogeneous photocatalysis: recent advances and applications. Catalysts, 2013, 3(1), 189-218 doi: 10.3390/catal3010189
|
| [33] |
Kamat P V. Graphene-based nanoarchitectures anchoring semiconductor and metal nanoparticles on a two-dimensional carbon support. J Phys Chem Lett, 2010, 1(2), 520 doi: 10.1021/jz900265j
|
| [34] |
Oh I, Kye J, Hwang S. Enhanced photoelectrochemical hydrogen production from silicon nanowire array photocathode. Nano Lett, 2012, 12(1), 298 doi: 10.1021/nl203564s
|
| [35] |
Kinoshita K. Carbon: electrochemical and physicochemical proper. New York: John Wiley Sons, 1988
|
Article views: 4522 Times PDF downloads: 93 Times Cited by: 0 Times
Received: 15 February 2019 Revised: 26 March 2019 Online: Accepted Manuscript: 11 April 2019Uncorrected proof: 15 April 2019Published: 08 May 2019
| Citation: |
Nasori Nasori, Tianyi Dai, Xiaohao Jia, Agus Rubiyanto, Dawei Cao, Shengchun Qu, Zhanguo Wang, Zhijie Wang, Yong Lei. Realizing super-long Cu2O nanowires arrays for high-efficient water splitting applications with a convenient approach[J]. Journal of Semiconductors, 2019, 40(5): 052701. doi: 10.1088/1674-4926/40/5/052701
****
N Nasori, T Y Dai, X H Jia, A Rubiyanto, D W Cao, S C Qu, Z G Wang, Z J Wang, Y Lei, Realizing super-long Cu2O nanowires arrays for high-efficient water splitting applications with a convenient approach[J]. J. Semicond., 2019, 40(5): 052701. doi: 10.1088/1674-4926/40/5/052701.
|
| [1] |
Fujishima A, Honda K. Electrochemical photolysis of water at a semiconductor electrode. Nature, 1972, 238, 37 doi: 10.1038/238037a0
|
| [2] |
Ni M, Leung M K H, Leung D Y C, et al. A review and recent developments in photocatalytic water-splitting using TiO2 for hydrogen production. Renew Sustain Energy Rev, 2007, 11(3), 401 doi: 10.1016/j.rser.2005.01.009
|
| [3] |
Zou Z, Ye J, Sayama K, et al. Direct splitting of water under visible light irradiation with an oxide semiconductor photocatalyst. Nature, 2001, 414, 625 doi: 10.1038/414625a
|
| [4] |
Khan S U M, Al-Shahry M, Ingler W B. Efficient photochemical water splitting by a chemically modified n-TiO2. Science, 2002, 297, 2243 doi: 10.1126/science.1075035
|
| [5] |
Walter M G, Warren E L, McKone J R, et al. Solar water splitting cells. Chem Rev, 2010, 110, 6446 doi: 10.1021/cr1002326
|
| [6] |
Bard A J, Fox M A. Artificial photosynthesis: solar splitting of water to hydrogen and oxygen. Acc Chem Res, 1995, 28(3), 141 doi: 10.1021/ar00051a007
|
| [7] |
Kudo A, Miseki Y. Heterogeneous photocatalyst materials for water splitting. Chem Rev, 2009, 38, 253 doi: 10.1039/B800489G
|
| [8] |
Chen X, Shen S, Guo L, et al. Semiconductor-based photocatalytic hydrogen generation. Chem Rev, 2010, 110(11), 6503 doi: 10.1021/cr1001645
|
| [9] |
Liu R, Zheng Z, Spurgeon J, et al. Enhanced photoelectrochemical water-splitting performance of semiconductors by surface passivation layers. Energy Environ Sci, 2014, 7, 2504 doi: 10.1039/C4EE00450G
|
| [10] |
Moniz S J A, Shevlin S A, Martin D J, et al. Visible-light driven heterojunctionphotocatalysts for water splitting-a critical review. Energy Environ Sci, 2015, 8, 731 doi: 10.1039/C4EE03271C
|
| [11] |
Cao D, Wang C, Zheng F, et al. High-efficiency ferroelectric-film solar cells with an n-type Cu2O cathode buffer layer. Nano Lett, 2012, 12(6), 2803 doi: 10.1021/nl300009z
|
| [12] |
Hara M, Kondo T, Komoda M, et al. Cu2O as a photocatalyst for overall water splitting under visible light irradiation. Chem Commun, 1998, 3, 357 doi: 10.1039/a707440i
|
| [13] |
Xiang C, Kimball G M, Grimm R L, et al. 820 mV open-circuit voltages from Cu2O/CH3CN junctions. Energy Environ Sci, 2011, 4, 1311 doi: 10.1039/c0ee00554a
|
| [14] |
Paracchino A, Laporte V, Sivula K, et al. Highly active oxide photocathode for photoelectrochemical water reduction. Nat Mater, 2011, 10, 456 doi: 10.1038/nmat3017
|
| [15] |
