SEMICONDUCTOR INTEGRATED CIRCUITS
Jing Leng1, Yangyang Lu1, Yunwu Zhang1, 2, Huan Xu1, Kongsheng Hu1, Zhicheng Yu1, Weifeng Sun1, and Jing Zhu1
Corresponding author: Weifeng Sun, Email: swffrog@seu.edu.cn
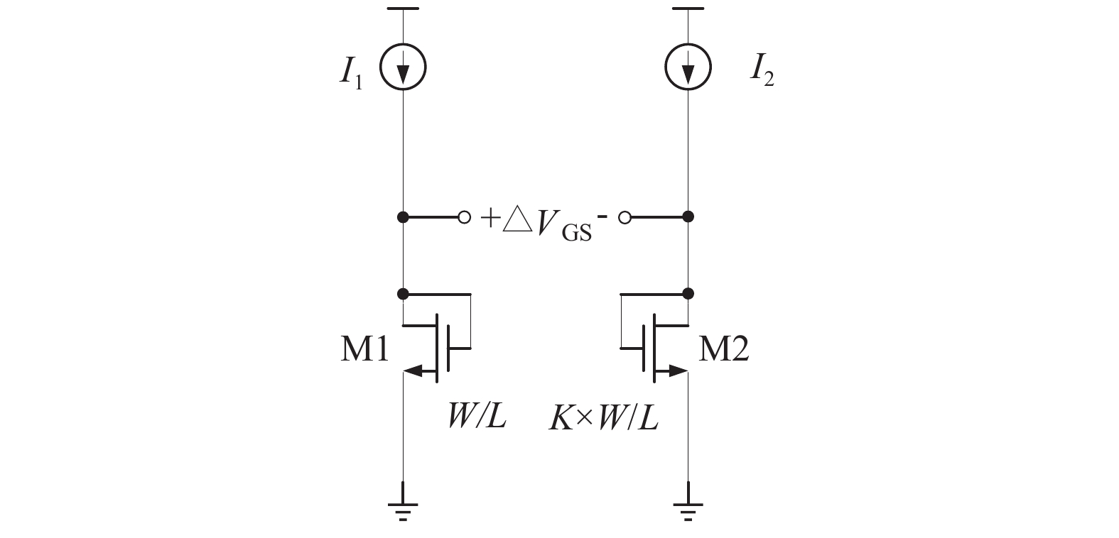
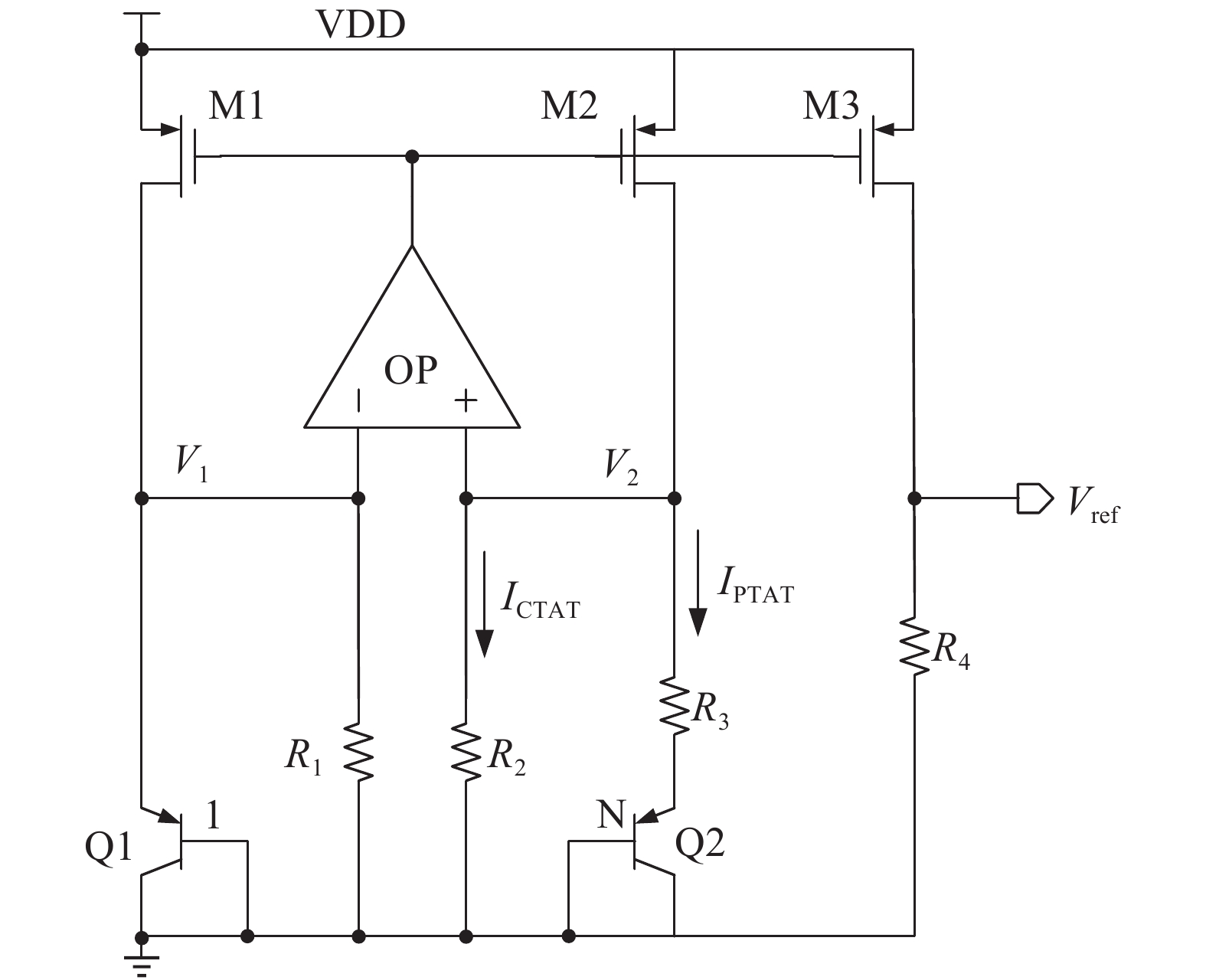
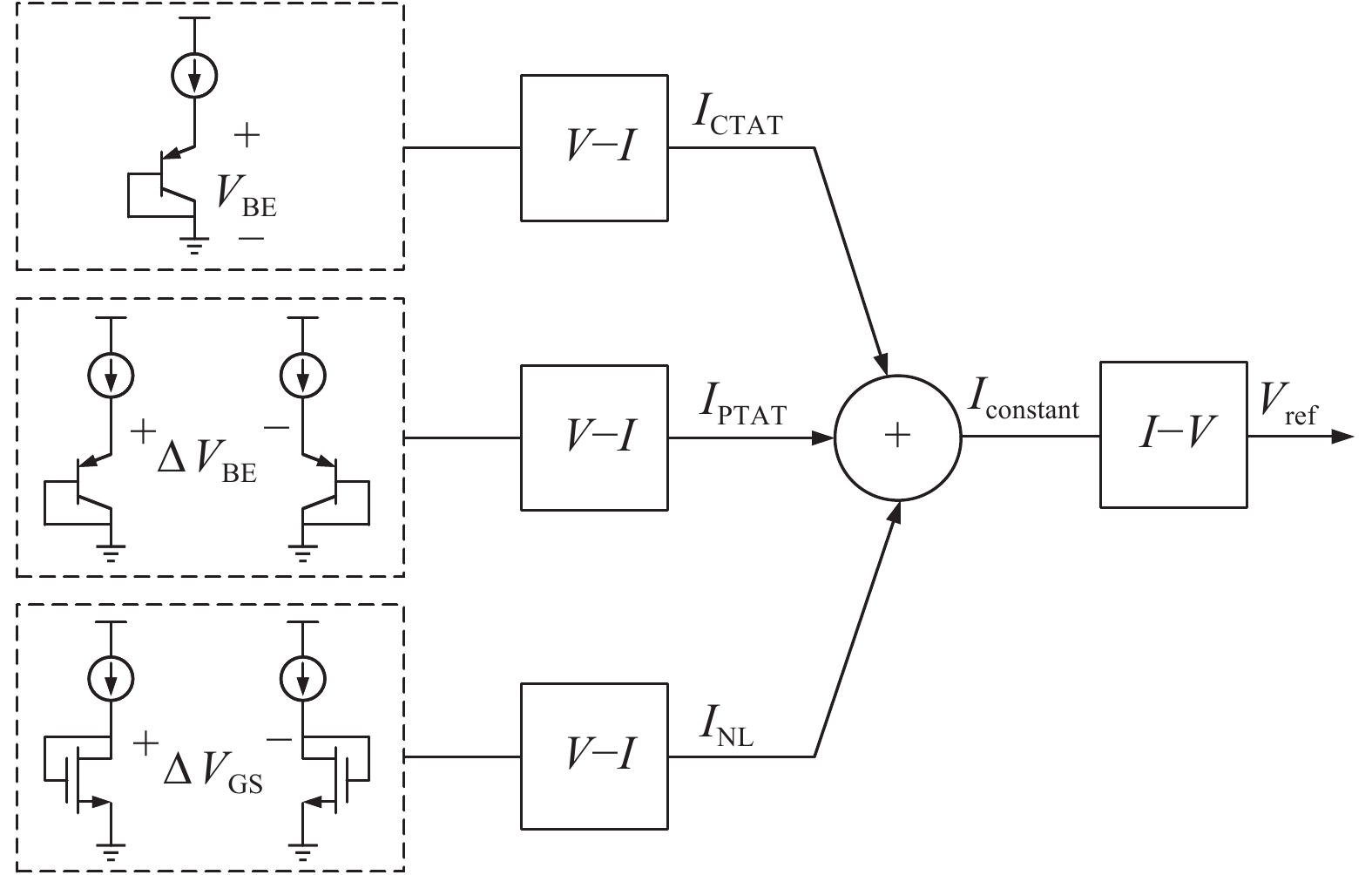
Abstract: A high-order curvature-compensated CMOS bandgap reference (BGR) topology with a low temperature coefficient (TC) over a wide temperature range and a high power supply reject ratio (PSRR) is presented. High-order correction is realized by incorporating a nonlinear current INL, which is generated by ?VGS across resistor into current generated by a conventional first-order current-mode BGR circuit. In order to achieve a high PSRR over a broad frequency range, a voltage pre-regulating technique is applied. The circuit was implemented in CSMC 0.5 μm 600 V BCD process. The experimental results indicate that the proposed topology achieves TC of 0.19 ppm/°C over the temperature range of 165 °C (?40 to 125 °C), PSRR of ?123 dB @ DC and ?56 dB @ 100 kHz. In addition, it achieves a line regulation performance of 0.017%/V in the supply range of 2.8–20 V.
Key words: bandgap reference (BGR), temperature coefficient (TC), power supply rejection ratio (PSRR)
| [1] |
