ARTICLES
Jianjun Shi, Xiaochuan Xia, Qasim Abbas, Jun Liu, Heqiu Zhang, Yang Liu and Hongwei Liang
Corresponding author: Hongwei Liang, E-mail address: hwliang@dlut.edu.cn
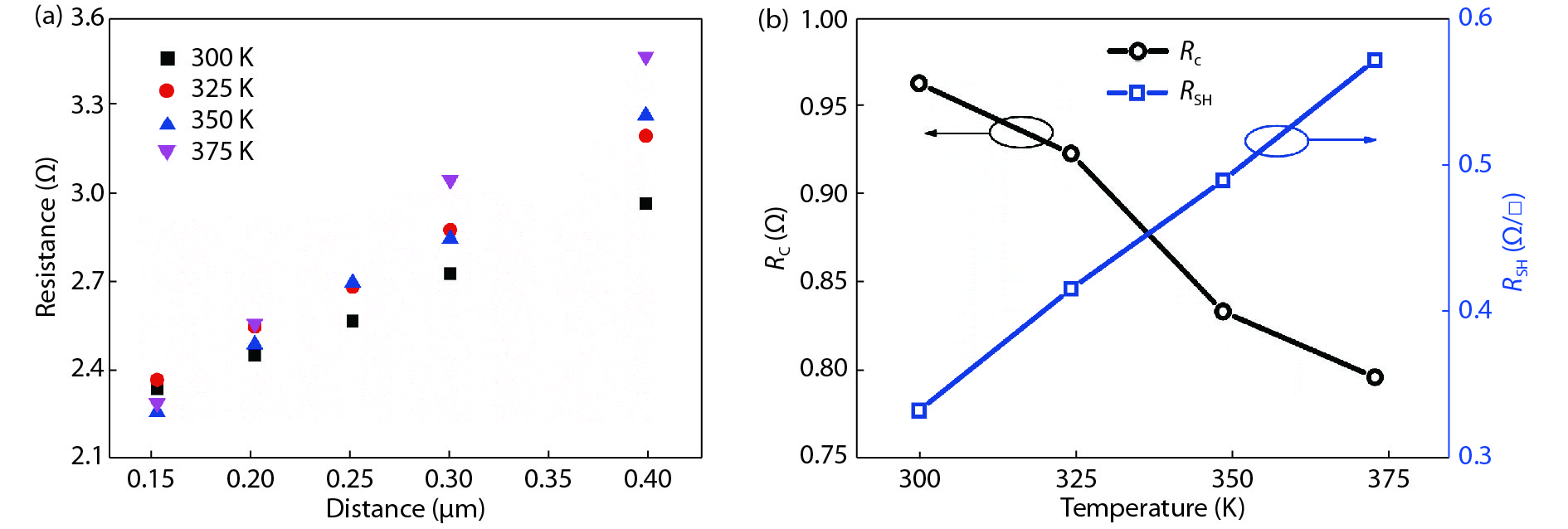
Abstract: The carrier transport mechanism of Mg/Au ohmic contact for lightly doped β-Ga2O3 is investigated. An excellent ohmic contact has been achieved when the sample was annealed at 400 °C and the specific contact resistance is 4.3 × 10?4 Ω·cm2. For the annealed sample, the temperature dependence of specific contact resistance is studied in the range from 300 to 375 K. The specific contact resistance is decreased from 4.3 × 10?4 to 1.59 × 10?4 Ω·cm2 with an increase of test temperature. As combination with the judge of E00, the basic mechanism of current transport is dominant by thermionic emission theory. The effective barrier height between Mg/Au and β-Ga2O3 is evaluated to be 0.1 eV for annealed sample by fitting experimental data with thermionic emission model.
