SEMICONDUCTOR INTEGRATED CIRCUITS
Jingrui Chai, Gang Dong, Zheng Mei and Weijun Zhu
Corresponding author: Gang Dong, gdong@xidian.edu.cn
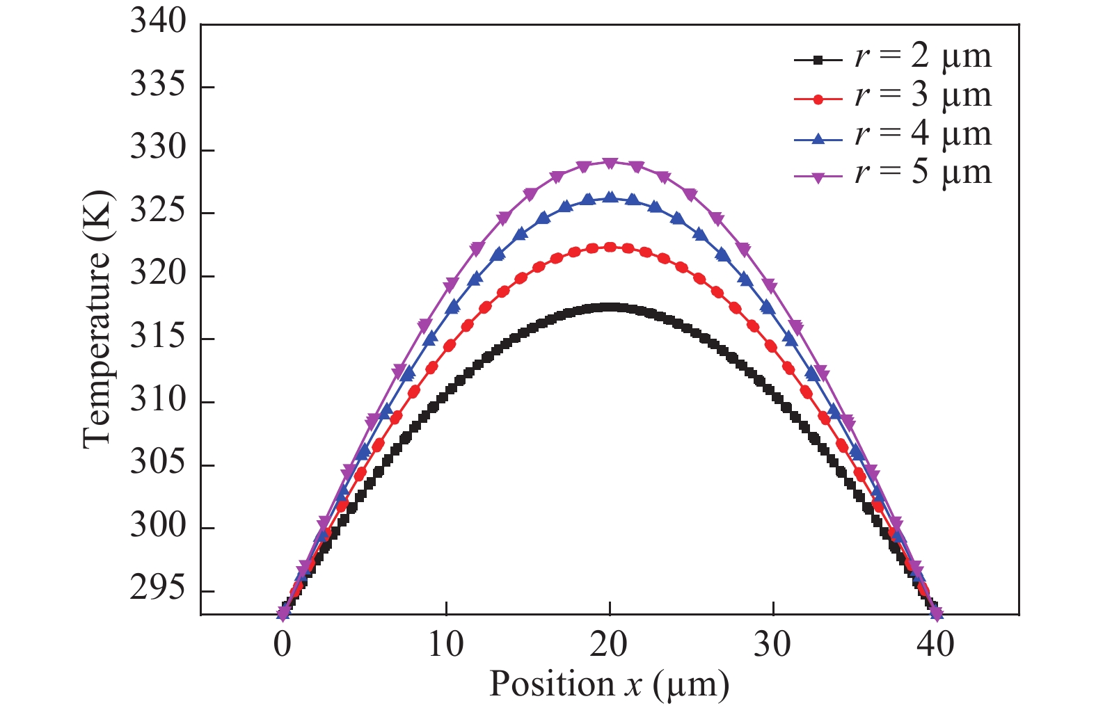
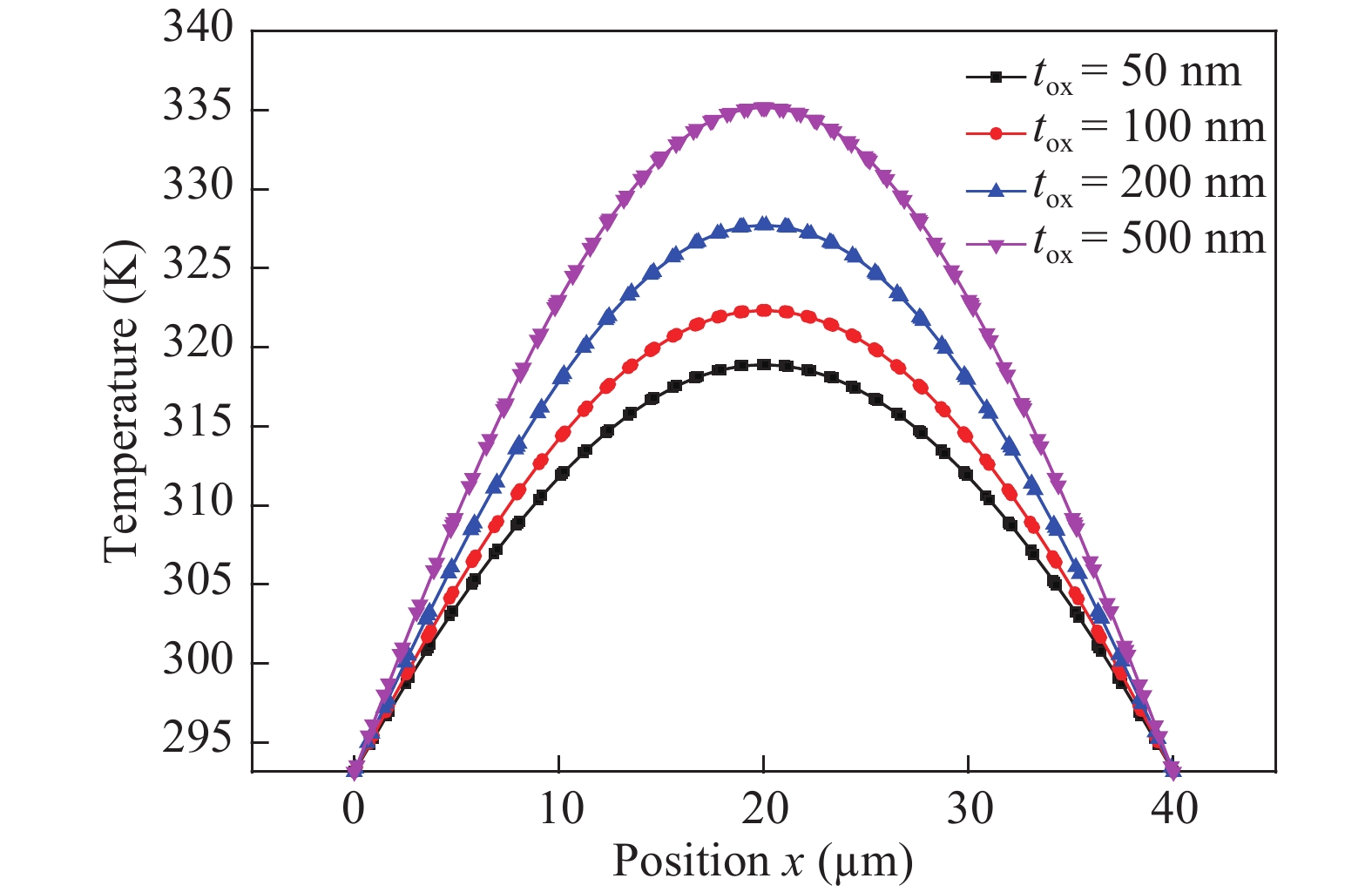
Abstract: This paper presents a blended analytical electrical–thermal model for steady state thermal analysis of through-silicon-via (TSV) in three-dimensional (3D) integrated circuits. The proposed analytical model is validated by the commercial FEM tool—COMSOL. The comparison between the results of the proposed analytical formulas and COMSOL shows that the proposed formulas have very high accuracy with a maximum error of 0.1%. Based on the analytical model, the temperature performance of TSV is studied. Design guide lines of TSV are also given as: (1) the radius of the TSV increases, the resistance decreases and the temperature can be increased; (2) the thicker the dielectric layer, the higher the temperature; (3) compared with carbon nanotube, the Cu enlarges the temperature by 34 K, and the W case enlarges the temperature by 41 K.
Key words: through-silicon-via (TSV), electrical-thermal coupling, temperature, iterative
| [1] |
Motoyoshi M. Through-silicon via (TSV). Proc IEEE, 2009, 97: 43 doi: 10.1109/JPROC.2008.2007462
|
| [2] |
Judes M A, Lee K, Solveson M G, et al. A coupled thermal and electrical time-domain soft starter system model. Conference Record of the 2005 Industry Applications Conference. 2005, 4: 2607
|
| [3] |
Jain A, Jones R E, Chatterjee R, et al. Analytical and numerical modeling of the thermal performance of three-dimensional integrated circuits. IEEE Trans Compon Pack Technol, 2010, 33: 56 doi: 10.1109/TCAPT.2009.2020916
|
| [4] |
Qian L B, Xia Y S, Shi G. Electrical modeling and analysis of a mixed carbon nanotube based differential through silicon via in 3-D integration. IEEE Trans Nanotechnol, 2016, 15: 2 doi: 10.1109/TNANO.2015.2493543
|
| [5] |
Liu X X, Zhu Z M, Yang Y T, et al. Electrical modeling and analysis of differential dielectric-cavity through-silicon via array. IEEE Microwave Wireless Compon Lett, 2017, 27: 7 doi: 10.1109/LMWC.2016.2630842