Song B S, Gray P R. A precision curvature-compensated CMOS bandgap reference. IEEE J Solid-State Circuits, 1983, 18(6): 634 doi: 10.1109/JSSC.1983.1052013
|
| [2] |
Vogler B, Rosberg M, Herzer R. A fully integrated 600 V SOI half bridge IGBT gate driver IC. 51th IWK, Internationales Wissenschaftliches Kolloquium, 2006
|
| [3] |
Rincon-Mora G, Allen P E. A 1.1-V current-mode and piecewise-linear curvature-corrected bandgap reference. IEEE J Solid-State Circuits, 1998, 33(10): 1551 doi: 10.1109/4.720402
|
| [4] |
Huang Y, Cheung C, Najafizadeh L. A multi-piecewise curvature-corrected technique for bandgap reference circuits. 2013 IEEE 56th International Midwest Symposium on Circuits and Systems (MWSCAS), 2013: 305
|
| [5] |
Wang R, Lu W, Zhao M, et al. A 2.1-ppm/°C current-mode CMOS bandgap reference with piecewise curvature compensation. 2017 IEEE International Symposium on Circuits and Systems (ISCAS), 2017: 1
|
| [6] |
Abbasi M U, Raikos G, Saraswat R, et al. A high PSRR, ultra-low power 1.2 V curvature corrected bandgap reference for wearable EEG application. 2015 IEEE 13th International New Circuits and Systems Conference (NEWCAS), Grenoble, 2015: 1
|
| [7] |
Leung K N, Mok P K T, Leung C Y. A 2-V 23-μA 5.3-ppm/°C curvature-compensated CMOS bandgap voltage reference. IEEE J Solid-State Circuits, 2003, 38(3): 561 doi: 10.1109/JSSC.2002.808328
|
| [8] |