Key words: Mg/Au, beta-gallium oxide, ohmic contact, thermionic emission theory, effective barrier height
| [1] |
Chabak K, Green A, Moser N, et al. Gate-recessed, laterally-scaled beta-Ga2O3 MOSFETs with high-voltage enhancement-mode operation. 75th Annual Device Research Conference, 2017: 2
|
| [2] |
Higashiwaki M, Sasaki K, Kuramata A, et al. Gallium oxide (Ga2O3) metal-semiconductor field-effect transistors on single-crystal β-Ga2O3 (010) substrates. Appl Phys Lett, 2012, 100(1): 013504 doi: 10.1063/1.3674287
|
| [3] |
Higashiwaki M, Sasaki K, Murakami H, et al. Recent progress in Ga2O3 power devices. Semicond Sci Technol. 2016, 31(3): 034001 doi: 10.1088/0268-1242/31/3/034001
|
| [4] |
K Irmscher, Z Galazka, M Pietsch, et al. Electrical properties of β-Ga2O3 single crystals grown by the Czochralski method. J Appl Phys, 2011, 110(6): 063720 doi: 10.1063/1.3642962
|
| [5] |
Z Galazka, R Uecker, K Irmscher, et al. Czochralski growth and characterization of beta- Ga2O3 single crystals. Cryst Res Technol. 2010, 45(12): 1229 doi: 10.1002/crat.v45.12
|
| [6] |
E G Víllora, K Shimamura, Y Yoshikawa, et al. Large-size β-Ga2O3 single crystals and wafers. J Cryst Growth. 2004, 270(3/4): 420
|
| [7] |
N Ueda, H Hosono, R Waseda, et al. Synthesis and control of conductivity of ultraviolet transmitting β-Ga2O3 single crystals. Appl Phys Lett, 1997, 70(26): 3561 doi: 10.1063/1.119233
|
| [8] |
A Kuramata, K Koshi, S Watanabe, et al. High-quality beta-Ga2O3 single crystals grown by edge-defined film-fed growth. Jpn J Appl Phys, 2016, 55(12): 1202A2
|
| [9] |
H. Aida, K. Nishiguchi, H. Takeda, et al. Growth of beta- Ga2O3 single crystals by the edge-defined, film fed growth method. Jpn J Appl Phys, 2008, 47(11): 8506 doi: 10.1143/JJAP.47.8506
|
| [10] |
W Mu, Z Jia, Y Yin, et al. High quality crystal growth and anisotropic physical characterization of beta- Ga2O3 single crystals grown by EFG method. J Alloys Compnds. 2017, 714: 453 doi: 10.1016/j.jallcom.2017.04.185
|
| [11] |
K Sasaki, A Kuramata, T Masui, et al. Device-quality beta- Ga2O3 epitaxial films fabricated by ozone molecular beam epitaxy. Appl Phys Express. 2012, 5(3): 035502 doi: 10.1143/APEX.5.035502
|
| [12] |
E G Víllora, K Shimamura, Y Yoshikawa, et al. Electrical conductivity and carrier concentration control in β-Ga2O3 by Si doping. Appl Phys Lett, 2008, 92(20): 202120 doi: 10.1063/1.2919728
|
| [13] |
K Sasaki, M Higashiwaki, A Kuramata, et al. Si-ion implantation doping in beta-Ga2O3 and its application to fabrication of low-resistance ohmic contacts. Appl Phys Express. 2013, 6(8): 086502 doi: 10.7567/APEX.6.086502
|
| [14] |
P H Carey, J Yang, F Ren, et al. Ohmic contacts on n-type beta- Ga2O3 using AZO/Ti/Au. AIP Adv. 2017, 7(9): 095313 doi: 10.1063/1.4996172
|
| [15] |
P H Carey, Y Jiancheng, R Fan, et al. Improvement of Ohmic contacts on Ga2O3 through use of ITO-interlayers. J Vac Sci Technol B. 2017, 35(6): 061201 doi: 10.1116/1.4995816
