ARTICLES
Chang Ge1, 2, Jing Li1, 2, , Guohong Wang1, 2, 3, Kang Su1, 2 and Xingdong Lu1, 2
Corresponding author: Jing Li, Email: lijing2006@semi.ac.cn
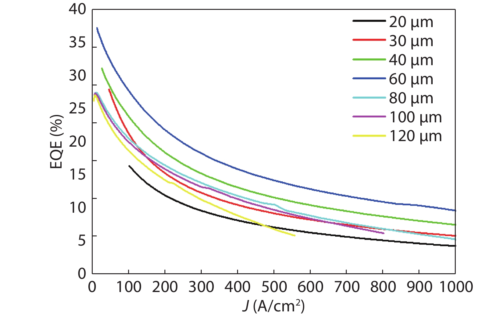
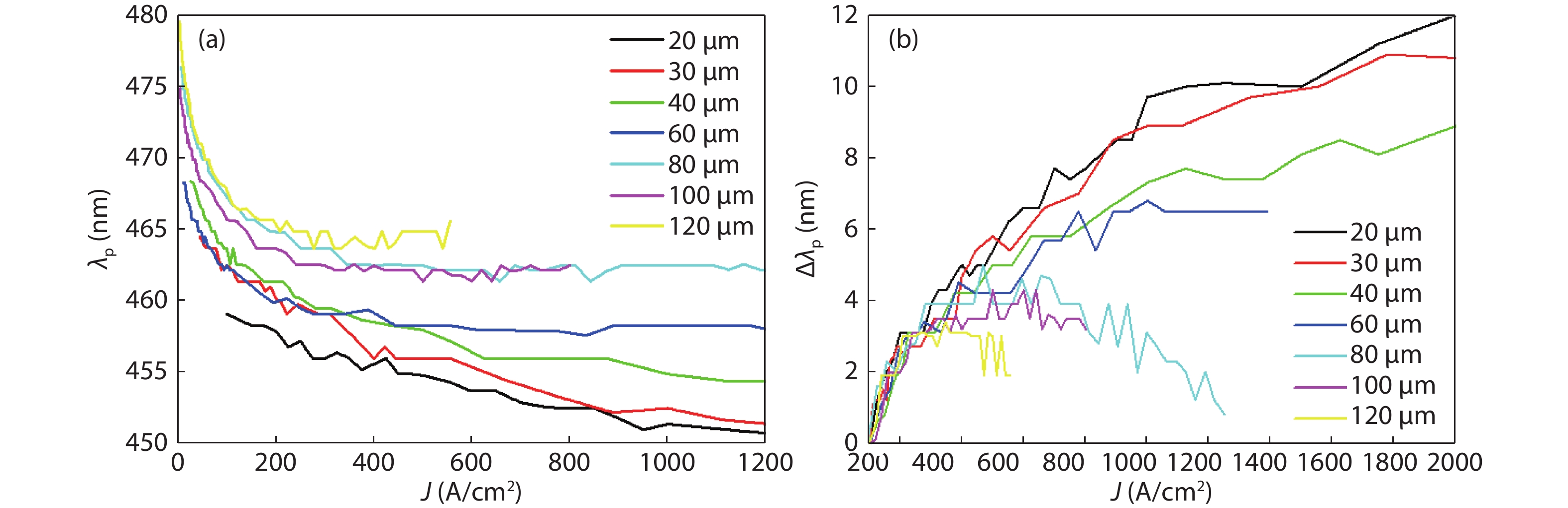
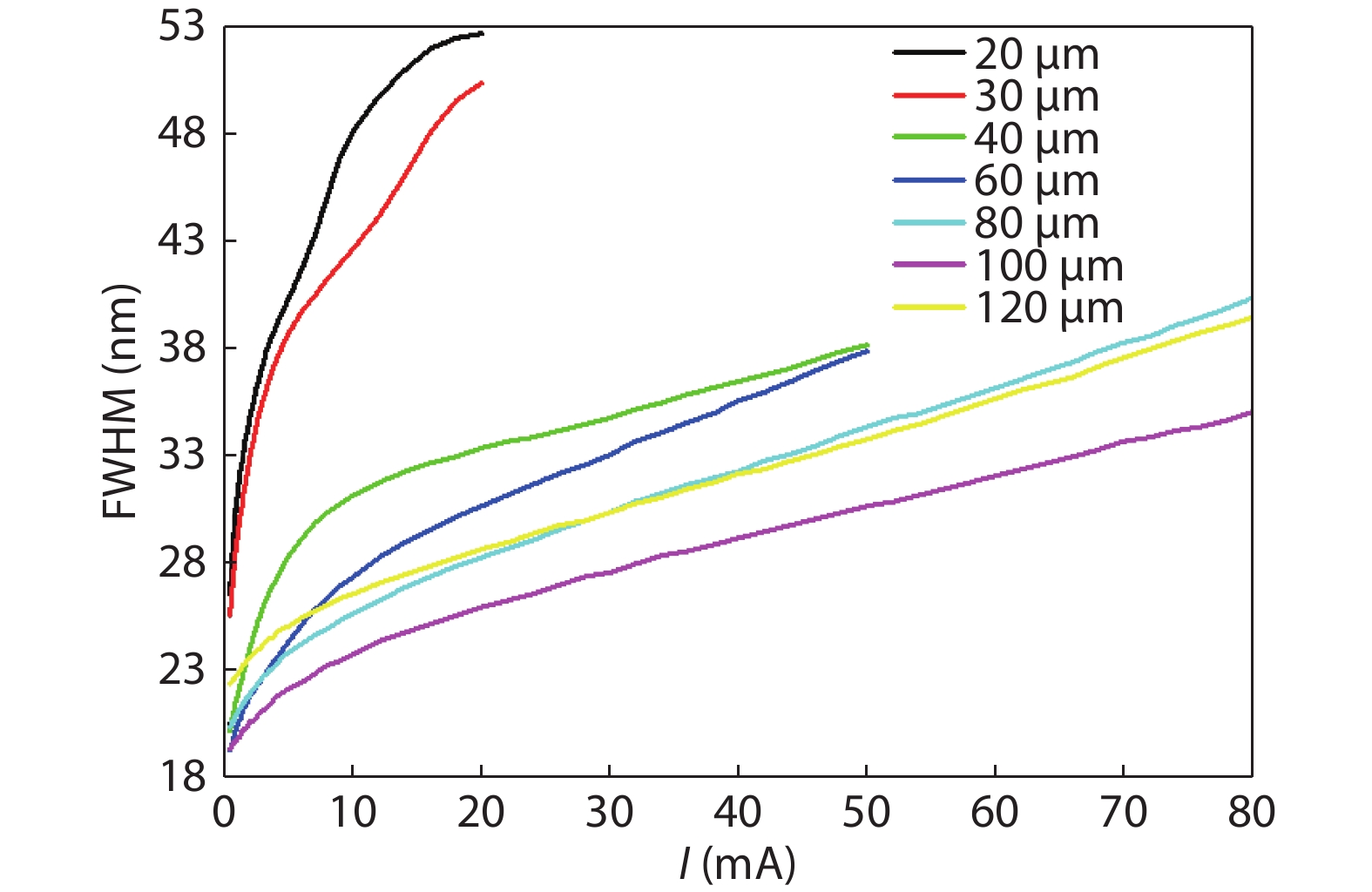
Abstract: In this paper, size effects on optical performance of blue light-emitting diodes (LEDs) are investigated. The essential physical mechanism is studied by fabricating LEDs with various sizes of the active area and testing optical characteristics. It is found that micro-LEDs have better light extracting efficiency and thermal dissipation compared with broad-area LEDs, which is likely due to the small ratio of perimeter and active area. Furthermore, micro-LEDs are more beneficial for displays due to the stable wavelength under the low pulse width modulation (PWM) current density.