Zhou Z K, Yue S, Zhi H, et al. A 1.6-V 25-μA 5-ppm/°C curvature-compensated bandgap reference. IEEE Trans Circuits Syst I, 2012, 59(4): 677 doi: 10.1109/TCSI.2011.2169732
|
| [9] |
Tsividis Y P. Accurate analysis of temperature effects in IC–VBE characteristics with application to bandgap reference sources. IEEE J Solid-State Circuits, 1980, 15(6): 1076 doi: 10.1109/JSSC.1980.1051519
|
| [10] |
Palumbo G. Voltage references: from diodes to precision high-order bandgap circuits. IEEE Circuits Devices Mag, 2002, 18(5): 45 doi: 10.1109/MCD.2002.1035357
|
| [11] |
Ji Y, Jeon C, Son H, et al. 5.8 A 9.3 nW all-in-one bandgap voltage and current reference circuit. IEEE International Solid-State Circuits Conference (ISSCC), 2017: 100
|
| [12] |
Osaki Y, Hirose T, Kuroki N et al. 1.2-V supply, 100-nW, 1.09-V bandgap and 0.7-V supply, 52.5-nW, 0.55-V subbandgap reference circuits for nanowatt CMOLSIs S. IEEE J Solid-State Circuits, 2013, 48(6): 1530 doi: 10.1109/JSSC.2013.2252523
|
| [13] |
Wang B, Law M K, Bermak A. A precision CMOS voltage reference exploiting silicon bandgap narrowing effect. IEEE Trans Electron Devices, 2015, 62(7): 2128 doi: 10.1109/TED.2015.2434495
|
| [14] |
Lin C, Chen H, Xu W, et al. A novel high-precision bandgap reference with differential common-gate structure. IEEE 9th International Conference on Anti-counterfeiting, Security, and Identification (ASID), Xiamen, 2015: 47
