ARTICLES
Zhifeng Yu1, 2, Hailong Wang1, 2, Jialin Ma1, 2, Shucheng Tong1, 2 and Jianhua Zhao1, 2,
Corresponding author: Jianhua Zhao, E-mail: jhzhao@red.semi.ac.cn
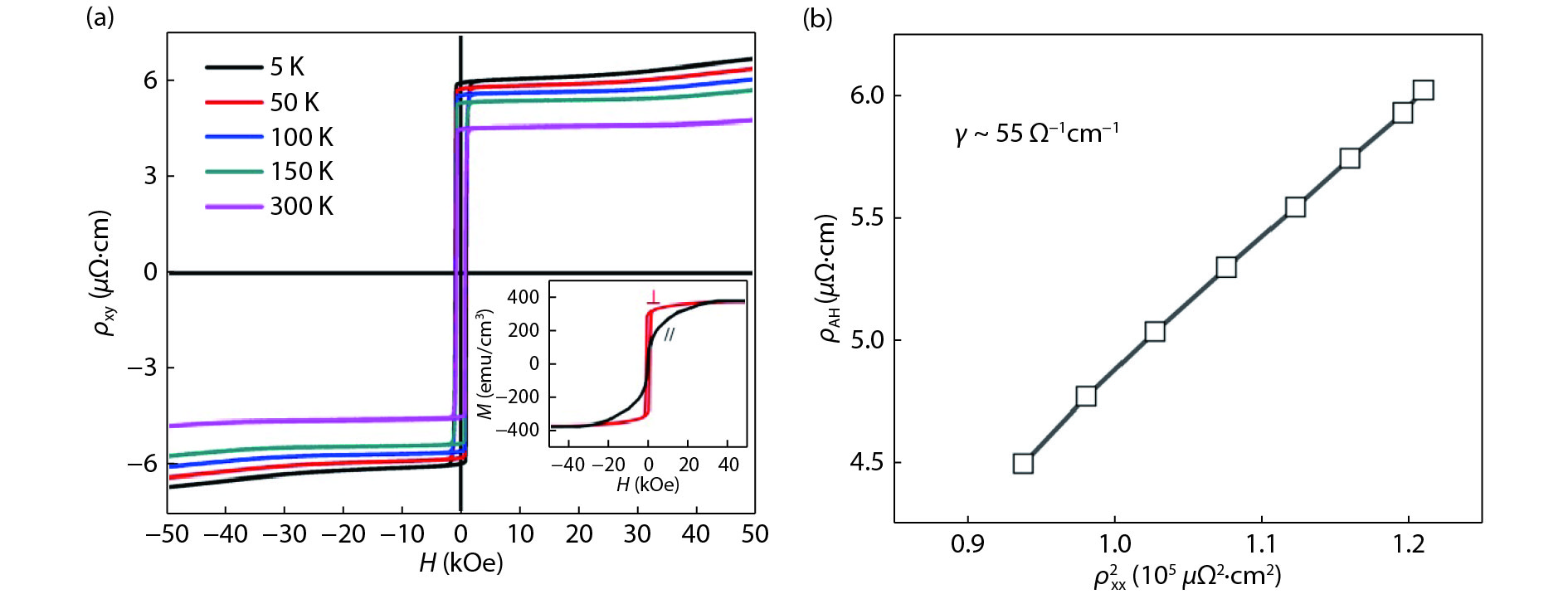
Abstract: We have investigated the magneto-transport properties of an off-stoichiometric full-Heusler alloy Co2MnAl single-crystalline film. The Co1.65Mn1.35Al (CMA) film epitaxially grown on Ⅲ–Ⅴ semiconductor GaAs substrate exhibits perpendicular magnetic anisotropy. The resistivity of the CMA film increases with the temperature T decreasing from 300 to 5 K, showing a semiconducting-like transport behavior. Different activation energies are found in three temperature regions with transition temperatures of 35 and 110 K. In the meanwhile, the remanent magnetization can be described by T3/2 and T2 laws in the corresponding medium and high T ranges, respectively. The transition at around 110 K could be attributed to the ferromagnetism evolving from localized to itinerant state. The Curie temperature of the CMA film is estimated to be ~640 K. The intrinsic anomalous Hall conductivity of ~55 Ω–1cm–1 is obtained, which is almost twenty times smaller than that of Co2MnAl.