Key words: micro-LED, size dependence, light extract efficiency, strain relaxation
| [1] |
Jin S X, Li J, Li J Z, et al. GaN microdisk light emitting diodes. Appl Phys Lett, 2000, 76(5), 631 doi: 10.1063/1.125841
|
| [2] |
Jeon C W, Choi H W, Edwards P R, et al. 64 × 64 matrix-addressable arrays of GaN-based micro-LEDs. Lasers & Electro-optics Society, Leos, the Meeting of the IEEE, 2002
|
| [3] |
Akhter M. A LED micro-display with 90 × 90 pixels on a 80 μm pitch. Microelectronics Packaging Conference, 2016
|
| [4] |
Tian P, Mckendry J J D, Gong Z, et al. Characteristics and applications of micro-pixelated GaN-based light emitting diodes on Si substrates. J Appl Phys, 2014, 115(3), 033112 doi: 10.1063/1.4862298
|
| [5] |
Gong Z, Gu E, Jin S R, et al. Efficient flip-chip InGaN micro-pixellated light-emitting diode arrays: promising candidates for micro-displays and colour conversion. J Phys D, 2008, 41(9), 094002 doi: 10.1088/0022-3727/41/9/094002
|
| [6] |
Kang C M, Kong D J, Shim J P, et al. Fabrication of a vertically-stacked passive-matrix micro-LED array structure for a dual color display. Opt Express, 2017, 25(3), 2489 doi: 10.1364/OE.25.002489
|
| [7] |
Choi H W, Jeon C W, Dawson M D, et al. Fabrication and performance of parallel-addressed InGaN micro-LED arrays. IEEE Photonics Technol Lett, 2003, 15(4), 510 doi: 10.1109/LPT.2003.809257
|
| [8] |
Gong Z, Jin S, Chen Y, et al. Size-dependent light output, spectral shift, and self-heating of 400 nm InGaN light-emitting diodes. J Appl Phys, 2010, 107(1), 013103 doi: 10.1063/1.3276156
|
| [9] |
Tao Y B, Wang S Y, Chen Z Z, et al. Size effect on efficiency droop of blue light emitting diode. Physica Status Solidi C, 2012, 9(3/4), 616 doi: 10.1002/pssc.201100483
|
| [10] |
Dai L, Zhang N, Lin J Y, et al. Comparison of optical transitions in InGaN quantum well structures and microdisks. J Appl Phys, 2001, 89, 4951 doi: 10.1063/1.1355280
|
| [11] |
Demangeot F, Gleize J, Frandon J, et al. Optical investigation of micrometer and nanometer-size individual GaN pillars fabricated by reactive ion etching. J Appl Phys, 2002, 91(10), 6520 doi: 10.1063/1.1468908
|
| [12] |
Jin S X, Shakya J, Lin J Y, et al. Size dependence of III-nitride microdisk light-emitting diode characteristics. Appl Phys Lett, 2001, 78(22), 3532 doi: 10.1063/1.1376152
|
| [13] |
Lu H M, Chen G X. Influence of polarization effect on optoelectronic properties of InGaN/GaN multiple quantum well. Chin J Lumin, 2011, 32(3), 266 doi: 10.3788/fgxb20113203.0266
|
| [14] |
Arnaudov B, Domanevskii D S, Evtimova S, et al. Band-filling effect on the light emission spectra of InGaN/GaN quantum wells with highly doped barriers. Microelectron J, 2009, 40(2), 346 doi: 10.1016/j.mejo.2008.07.064
|
| [15] |
Ryou J H, Yoder P D, Liu J, et al. Control of quantum-confined stark effect in ingan-based quantum wells. IEEE J Sel Top Quantum Electron, 2009, 15(4), 1080 doi: 10.1109/JSTQE.2009.2014170
|
| [16] |
Cho J, Sone C, Park Y, et al. Measuring the junction temperature of III-nitride light emitting diodes using electro-luminescence shift. Phys Status Solidi A, 2005, 202, 1869 doi: 10.1002/pssa.200520041
|
| [17] |
Senawiratne J, Chatterjee A, Detchprohm T, et al. Junction temperature, spectral shift, and efficiency in GaInN-based blue and green light emitting diodes. Thin Solid Films, 2010, 518, 1732 doi: 10.1016/j.tsf.2009.11.073
|
| [18] |
Schubert E F, Miller J N. Light-emitting diodes. New York: Cambridge University Press, 2006, 87
|
Table 1. The geometric parameters of LEDs.