|
| [16] |
T V Blank, Y A Goldberg, E A Posse. Flow of the current along metallic shunts in ohmic contacts to wide-gap III-V semiconductors. Semiconductors. 2009, 43(9): 1164 doi: 10.1134/S1063782609090115
|
| [17] |
T Oyamada, H Sasabe, C Adachi. Formation of MgAu alloy cathode by photolithography and its application to organic light-emitting diodes and organic field effect transistors. Electr Eng Jpn. 2005, 152(1): 37-42 doi: 10.1002/(ISSN)1520-6416
|
| [18] |
H Arai, H Nakanotani, K Morimoto, et al. Magnesium-gold binary alloy for organic light-emitting diodes with high corrosion resistance. J Vac Sci Technol B. 2016, 34(4): 040607 doi: 10.1116/1.4952408
|
| [19] |
R Suzuki, S Nakagomi, Y Kokubun, et al. Enhancement of responsivity in solar-blind β-Ga2O3 photodiodes with a Au Schottky contact fabricated on single crystal substrates by annealing. Appl Phys Lett, 2009, 94(22): 222102 doi: 10.1063/1.3147197
|
| [20] |
S Knight, A Mock, R Korlacki, et al. Electron effective mass in Sn-doped monoclinic single crystal beta-gallium oxide determined by mid-infrared optical Hall effect. Appl Phys Lett, 2018, 112(1): 012103 doi: 10.1063/1.5011192
|
| [1] |
Chabak K, Green A, Moser N, et al. Gate-recessed, laterally-scaled beta-Ga2O3 MOSFETs with high-voltage enhancement-mode operation. 75th Annual Device Research Conference, 2017: 2
|
| [2] |
Higashiwaki M, Sasaki K, Kuramata A, et al. Gallium oxide (Ga2O3) metal-semiconductor field-effect transistors on single-crystal β-Ga2O3 (010) substrates. Appl Phys Lett, 2012, 100(1): 013504 doi: 10.1063/1.3674287
|
| [3] |
Higashiwaki M, Sasaki K, Murakami H, et al. Recent progress in Ga2O3 power devices. Semicond Sci Technol. 2016, 31(3): 034001 doi: 10.1088/0268-1242/31/3/034001
|
| [4] |
K Irmscher, Z Galazka, M Pietsch, et al. Electrical properties of β-Ga2O3 single crystals grown by the Czochralski method. J Appl Phys, 2011, 110(6): 063720 doi: 10.1063/1.3642962
|
| [5] |
Z Galazka, R Uecker, K Irmscher, et al. Czochralski growth and characterization of beta- Ga2O3 single crystals. Cryst Res Technol. 2010, 45(12): 1229 doi: 10.1002/crat.v45.12
|
| [6] |
E G Víllora, K Shimamura, Y Yoshikawa, et al. Large-size β-Ga2O3 single crystals and wafers. J Cryst Growth. 2004, 270(3/4): 420
|
| [7] |
N Ueda, H Hosono, R Waseda, et al. Synthesis and control of conductivity of ultraviolet transmitting β-Ga2O3 single crystals. Appl Phys Lett, 1997, 70(26): 3561 doi: 10.1063/1.119233
|
| [8] |
A Kuramata, K Koshi, S Watanabe, et al. High-quality beta-Ga2O3 single crystals grown by edge-defined film-fed growth. Jpn J Appl Phys, 2016, 55(12): 1202A2
|
| [9] |
H. Aida, K. Nishiguchi, H. Takeda, et al. Growth of beta- Ga2O3 single crystals by the edge-defined, film fed growth method. Jpn J Appl Phys, 2008, 47(11): 8506 doi: 10.1143/JJAP.47.8506
|
| [10] |
W Mu, Z Jia, Y Yin, et al. High quality crystal growth and anisotropic physical characterization of beta- Ga2O3 single crystals grown by EFG method. J Alloys Compnds. 2017, 714: 453 doi: 10.1016/j.jallcom.2017.04.185