Key words: full-Heusler alloy, magneto-transport property, activation model, molecular-beam epitaxy
| [1] |
De Groot R A, Mueller F M, Van Engen P G, et al. New class of materials: half-metallic ferromagnets. Phys Rev Lett, 1983, 50(25), 2024 doi: 10.1103/PhysRevLett.50.2024
|
| [2] |
Trudel S, Gaier O, Hamrle J, et al. Magnetic anisotropy, exchange and damping in cobalt-based full-Heusler compounds: an experimental review. J Phys D, 2010, 43(19), 193001 doi: 10.1088/0022-3727/43/19/193001
|
| [3] |
Wollmann L, Nayak A K, Parkin S S P, et al. Heusler 4.0: tunable materials. Ann Rev Mater Res, 2017, 47, 247 doi: 10.1146/annurev-matsci-070616-123928
|
| [4] |
Nayak A K, Nicklas M, Chadov S, et al. Design of compensated ferrimagnetic Heusler alloys for giant tunable exchange bias. Nat Mater, 2015, 14(7), 679 doi: 10.1038/nmat4248
|
| [5] |
Gueye M, Wague B M, Zighem F, et al. Bending strain-tunable magnetic anisotropy in Co2FeAl Heusler thin film on Kapton. Appl Phys Lett, 2014, 105(6), 062409 doi: 10.1063/1.4893157
|
| [6] |
Zhang B, Wang H L, Cao J, et al. Control of magnetic anisotropy in epitaxial Co2MnAl thin films through piezo-voltage-induced strain. J Appl Phys, 2019, 125(8), 082503 doi: 10.1063/1.5039430
|
| [7] |
Picozzi S, Continenza A, Freeman A J. Co2MnX (X= Si, Ge, Sn) Heusler compounds: An ab initio study of their structural, electronic, and magnetic properties at zero and elevated pressure. Phys Rev B, 2002, 66(9), 094421 doi: 10.1103/PhysRevB.66.094421
|
| [8] |
Ouardi S, Fecher G H, Felser C, et al. Realization of spin gapless semiconductors: The Heusler compound Mn2CoAl. Phys Rev Lett, 2013, 110(10), 100401 doi: 10.1103/PhysRevLett.110.100401
|
| [9] |
Jamer M E, Assaf B A, Devakul T, et al. Magnetic and transport properties of Mn2CoAl oriented films. Appl Phys Lett, 2013, 103(14), 142403 doi: 10.1063/1.4823601
|
| [10] |
Xu G Z, Du Y, Zhang X M, et al. Magneto-transport properties of oriented Mn2CoAl films sputtered on thermally oxidized Si substrates. Appl Phys Lett, 2014, 104(24), 242408 doi: 10.1063/1.4884203
|
| [11] |
Feng Y, Zhou T, Chen X, et al. The effect of Mn content on magnetism and half-metallicity of off-stoichiometric Co2MnAl. JMMM, 2015, 387, 118 doi: 10.1016/j.jmmm.2015.04.002
|
| [12] |
Zhang X, Cheng Y, Zhao W, et al. Exploring potentials of perpendicular magnetic anisotropy stt-mram for cache design. IEEE International Conference on Solid-State and Integrated Circuit Technology (ICSICT), 2014, 1
|
| [13] |
Meng K K, Miao J, Xu X, et al. Thickness dependence of magnetic anisotropy and intrinsic anomalous Hall effect in epitaxial Co2MnAl film. Phys Lett A, 2017, 381(13), 1202 doi: 10.1016/j.physleta.2017.02.004
|
| [14] |
Gofryk K, Kaczorowski D, Plackowski T, et al. Magnetic and transport properties of the rare-earth-based Heusler phases R Pd Z and R Pd 2 Z (Z= Sb, Bi). Phys Rev B, 2005, 72(9), 094409 doi: 10.1103/PhysRevB.72.094409
|