| D (μm) | S (μm2) | L/S | LE/S |
| 20 | 400 | 0.2 | 0.351 |
| 30 | 900 | 0.13 | 0.322 |
| 40 | 1600 | 0.1 | 0.172 |
| 60 | 3600 | 0.067 | 0.168 |
| 80 | 6400 | 0.05 | 0.601 |
| 100 | 10000 | 0.04 | 0.382 |
| 120 | 14400 | 0.033 | 0.267 |
DownLoad: CSV
| [1] |
Jin S X, Li J, Li J Z, et al. GaN microdisk light emitting diodes. Appl Phys Lett, 2000, 76(5), 631 doi: 10.1063/1.125841
|
| [2] |
Jeon C W, Choi H W, Edwards P R, et al. 64 × 64 matrix-addressable arrays of GaN-based micro-LEDs. Lasers & Electro-optics Society, Leos, the Meeting of the IEEE, 2002
|
| [3] |
Akhter M. A LED micro-display with 90 × 90 pixels on a 80 μm pitch. Microelectronics Packaging Conference, 2016
|
| [4] |
Tian P, Mckendry J J D, Gong Z, et al. Characteristics and applications of micro-pixelated GaN-based light emitting diodes on Si substrates. J Appl Phys, 2014, 115(3), 033112 doi: 10.1063/1.4862298
|
| [5] |
Gong Z, Gu E, Jin S R, et al. Efficient flip-chip InGaN micro-pixellated light-emitting diode arrays: promising candidates for micro-displays and colour conversion. J Phys D, 2008, 41(9), 094002 doi: 10.1088/0022-3727/41/9/094002
|
| [6] |
Kang C M, Kong D J, Shim J P, et al. Fabrication of a vertically-stacked passive-matrix micro-LED array structure for a dual color display. Opt Express, 2017, 25(3), 2489 doi: 10.1364/OE.25.002489
|
| [7] |
Choi H W, Jeon C W, Dawson M D, et al. Fabrication and performance of parallel-addressed InGaN micro-LED arrays. IEEE Photonics Technol Lett, 2003, 15(4), 510 doi: 10.1109/LPT.2003.809257
|
| [8] |
Gong Z, Jin S, Chen Y, et al. Size-dependent light output, spectral shift, and self-heating of 400 nm InGaN light-emitting diodes. J Appl Phys, 2010, 107(1), 013103 doi: 10.1063/1.3276156
|
| [9] |
Tao Y B, Wang S Y, Chen Z Z, et al. Size effect on efficiency droop of blue light emitting diode. Physica Status Solidi C, 2012, 9(3/4), 616 doi: 10.1002/pssc.201100483
|
| [10] |
Dai L, Zhang N, Lin J Y, et al. Comparison of optical transitions in InGaN quantum well structures and microdisks. J Appl Phys, 2001, 89, 4951 doi: 10.1063/1.1355280
|
| [11] |
Demangeot F, Gleize J, Frandon J, et al. Optical investigation of micrometer and nanometer-size individual GaN pillars fabricated by reactive ion etching. J Appl Phys, 2002, 91(10), 6520 doi: 10.1063/1.1468908
|
| [12] |
Jin S X, Shakya J, Lin J Y, et al. Size dependence of III-nitride microdisk light-emitting diode characteristics. Appl Phys Lett, 2001, 78(22), 3532 doi: 10.1063/1.1376152
|
| [13] |
Lu H M, Chen G X. Influence of polarization effect on optoelectronic properties of InGaN/GaN multiple quantum well. Chin J Lumin, 2011, 32(3), 266 doi: 10.3788/fgxb20113203.0266
|
| [14] |
Arnaudov B, Domanevskii D S, Evtimova S, et al. Band-filling effect on the light emission spectra of InGaN/GaN quantum wells with highly doped barriers. Microelectron J, 2009, 40(2), 346 doi: 10.1016/j.mejo.2008.07.064
|
| [15] |
Ryou J H, Yoder P D, Liu J, et al. Control of quantum-confined stark effect in ingan-based quantum wells. IEEE J Sel Top Quantum Electron, 2009, 15(4), 1080 doi: 10.1109/JSTQE.2009.2014170
|
| [16] |
Cho J, Sone C, Park Y, et al. Measuring the junction temperature of III-nitride light emitting diodes using electro-luminescence shift. Phys Status Solidi A, 2005, 202, 1869 doi: 10.1002/pssa.200520041
|
| [17] |
Senawiratne J, Chatterjee A, Detchprohm T, et al. Junction temperature, spectral shift, and efficiency in GaInN-based blue and green light emitting diodes. Thin Solid Films, 2010, 518, 1732 doi: 10.1016/j.tsf.2009.11.073
|
| [18] |
Schubert E F, Miller J N. Light-emitting diodes. New York: Cambridge University Press, 2006, 87
|
Article views: 5034 Times PDF downloads: 83 Times Cited by: 0 Times
Received: 20 March 2019 Revised: 31 May 2019 Online: Accepted Manuscript: 03 September 2019Uncorrected proof: 03 September 2019Published: 01 October 2019
| Citation: |
Chang Ge, Jing Li, Guohong Wang, Kang Su, Xingdong Lu. Size effect on optical performance of blue light-emitting diodes[J]. Journal of Semiconductors, 2019, 40(10): 102301. doi: 10.1088/1674-4926/40/10/102301
****
C Ge, J Li, G H Wang, K Su, X D Lu, Size effect on optical performance of blue light-emitting diodes[J]. J. Semicond., 2019, 40(10): 102301. doi: 10.1088/1674-4926/40/10/102301.