|
| [11] |
K Sasaki, A Kuramata, T Masui, et al. Device-quality beta- Ga2O3 epitaxial films fabricated by ozone molecular beam epitaxy. Appl Phys Express. 2012, 5(3): 035502 doi: 10.1143/APEX.5.035502
|
| [12] |
E G Víllora, K Shimamura, Y Yoshikawa, et al. Electrical conductivity and carrier concentration control in β-Ga2O3 by Si doping. Appl Phys Lett, 2008, 92(20): 202120 doi: 10.1063/1.2919728
|
| [13] |
K Sasaki, M Higashiwaki, A Kuramata, et al. Si-ion implantation doping in beta-Ga2O3 and its application to fabrication of low-resistance ohmic contacts. Appl Phys Express. 2013, 6(8): 086502 doi: 10.7567/APEX.6.086502
|
| [14] |
P H Carey, J Yang, F Ren, et al. Ohmic contacts on n-type beta- Ga2O3 using AZO/Ti/Au. AIP Adv. 2017, 7(9): 095313 doi: 10.1063/1.4996172
|
| [15] |
P H Carey, Y Jiancheng, R Fan, et al. Improvement of Ohmic contacts on Ga2O3 through use of ITO-interlayers. J Vac Sci Technol B. 2017, 35(6): 061201 doi: 10.1116/1.4995816
|
| [16] |
T V Blank, Y A Goldberg, E A Posse. Flow of the current along metallic shunts in ohmic contacts to wide-gap III-V semiconductors. Semiconductors. 2009, 43(9): 1164 doi: 10.1134/S1063782609090115
|
| [17] |
T Oyamada, H Sasabe, C Adachi. Formation of MgAu alloy cathode by photolithography and its application to organic light-emitting diodes and organic field effect transistors. Electr Eng Jpn. 2005, 152(1): 37-42 doi: 10.1002/(ISSN)1520-6416
|
| [18] |
H Arai, H Nakanotani, K Morimoto, et al. Magnesium-gold binary alloy for organic light-emitting diodes with high corrosion resistance. J Vac Sci Technol B. 2016, 34(4): 040607 doi: 10.1116/1.4952408
|
| [19] |
R Suzuki, S Nakagomi, Y Kokubun, et al. Enhancement of responsivity in solar-blind β-Ga2O3 photodiodes with a Au Schottky contact fabricated on single crystal substrates by annealing. Appl Phys Lett, 2009, 94(22): 222102 doi: 10.1063/1.3147197
|
| [20] |
S Knight, A Mock, R Korlacki, et al. Electron effective mass in Sn-doped monoclinic single crystal beta-gallium oxide determined by mid-infrared optical Hall effect. Appl Phys Lett, 2018, 112(1): 012103 doi: 10.1063/1.5011192
|
Article views: 4999 Times PDF downloads: 274 Times Cited by: 0 Times
Received: 03 August 2018 Revised: 05 October 2018 Online: Accepted Manuscript: 10 December 2018Uncorrected proof: 12 December 2018Published: 07 January 2019
| Citation: |
Jianjun Shi, Xiaochuan Xia, Qasim Abbas, Jun Liu, Heqiu Zhang, Yang Liu, Hongwei Liang. Current transport mechanism of Mg/Au ohmic contacts to lightly doped n-type β-Ga2O3[J]. Journal of Semiconductors, 2019, 40(1): 012805. doi: 10.1088/1674-4926/40/1/012805
****
J J Shi, X C Xia, Q Abbas, J Liu, H Q Zhang, Y Liu, H W Liang, Current transport mechanism of Mg/Au ohmic contacts to lightly doped n-type β-Ga2O3[J]. J. Semicond., 2019, 40(1): 012805. doi: 10.1088/1674-4926/40/1/012805.