| [15] |
Raquet B, Viret M, Warin P, et al. Negative high field magnetoresistance in 3d ferromagnets. Physica B, 2001, 294, 102 doi: 10.1016/S0921-4526(00)00618-9
|
| [16] |
Hordequin C, Pierre J, Currat R. Magnetic excitations in the half-metallic NiMnSb ferromagnet: From Heisenberg-type to itinerant behaviour. JMMM, 1996, 162(1), 75 doi: 10.1016/0304-8853(96)00074-1
|
| [17] |
Du Y, Xu G Z, Zhang X M, et al. Crossover of magnetoresistance in the zero-gap half-metallic Heusler alloy Fe2CoSi . Europhys Lett, 2013, 103(3), 37011 doi: 10.1209/0295-5075/103/37011
|
| [18] |
Ishikawa Y, Shirane G, Tarvin J A, et al. Magnetic excitations in the weak itinerant ferromagnet MnSi. Phys Rev B, 1977, 16(11), 4956 doi: 10.1103/PhysRevB.16.4956
|
| [19] |
Wohlfarth E P. Very weak itinerant ferromagnets application to ZrZn2. J Appl Phys, 1968, 39(2), 106 doi: 10.1063/1.1656163
|
| [20] |
Nagaosa N, Sinova J, Onoda S, et al. Anomalous hall effect. Rev Modern Phys, 2010, 82(2), 1539 doi: 10.1103/RevModPhys.82.1539
|
| [21] |
Tian Y, Ye L, Jin X. Proper scaling of the anomalous Hall effect. Phys Rev Lett, 2009, 103(8), 087206 doi: 10.1103/PhysRevLett.103.087206
|
| [1] |
De Groot R A, Mueller F M, Van Engen P G, et al. New class of materials: half-metallic ferromagnets. Phys Rev Lett, 1983, 50(25), 2024 doi: 10.1103/PhysRevLett.50.2024
|
| [2] |
Trudel S, Gaier O, Hamrle J, et al. Magnetic anisotropy, exchange and damping in cobalt-based full-Heusler compounds: an experimental review. J Phys D, 2010, 43(19), 193001 doi: 10.1088/0022-3727/43/19/193001
|
| [3] |
Wollmann L, Nayak A K, Parkin S S P, et al. Heusler 4.0: tunable materials. Ann Rev Mater Res, 2017, 47, 247 doi: 10.1146/annurev-matsci-070616-123928
|
| [4] |
Nayak A K, Nicklas M, Chadov S, et al. Design of compensated ferrimagnetic Heusler alloys for giant tunable exchange bias. Nat Mater, 2015, 14(7), 679 doi: 10.1038/nmat4248
|
| [5] |
Gueye M, Wague B M, Zighem F, et al. Bending strain-tunable magnetic anisotropy in Co2FeAl Heusler thin film on Kapton. Appl Phys Lett, 2014, 105(6), 062409 doi: 10.1063/1.4893157
|
| [6] |
Zhang B, Wang H L, Cao J, et al. Control of magnetic anisotropy in epitaxial Co2MnAl thin films through piezo-voltage-induced strain. J Appl Phys, 2019, 125(8), 082503 doi: 10.1063/1.5039430
|
| [7] |
Picozzi S, Continenza A, Freeman A J. Co2MnX (X= Si, Ge, Sn) Heusler compounds: An ab initio study of their structural, electronic, and magnetic properties at zero and elevated pressure. Phys Rev B, 2002, 66(9), 094421 doi: 10.1103/PhysRevB.66.094421
|
| [8] |
Ouardi S, Fecher G H, Felser C, et al. Realization of spin gapless semiconductors: The Heusler compound Mn2CoAl. Phys Rev Lett, 2013, 110(10), 100401 doi: 10.1103/PhysRevLett.110.100401
|
| [9] |
Jamer M E, Assaf B A, Devakul T, et al. Magnetic and transport properties of Mn2CoAl oriented films. Appl Phys Lett, 2013, 103(14), 142403 doi: 10.1063/1.4823601