|
| [1] |
Jin S X, Li J, Li J Z, et al. GaN microdisk light emitting diodes. Appl Phys Lett, 2000, 76(5), 631 doi: 10.1063/1.125841
|
| [2] |
Jeon C W, Choi H W, Edwards P R, et al. 64 × 64 matrix-addressable arrays of GaN-based micro-LEDs. Lasers & Electro-optics Society, Leos, the Meeting of the IEEE, 2002
|
| [3] |
Akhter M. A LED micro-display with 90 × 90 pixels on a 80 μm pitch. Microelectronics Packaging Conference, 2016
|
| [4] |
Tian P, Mckendry J J D, Gong Z, et al. Characteristics and applications of micro-pixelated GaN-based light emitting diodes on Si substrates. J Appl Phys, 2014, 115(3), 033112 doi: 10.1063/1.4862298
|
| [5] |
Gong Z, Gu E, Jin S R, et al. Efficient flip-chip InGaN micro-pixellated light-emitting diode arrays: promising candidates for micro-displays and colour conversion. J Phys D, 2008, 41(9), 094002 doi: 10.1088/0022-3727/41/9/094002
|
| [6] |
Kang C M, Kong D J, Shim J P, et al. Fabrication of a vertically-stacked passive-matrix micro-LED array structure for a dual color display. Opt Express, 2017, 25(3), 2489 doi: 10.1364/OE.25.002489
|
| [7] |
Choi H W, Jeon C W, Dawson M D, et al. Fabrication and performance of parallel-addressed InGaN micro-LED arrays. IEEE Photonics Technol Lett, 2003, 15(4), 510 doi: 10.1109/LPT.2003.809257
|
| [8] |
Gong Z, Jin S, Chen Y, et al. Size-dependent light output, spectral shift, and self-heating of 400 nm InGaN light-emitting diodes. J Appl Phys, 2010, 107(1), 013103 doi: 10.1063/1.3276156
|
| [9] |
Tao Y B, Wang S Y, Chen Z Z, et al. Size effect on efficiency droop of blue light emitting diode. Physica Status Solidi C, 2012, 9(3/4), 616 doi: 10.1002/pssc.201100483
|
| [10] |
Dai L, Zhang N, Lin J Y, et al. Comparison of optical transitions in InGaN quantum well structures and microdisks. J Appl Phys, 2001, 89, 4951 doi: 10.1063/1.1355280
|
| [11] |
Demangeot F, Gleize J, Frandon J, et al. Optical investigation of micrometer and nanometer-size individual GaN pillars fabricated by reactive ion etching. J Appl Phys, 2002, 91(10), 6520 doi: 10.1063/1.1468908
|
| [12] |
Jin S X, Shakya J, Lin J Y, et al. Size dependence of III-nitride microdisk light-emitting diode characteristics. Appl Phys Lett, 2001, 78(22), 3532 doi: 10.1063/1.1376152
|
| [13] |
Lu H M, Chen G X. Influence of polarization effect on optoelectronic properties of InGaN/GaN multiple quantum well. Chin J Lumin, 2011, 32(3), 266 doi: 10.3788/fgxb20113203.0266
|
| [14] |
Arnaudov B, Domanevskii D S, Evtimova S, et al. Band-filling effect on the light emission spectra of InGaN/GaN quantum wells with highly doped barriers. Microelectron J, 2009, 40(2), 346 doi: 10.1016/j.mejo.2008.07.064
|
| [15] |
Ryou J H, Yoder P D, Liu J, et al. Control of quantum-confined stark effect in ingan-based quantum wells. IEEE J Sel Top Quantum Electron, 2009, 15(4), 1080 doi: 10.1109/JSTQE.2009.2014170
|
| [16] |
Cho J, Sone C, Park Y, et al. Measuring the junction temperature of III-nitride light emitting diodes using electro-luminescence shift. Phys Status Solidi A, 2005, 202, 1869 doi: 10.1002/pssa.200520041
|
| [17] |
Senawiratne J, Chatterjee A, Detchprohm T, et al. Junction temperature, spectral shift, and efficiency in GaInN-based blue and green light emitting diodes. Thin Solid Films, 2010, 518, 1732 doi: 10.1016/j.tsf.2009.11.073
|
| [18] |
Schubert E F, Miller J N. Light-emitting diodes. New York: Cambridge University Press, 2006, 87
|
Journal of Semiconductors © 2017 All Rights Reserved 京ICP備05085259號-2