|
| [15] |
Duan Q, Roh J. A 1.2-V 4.2-ppm/°C high-order curvature-compensated CMOS bandgap reference. IEEE Trans Circuits Syst I, 2015, 62(3): 662 doi: 10.1109/TCSI.2014.2374832
|
| [16] |
Chen H M, Lee C C, Jheng S H, et al. A sub-1 ppm/°C precision bandgap reference with adjusted-temperature-curvature compensation. IEEE Trans Circuits Syst I, 2017, 64(6): 1308 doi: 10.1109/TCSI.2017.2658186
|
| [17] |
Ma B, Yu F. A novel 1.2-V 4.5-ppm/°C curvature-compensated CMOS bandgap reference. IEEE Trans Circuits Syst I, 2014, 61(4): 1026 doi: 10.1109/TCSI.2013.2286032
|
| [18] |
Ming X, Ma Y Q, Zhou Z K, et al. A high-precision compensated CMOS bandgap voltage reference without resistors. IEEE Trans Circuits Syst II, 2010, 57(10): 767 doi: 10.1109/TCSII.2010.2067770
|
| [19] |
Lv J, Wei L, Ang S S. A new curvature-compensated, high-PSRR CMOS bandgap reference. Analog Integrated Circuits and Signal Processing, 2015, 82(3): 675 doi: 10.1007/s10470-015-0494-2
|
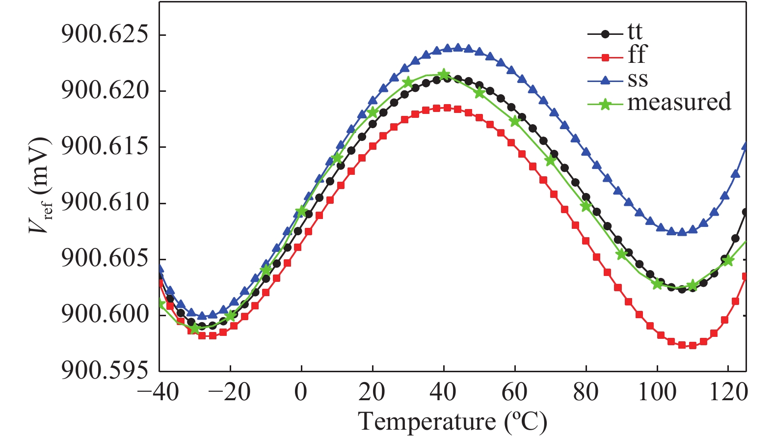
Table 1. Performance at transistor corners.
| Parameter | tt | ff | ss |
| TC (ppm/°C) | 0.147 | 0.144 | 0.159 |
| PSRR (dB) @ DC | ?125.10 | ?123.24 | ?116.85 |
| PSRR (dB) @ 100 kHz | ?57.44 | ?59.75 | ?50.63 |
DownLoad: CSV
Table 2. Comparison with other published results.