|
| [1] |
Chabak K, Green A, Moser N, et al. Gate-recessed, laterally-scaled beta-Ga2O3 MOSFETs with high-voltage enhancement-mode operation. 75th Annual Device Research Conference, 2017: 2
|
| [2] |
Higashiwaki M, Sasaki K, Kuramata A, et al. Gallium oxide (Ga2O3) metal-semiconductor field-effect transistors on single-crystal β-Ga2O3 (010) substrates. Appl Phys Lett, 2012, 100(1): 013504 doi: 10.1063/1.3674287
|
| [3] |
Higashiwaki M, Sasaki K, Murakami H, et al. Recent progress in Ga2O3 power devices. Semicond Sci Technol. 2016, 31(3): 034001 doi: 10.1088/0268-1242/31/3/034001
|
| [4] |
K Irmscher, Z Galazka, M Pietsch, et al. Electrical properties of β-Ga2O3 single crystals grown by the Czochralski method. J Appl Phys, 2011, 110(6): 063720 doi: 10.1063/1.3642962
|
| [5] |
Z Galazka, R Uecker, K Irmscher, et al. Czochralski growth and characterization of beta- Ga2O3 single crystals. Cryst Res Technol. 2010, 45(12): 1229 doi: 10.1002/crat.v45.12
|
| [6] |
E G Víllora, K Shimamura, Y Yoshikawa, et al. Large-size β-Ga2O3 single crystals and wafers. J Cryst Growth. 2004, 270(3/4): 420
|
| [7] |
N Ueda, H Hosono, R Waseda, et al. Synthesis and control of conductivity of ultraviolet transmitting β-Ga2O3 single crystals. Appl Phys Lett, 1997, 70(26): 3561 doi: 10.1063/1.119233
|
| [8] |
A Kuramata, K Koshi, S Watanabe, et al. High-quality beta-Ga2O3 single crystals grown by edge-defined film-fed growth. Jpn J Appl Phys, 2016, 55(12): 1202A2
|
| [9] |
H. Aida, K. Nishiguchi, H. Takeda, et al. Growth of beta- Ga2O3 single crystals by the edge-defined, film fed growth method. Jpn J Appl Phys, 2008, 47(11): 8506 doi: 10.1143/JJAP.47.8506
|
| [10] |
W Mu, Z Jia, Y Yin, et al. High quality crystal growth and anisotropic physical characterization of beta- Ga2O3 single crystals grown by EFG method. J Alloys Compnds. 2017, 714: 453 doi: 10.1016/j.jallcom.2017.04.185
|
| [11] |
K Sasaki, A Kuramata, T Masui, et al. Device-quality beta- Ga2O3 epitaxial films fabricated by ozone molecular beam epitaxy. Appl Phys Express. 2012, 5(3): 035502 doi: 10.1143/APEX.5.035502
|
| [12] |
E G Víllora, K Shimamura, Y Yoshikawa, et al. Electrical conductivity and carrier concentration control in β-Ga2O3 by Si doping. Appl Phys Lett, 2008, 92(20): 202120 doi: 10.1063/1.2919728
|
| [13] |
K Sasaki, M Higashiwaki, A Kuramata, et al. Si-ion implantation doping in beta-Ga2O3 and its application to fabrication of low-resistance ohmic contacts. Appl Phys Express. 2013, 6(8): 086502 doi: 10.7567/APEX.6.086502
|
| [14] |
P H Carey, J Yang, F Ren, et al. Ohmic contacts on n-type beta- Ga2O3 using AZO/Ti/Au. AIP Adv. 2017, 7(9): 095313 doi: 10.1063/1.4996172
|
| [15] |
P H Carey, Y Jiancheng, R Fan, et al. Improvement of Ohmic contacts on Ga2O3 through use of ITO-interlayers. J Vac Sci Technol B. 2017, 35(6): 061201 doi: 10.1116/1.4995816
|
| [16] |
T V Blank, Y A Goldberg, E A Posse. Flow of the current along metallic shunts in ohmic contacts to wide-gap III-V semiconductors. Semiconductors. 2009, 43(9): 1164 doi: 10.1134/S1063782609090115
|
| [17] |
T Oyamada, H Sasabe, C Adachi. Formation of MgAu alloy cathode by photolithography and its application to organic light-emitting diodes and organic field effect transistors. Electr Eng Jpn. 2005, 152(1): 37-42 doi: 10.1002/(ISSN)1520-6416
|
| [18] |
H Arai, H Nakanotani, K Morimoto, et al. Magnesium-gold binary alloy for organic light-emitting diodes with high corrosion resistance. J Vac Sci Technol B. 2016, 34(4): 040607 doi: 10.1116/1.4952408
|
| [19] |
R Suzuki, S Nakagomi, Y Kokubun, et al. Enhancement of responsivity in solar-blind β-Ga2O3 photodiodes with a Au Schottky contact fabricated on single crystal substrates by annealing. Appl Phys Lett, 2009, 94(22): 222102 doi: 10.1063/1.3147197
|
| [20] |
S Knight, A Mock, R Korlacki, et al. Electron effective mass in Sn-doped monoclinic single crystal beta-gallium oxide determined by mid-infrared optical Hall effect. Appl Phys Lett, 2018, 112(1): 012103 doi: 10.1063/1.5011192
|
Journal of Semiconductors © 2017 All Rights Reserved 京ICP備05085259號(hào)-2