Cao D, Nasori N, Wang Z. Facile surface treatment on Cu2O photocathodes for enhancing the photoelectrochemical response. Appl Catal B, 2016, 198, 398 doi: 10.1016/j.apcatb.2016.06.010
|
| [16] |
Ghadimkhani G, de Tacconi N R, Chanmanee W, et al. Efficient solar photoelectrosynthesis of methanol from carbon dioxide using hybrid CuO–Cu2O semiconductor nanorod arrays. Chem Commun, 2013, 49, 1297 doi: 10.1039/c2cc38068d
|
| [17] |
Cao M, Hu C, Wang Y, et al. A controllable synthetic route to Cu, Cu2O, and CuO nanotubes and nanorods. Chem Commun, 2003, 1, 1884 doi: 10.1039/b304505f
|
| [18] |
Tan Y, Xue X, Peng Q, et al. Controllable fabrication and electrical performance of single crystalline cu2o nanowires with high aspect ratios. Nano Lett, 2007, 7(12), 3723 doi: 10.1021/nl0721259
|
| [19] |
Zhang J, Liu J, Peng Q, et al. Nearly monodisperse Cu2O and CuO nanospheres: preparation and applications for sensitive gas sensors. Chem Mater, 2006, 18(4), 867 doi: 10.1021/cm052256f
|
| [20] |
Ben-Shahar Y, Vinokurov K, de Paz-Simon H, et al. Photoelectrochemistry of colloidal Cu2O nanocrystal layers: the role of interfacial chemistry. J Mater Chem A, 2017, 5, 22255 doi: 10.1039/C7TA06026B
|
| [21] |
Singh D P, Neti N R, Sinha A S K, et al. Growth of different nanostructures of Cu2O (nanothreads, nanowires, and nanocubes) by simple electrolysis based oxidation of copper. J Phys Chem C, 2007, 111(4), 1638 doi: 10.1021/jp0657179
|
| [22] |
Wang Z, Cao D, Xu R, et al. Realizing ordered arrays of nanostructures: A versatile platform for converting and storing energy efficiently. Nano Energy, 2016, 19, 328 doi: 10.1016/j.nanoen.2015.11.032
|
| [23] |
Lei Y, Zhang L D, Meng G W, et al. Preparation and photoluminescence of highly ordered TiO2 nanowire arrays. Appl Phys Lett, 2001, 78, 1125 doi: 10.1063/1.1350959
|
| [24] |
Lei Y, Cai W, Wilde G. Highly ordered nanostructures with tunable size, shape and properties: A new way to surface nano-patterning using ultra-thin alumina masks. Prog Mater Sci, 2007, 52(4), 465 doi: 10.1016/j.pmatsci.2006.07.002
|
| [25] |
Lei Y, Yang S, Wu M, et al. Surface patterning using templates: concept, properties and device applications. Chem Soc Rev, 2011, 40, 1247 doi: 10.1039/B924854B
|
| [26] |
Azimi H, Kuhri S, Osvet A, et al. Effective ligand passivation of Cu2O nanoparticles through solid-state treatment with mercaptopropionic acid. J Am Chem Soc, 2014, 136(20), 7233 doi: 10.1021/ja502221r
|
| [27] |
Law M, Greene L E, Johnson J C, et al. Nanowire dye-sensitized solar cells. Nat Mater, 2005, 4, 455 doi: 10.1038/nmat1387
|
| [28] |
Pauzauskie P J, Yang P. Nanowire photonics. Mater Today, 2006, 9(10), 36 doi: 10.1016/S1369-7021(06)71652-2
|
| [29] |
Sun H, Deng J, Qiu L, et al. Recent progress in solar cells based on one-dimensional nanomaterials. Energy Environ Sci, 2015, 8, 1139-1159 doi: 10.1039/C4EE03853C
|
| [30] |
Zhang Q, Cao G. Nanostructured photoelectrodes for dye-sensitized solar cells. Nano Today, 2011, 6(1), 91 doi: 10.1016/j.nantod.2010.12.007
|
| [31] |
Zheng F G, Zhang P, Wang X F, et al. Photovoltaic enhancement due to surface-plasmon assisted visible-light absorption at the inartificial surface of lead zirconate-titanate film. Nanoscale, 2014, 6(5), 2915 doi: 10.1039/C3NR05757G
|
| [32] |
Ibhadon A, Fitzpatrick P. Heterogeneous photocatalysis: recent advances and applications. Catalysts, 2013, 3(1), 189-218 doi: 10.3390/catal3010189
|
| [33] |
Kamat P V. Graphene-based nanoarchitectures anchoring semiconductor and metal nanoparticles on a two-dimensional carbon support. J Phys Chem Lett, 2010, 1(2), 520 doi: 10.1021/jz900265j
|
| [34] |
Oh I, Kye J, Hwang S. Enhanced photoelectrochemical hydrogen production from silicon nanowire array photocathode. Nano Lett, 2012, 12(1), 298 doi: 10.1021/nl203564s
|
| [35] |
Kinoshita K. Carbon: electrochemical and physicochemical proper. New York: John Wiley Sons, 1988
|
Journal of Semiconductors © 2017 All Rights Reserved 京ICP備05085259號-2