| Parameter | Ref. [11] | Ref. [12] | Ref. [13] | Ref. [14] | Ref. [15] | Ref. [16] | Ref. [17] | Ref. [18] | Ref. [19] | This work |
| Supply voltage (V) | 1.3–1.8 | 1.2–1.8 | 1.3–2.6 | 1.8–3.5 | 1.2 | 1.3–1.8 | 1.2 | 3.6 | 5 | 5 |
| Ref. voltage (V) | 1.238 | 1.09 | 1.1402 | 1.25 | 0.735 | 0.547 | 0.767 | 1.23 | 1.2937 | 0.9006 |
| Temp. range (°C) | 0–110 | ?40 to 120 | ?55 to 125 | ?20 to 80 | ?40 to 120 | ?40 to 140 | ?40 to 120 | ?40 to 130 | ?40 to 125 | ?40 to 125 |
| Measured TC (ppm/°C) | 26 | 147 | 4.1 | 5.5 | 4.2 | 1.67 | 3.4~6.9 | 11.8 | 4.1 | 0.19 |
| Line regulation (%/V) | 0.08 | N/A | 0.03 | 0.045 | N/A | 0.08 | 0.054 | N/A | 0.0137 | 0.017 |
| PSRR (dB) | ?46@
100 kHz |
?62@
100 kHz |
?54@
100 kHz |
N/A | ?30@
100 kHz |
N/A | ?40@
100 kHz |
?31.8@
10 Hz |
?81.72@
DC |
?56@
100 kHz, –123@DC |
| Technology | 0.18 μm
CMOS |
0.18 μm
CMOS |
0.18 μm
CMOS |
0.18 μm
CMOS |
0.13 μm
CMOS |
0.18 μm
CMOS |
0.18 μm
CMOS |
0.5 μm
CMOS |
0.5 μm
CMOS |
0.5 μm
CMOS |
DownLoad: CSV
| [1] |
Song B S, Gray P R. A precision curvature-compensated CMOS bandgap reference. IEEE J Solid-State Circuits, 1983, 18(6): 634 doi: 10.1109/JSSC.1983.1052013
|
| [2] |
Vogler B, Rosberg M, Herzer R. A fully integrated 600 V SOI half bridge IGBT gate driver IC. 51th IWK, Internationales Wissenschaftliches Kolloquium, 2006
|
| [3] |
Rincon-Mora G, Allen P E. A 1.1-V current-mode and piecewise-linear curvature-corrected bandgap reference. IEEE J Solid-State Circuits, 1998, 33(10): 1551 doi: 10.1109/4.720402
|
| [4] |
Huang Y, Cheung C, Najafizadeh L. A multi-piecewise curvature-corrected technique for bandgap reference circuits. 2013 IEEE 56th International Midwest Symposium on Circuits and Systems (MWSCAS), 2013: 305
|
| [5] |
Wang R, Lu W, Zhao M, et al. A 2.1-ppm/°C current-mode CMOS bandgap reference with piecewise curvature compensation. 2017 IEEE International Symposium on Circuits and Systems (ISCAS), 2017: 1
|
| [6] |
Abbasi M U, Raikos G, Saraswat R, et al. A high PSRR, ultra-low power 1.2 V curvature corrected bandgap reference for wearable EEG application. 2015 IEEE 13th International New Circuits and Systems Conference (NEWCAS), Grenoble, 2015: 1
|
| [7] |
Leung K N, Mok P K T, Leung C Y. A 2-V 23-μA 5.3-ppm/°C curvature-compensated CMOS bandgap voltage reference. IEEE J Solid-State Circuits, 2003, 38(3): 561 doi: 10.1109/JSSC.2002.808328
|
| [8] |
Zhou Z K, Yue S, Zhi H, et al. A 1.6-V 25-μA 5-ppm/°C curvature-compensated bandgap reference. IEEE Trans Circuits Syst I, 2012, 59(4): 677 doi: 10.1109/TCSI.2011.2169732
|
| [9] |
Tsividis Y P. Accurate analysis of temperature effects in IC–VBE characteristics with application to bandgap reference sources. IEEE J Solid-State Circuits, 1980, 15(6): 1076 doi: 10.1109/JSSC.1980.1051519
|
| [10] |