|
| [10] |
Xu G Z, Du Y, Zhang X M, et al. Magneto-transport properties of oriented Mn2CoAl films sputtered on thermally oxidized Si substrates. Appl Phys Lett, 2014, 104(24), 242408 doi: 10.1063/1.4884203
|
| [11] |
Feng Y, Zhou T, Chen X, et al. The effect of Mn content on magnetism and half-metallicity of off-stoichiometric Co2MnAl. JMMM, 2015, 387, 118 doi: 10.1016/j.jmmm.2015.04.002
|
| [12] |
Zhang X, Cheng Y, Zhao W, et al. Exploring potentials of perpendicular magnetic anisotropy stt-mram for cache design. IEEE International Conference on Solid-State and Integrated Circuit Technology (ICSICT), 2014, 1
|
| [13] |
Meng K K, Miao J, Xu X, et al. Thickness dependence of magnetic anisotropy and intrinsic anomalous Hall effect in epitaxial Co2MnAl film. Phys Lett A, 2017, 381(13), 1202 doi: 10.1016/j.physleta.2017.02.004
|
| [14] |
Gofryk K, Kaczorowski D, Plackowski T, et al. Magnetic and transport properties of the rare-earth-based Heusler phases R Pd Z and R Pd 2 Z (Z= Sb, Bi). Phys Rev B, 2005, 72(9), 094409 doi: 10.1103/PhysRevB.72.094409
|
| [15] |
Raquet B, Viret M, Warin P, et al. Negative high field magnetoresistance in 3d ferromagnets. Physica B, 2001, 294, 102 doi: 10.1016/S0921-4526(00)00618-9
|
| [16] |
Hordequin C, Pierre J, Currat R. Magnetic excitations in the half-metallic NiMnSb ferromagnet: From Heisenberg-type to itinerant behaviour. JMMM, 1996, 162(1), 75 doi: 10.1016/0304-8853(96)00074-1
|
| [17] |
Du Y, Xu G Z, Zhang X M, et al. Crossover of magnetoresistance in the zero-gap half-metallic Heusler alloy Fe2CoSi . Europhys Lett, 2013, 103(3), 37011 doi: 10.1209/0295-5075/103/37011
|
| [18] |
Ishikawa Y, Shirane G, Tarvin J A, et al. Magnetic excitations in the weak itinerant ferromagnet MnSi. Phys Rev B, 1977, 16(11), 4956 doi: 10.1103/PhysRevB.16.4956
|
| [19] |
Wohlfarth E P. Very weak itinerant ferromagnets application to ZrZn2. J Appl Phys, 1968, 39(2), 106 doi: 10.1063/1.1656163
|
| [20] |
Nagaosa N, Sinova J, Onoda S, et al. Anomalous hall effect. Rev Modern Phys, 2010, 82(2), 1539 doi: 10.1103/RevModPhys.82.1539
|
| [21] |
Tian Y, Ye L, Jin X. Proper scaling of the anomalous Hall effect. Phys Rev Lett, 2009, 103(8), 087206 doi: 10.1103/PhysRevLett.103.087206
|
Article views: 4629 Times PDF downloads: 50 Times Cited by: 0 Times
Received: 22 April 2019 Revised: Online: Accepted Manuscript: 30 April 2019Uncorrected proof: 30 April 2019Published: 08 May 2019
| Citation: |
Zhifeng Yu, Hailong Wang, Jialin Ma, Shucheng Tong, Jianhua Zhao. Magneto-transport properties of the off-stoichiometric Co2MnAl film epitaxially grown on GaAs (001)[J]. Journal of Semiconductors, 2019, 40(5): 052501. doi: 10.1088/1674-4926/40/5/052501
****
Z F Yu, H L Wang, J L Ma, S C Tong, J H Zhao, Magneto-transport properties of the off-stoichiometric Co2MnAl film epitaxially grown on GaAs (001)[J]. J. Semicond., 2019, 40(5): 052501. doi: 10.1088/1674-4926/40/5/052501.