Palumbo G. Voltage references: from diodes to precision high-order bandgap circuits. IEEE Circuits Devices Mag, 2002, 18(5): 45 doi: 10.1109/MCD.2002.1035357
|
| [11] |
Ji Y, Jeon C, Son H, et al. 5.8 A 9.3 nW all-in-one bandgap voltage and current reference circuit. IEEE International Solid-State Circuits Conference (ISSCC), 2017: 100
|
| [12] |
Osaki Y, Hirose T, Kuroki N et al. 1.2-V supply, 100-nW, 1.09-V bandgap and 0.7-V supply, 52.5-nW, 0.55-V subbandgap reference circuits for nanowatt CMOLSIs S. IEEE J Solid-State Circuits, 2013, 48(6): 1530 doi: 10.1109/JSSC.2013.2252523
|
| [13] |
Wang B, Law M K, Bermak A. A precision CMOS voltage reference exploiting silicon bandgap narrowing effect. IEEE Trans Electron Devices, 2015, 62(7): 2128 doi: 10.1109/TED.2015.2434495
|
| [14] |
Lin C, Chen H, Xu W, et al. A novel high-precision bandgap reference with differential common-gate structure. IEEE 9th International Conference on Anti-counterfeiting, Security, and Identification (ASID), Xiamen, 2015: 47
|
| [15] |
Duan Q, Roh J. A 1.2-V 4.2-ppm/°C high-order curvature-compensated CMOS bandgap reference. IEEE Trans Circuits Syst I, 2015, 62(3): 662 doi: 10.1109/TCSI.2014.2374832
|
| [16] |
Chen H M, Lee C C, Jheng S H, et al. A sub-1 ppm/°C precision bandgap reference with adjusted-temperature-curvature compensation. IEEE Trans Circuits Syst I, 2017, 64(6): 1308 doi: 10.1109/TCSI.2017.2658186
|
| [17] |
Ma B, Yu F. A novel 1.2-V 4.5-ppm/°C curvature-compensated CMOS bandgap reference. IEEE Trans Circuits Syst I, 2014, 61(4): 1026 doi: 10.1109/TCSI.2013.2286032
|
| [18] |
Ming X, Ma Y Q, Zhou Z K, et al. A high-precision compensated CMOS bandgap voltage reference without resistors. IEEE Trans Circuits Syst II, 2010, 57(10): 767 doi: 10.1109/TCSII.2010.2067770
|
| [19] |
Lv J, Wei L, Ang S S. A new curvature-compensated, high-PSRR CMOS bandgap reference. Analog Integrated Circuits and Signal Processing, 2015, 82(3): 675 doi: 10.1007/s10470-015-0494-2
|
Article views: 9510 Times PDF downloads: 571 Times Cited by: 0 Times
Received: 12 January 2018 Revised: 01 March 2018 Online: Accepted Manuscript: 23 April 2018Uncorrected proof: 25 April 2018Published: 01 September 2018
| Citation: |
Jing Leng, Yangyang Lu, Yunwu Zhang, Huan Xu, Kongsheng Hu, Zhicheng Yu, Weifeng Sun, Jing Zhu. A 0.19 ppm/°C bandgap reference circuit with high-PSRR[J]. Journal of Semiconductors, 2018, 39(9): 095002. doi: 10.1088/1674-4926/39/9/095002
****
J Leng, Y Y Lu, Y W Zhang, H Xu, K S Hu, Z C Yu, W F Sun, J Zhu, A 0.19 ppm/°C bandgap reference circuit with high-PSRR[J]. J. Semicond., 2018, 39(9): 095002. doi: 10.1088/1674-4926/39/9/095002.
|
Project supported by the National Natural Science Foundation of China (Nos. BK20150627, 61674030), the Natural Science Foundation of Jiangsu Province (No. 61504025), and the National Key research and Development Plan (No. 2017YFB0402900).
| [1] |
Song B S, Gray P R. A precision curvature-compensated CMOS bandgap reference. IEEE J Solid-State Circuits, 1983, 18(6): 634 doi: 10.1109/JSSC.1983.1052013
|
| [2] |
Vogler B, Rosberg M, Herzer R. A fully integrated 600 V SOI half bridge IGBT gate driver IC. 51th IWK, Internationales Wissenschaftliches Kolloquium, 2006
|
| [3] |
Rincon-Mora G, Allen P E. A 1.1-V current-mode and piecewise-linear curvature-corrected bandgap reference. IEEE J Solid-State Circuits, 1998, 33(10): 1551 doi: 10.1109/4.720402
|
| [4] |
Huang Y, Cheung C, Najafizadeh L. A multi-piecewise curvature-corrected technique for bandgap reference circuits. 2013 IEEE 56th International Midwest Symposium on Circuits and Systems (MWSCAS), 2013: 305
|
| [5] |
Wang R, Lu W, Zhao M, et al. A 2.1-ppm/°C current-mode CMOS bandgap reference with piecewise curvature compensation. 2017 IEEE International Symposium on Circuits and Systems (ISCAS), 2017: 1
|
| [6] |
Abbasi M U, Raikos G, Saraswat R, et al. A high PSRR, ultra-low power 1.2 V curvature corrected bandgap reference for wearable EEG application. 2015 IEEE 13th International New Circuits and Systems Conference (NEWCAS), Grenoble, 2015: 1
|
| [7] |
Leung K N, Mok P K T, Leung C Y. A 2-V 23-μA 5.3-ppm/°C curvature-compensated CMOS bandgap voltage reference. IEEE J Solid-State Circuits, 2003, 38(3): 561 doi: 10.1109/JSSC.2002.808328
|
| [8] |
Zhou Z K, Yue S, Zhi H, et al. A 1.6-V 25-μA 5-ppm/°C curvature-compensated bandgap reference. IEEE Trans Circuits Syst I, 2012, 59(4): 677 doi: 10.1109/TCSI.2011.2169732
|
| [9] |
Tsividis Y P. Accurate analysis of temperature effects in IC–VBE characteristics with application to bandgap reference sources. IEEE J Solid-State Circuits, 1980, 15(6): 1076 doi: 10.1109/JSSC.1980.1051519
|
| [10] |
Palumbo G. Voltage references: from diodes to precision high-order bandgap circuits. IEEE Circuits Devices Mag, 2002, 18(5): 45 doi: 10.1109/MCD.2002.1035357
|
| [11] |
Ji Y, Jeon C, Son H, et al. 5.8 A 9.3 nW all-in-one bandgap voltage and current reference circuit. IEEE International Solid-State Circuits Conference (ISSCC), 2017: 100
|
| [12] |
Osaki Y, Hirose T, Kuroki N et al. 1.2-V supply, 100-nW, 1.09-V bandgap and 0.7-V supply, 52.5-nW, 0.55-V subbandgap reference circuits for nanowatt CMOLSIs S. IEEE J Solid-State Circuits, 2013, 48(6): 1530 doi: 10.1109/JSSC.2013.2252523
|
| [13] |
Wang B, Law M K, Bermak A. A precision CMOS voltage reference exploiting silicon bandgap narrowing effect. IEEE Trans Electron Devices, 2015, 62(7): 2128 doi: 10.1109/TED.2015.2434495
|
| [14] |
Lin C, Chen H, Xu W, et al. A novel high-precision bandgap reference with differential common-gate structure. IEEE 9th International Conference on Anti-counterfeiting, Security, and Identification (ASID), Xiamen, 2015: 47
|
| [15] |
Duan Q, Roh J. A 1.2-V 4.2-ppm/°C high-order curvature-compensated CMOS bandgap reference. IEEE Trans Circuits Syst I, 2015, 62(3): 662 doi: 10.1109/TCSI.2014.2374832
|
| [16] |
Chen H M, Lee C C, Jheng S H, et al. A sub-1 ppm/°C precision bandgap reference with adjusted-temperature-curvature compensation. IEEE Trans Circuits Syst I, 2017, 64(6): 1308 doi: 10.1109/TCSI.2017.2658186
|
| [17] |
Ma B, Yu F. A novel 1.2-V 4.5-ppm/°C curvature-compensated CMOS bandgap reference. IEEE Trans Circuits Syst I, 2014, 61(4): 1026 doi: 10.1109/TCSI.2013.2286032
|
| [18] |
Ming X, Ma Y Q, Zhou Z K, et al. A high-precision compensated CMOS bandgap voltage reference without resistors. IEEE Trans Circuits Syst II, 2010, 57(10): 767 doi: 10.1109/TCSII.2010.2067770
|
| [19] |
Lv J, Wei L, Ang S S. A new curvature-compensated, high-PSRR CMOS bandgap reference. Analog Integrated Circuits and Signal Processing, 2015, 82(3): 675 doi: 10.1007/s10470-015-0494-2
|
Journal of Semiconductors © 2017 All Rights Reserved 京ICP備05085259號-2