|
| [1] |
De Groot R A, Mueller F M, Van Engen P G, et al. New class of materials: half-metallic ferromagnets. Phys Rev Lett, 1983, 50(25), 2024 doi: 10.1103/PhysRevLett.50.2024
|
| [2] |
Trudel S, Gaier O, Hamrle J, et al. Magnetic anisotropy, exchange and damping in cobalt-based full-Heusler compounds: an experimental review. J Phys D, 2010, 43(19), 193001 doi: 10.1088/0022-3727/43/19/193001
|
| [3] |
Wollmann L, Nayak A K, Parkin S S P, et al. Heusler 4.0: tunable materials. Ann Rev Mater Res, 2017, 47, 247 doi: 10.1146/annurev-matsci-070616-123928
|
| [4] |
Nayak A K, Nicklas M, Chadov S, et al. Design of compensated ferrimagnetic Heusler alloys for giant tunable exchange bias. Nat Mater, 2015, 14(7), 679 doi: 10.1038/nmat4248
|
| [5] |
Gueye M, Wague B M, Zighem F, et al. Bending strain-tunable magnetic anisotropy in Co2FeAl Heusler thin film on Kapton. Appl Phys Lett, 2014, 105(6), 062409 doi: 10.1063/1.4893157
|
| [6] |
Zhang B, Wang H L, Cao J, et al. Control of magnetic anisotropy in epitaxial Co2MnAl thin films through piezo-voltage-induced strain. J Appl Phys, 2019, 125(8), 082503 doi: 10.1063/1.5039430
|
| [7] |
Picozzi S, Continenza A, Freeman A J. Co2MnX (X= Si, Ge, Sn) Heusler compounds: An ab initio study of their structural, electronic, and magnetic properties at zero and elevated pressure. Phys Rev B, 2002, 66(9), 094421 doi: 10.1103/PhysRevB.66.094421
|
| [8] |
Ouardi S, Fecher G H, Felser C, et al. Realization of spin gapless semiconductors: The Heusler compound Mn2CoAl. Phys Rev Lett, 2013, 110(10), 100401 doi: 10.1103/PhysRevLett.110.100401
|
| [9] |
Jamer M E, Assaf B A, Devakul T, et al. Magnetic and transport properties of Mn2CoAl oriented films. Appl Phys Lett, 2013, 103(14), 142403 doi: 10.1063/1.4823601
|
| [10] |
Xu G Z, Du Y, Zhang X M, et al. Magneto-transport properties of oriented Mn2CoAl films sputtered on thermally oxidized Si substrates. Appl Phys Lett, 2014, 104(24), 242408 doi: 10.1063/1.4884203
|
| [11] |
Feng Y, Zhou T, Chen X, et al. The effect of Mn content on magnetism and half-metallicity of off-stoichiometric Co2MnAl. JMMM, 2015, 387, 118 doi: 10.1016/j.jmmm.2015.04.002
|
| [12] |
Zhang X, Cheng Y, Zhao W, et al. Exploring potentials of perpendicular magnetic anisotropy stt-mram for cache design. IEEE International Conference on Solid-State and Integrated Circuit Technology (ICSICT), 2014, 1
|
| [13] |
Meng K K, Miao J, Xu X, et al. Thickness dependence of magnetic anisotropy and intrinsic anomalous Hall effect in epitaxial Co2MnAl film. Phys Lett A, 2017, 381(13), 1202 doi: 10.1016/j.physleta.2017.02.004
|
| [14] |
Gofryk K, Kaczorowski D, Plackowski T, et al. Magnetic and transport properties of the rare-earth-based Heusler phases R Pd Z and R Pd 2 Z (Z= Sb, Bi). Phys Rev B, 2005, 72(9), 094409 doi: 10.1103/PhysRevB.72.094409
|
| [15] |
Raquet B, Viret M, Warin P, et al. Negative high field magnetoresistance in 3d ferromagnets. Physica B, 2001, 294, 102 doi: 10.1016/S0921-4526(00)00618-9
|
| [16] |
Hordequin C, Pierre J, Currat R. Magnetic excitations in the half-metallic NiMnSb ferromagnet: From Heisenberg-type to itinerant behaviour. JMMM, 1996, 162(1), 75 doi: 10.1016/0304-8853(96)00074-1
|
| [17] |
Du Y, Xu G Z, Zhang X M, et al. Crossover of magnetoresistance in the zero-gap half-metallic Heusler alloy Fe2CoSi . Europhys Lett, 2013, 103(3), 37011 doi: 10.1209/0295-5075/103/37011
|
| [18] |
Ishikawa Y, Shirane G, Tarvin J A, et al. Magnetic excitations in the weak itinerant ferromagnet MnSi. Phys Rev B, 1977, 16(11), 4956 doi: 10.1103/PhysRevB.16.4956
|
| [19] |
Wohlfarth E P. Very weak itinerant ferromagnets application to ZrZn2. J Appl Phys, 1968, 39(2), 106 doi: 10.1063/1.1656163
|
| [20] |
Nagaosa N, Sinova J, Onoda S, et al. Anomalous hall effect. Rev Modern Phys, 2010, 82(2), 1539 doi: 10.1103/RevModPhys.82.1539
|
| [21] |
Tian Y, Ye L, Jin X. Proper scaling of the anomalous Hall effect. Phys Rev Lett, 2009, 103(8), 087206 doi: 10.1103/PhysRevLett.103.087206
|
Journal of Semiconductors © 2017 All Rights Reserved 京ICP備05085259號-2