|
| [6] |
Kannan K, Kannan S. TSV electrical and mechanical modeling for thermol-mechanical delamination. IEEE 63rd Electronic Components and Technology Conference, 2013, 102(2): 2298
|
| [7] |
Pedram M, Nazarian S. Thermal modeling, analysis, and management in VLSI circuits: principles and methods. Proc IEEE, 2006, 94: 1487 doi: 10.1109/JPROC.2006.879797
|
| [8] |
Wang X P, Yin W Y. Multipphysics characterization of transient electrothermomechanical responses of through-silicon vias applied with a periodic voltage pulse. IEEE Trans Electron Devices, 2010, 57: 6
|
| [9] |
Jung D H, Kim Y, Kim J J, et al. Through silicon via (TSV) defect modeling measurement, and analysis. IEEE Trans Compons, Pack Manufact Technol, 2017, 7: 1 doi: 10.1109/TCPMT.2016.2644979
|
| [10] |
Xie J Y, Swaminathan M. Electrical-thermal co-simulation of 3D integrated systems with micro-fluidic cooling and joule heating effects. IEEE Trans Compon, Pack Manufact Technol, 2011, 1: 234 doi: 10.1109/TCPMT.2010.2101770
|
| [11] |
Chapman A J. Fundamentals of heat Transfer. 4nd ed. New York: Mcmillan, 1984
|
| [12] |
Todri-Sanial A, Electro-thermal characterization of through-silicon vias. International Conference on Thermal, 2014, 108: 1
|
| [13] |
Schafft H A. Thermal analysis of electromigration test structures. IEEE Trans Electron Devices, 1987, 34: 664 doi: 10.1109/T-ED.1987.22978
|
| [14] |
Shao Y, Li X C, Mao J F, et al. An elecrtothermal model of interconnects based on a transmissionline network. 2012 Asia Pacific Microwave Conference Proceedings, 2012: 1247
|
| [15] |
Ajami A H, Banerjee K. Modeling and analysis of nonuniform substrate temperature effects on global ULSI interconnects. IEEE Trans Comput-Aid Des Integr Circuits Syst, 2005, 24: 849 doi: 10.1109/TCAD.2005.847944
|
| [16] |
Liu Z, Swarup S, Sheldon X, et al. Compact lateral thermal resistance model of TSVs for fast finite-difference based thermal analysis of 3-D stacked ICs. IEEE Trans Comput-Aid Des Integr Circuits Syst, 2014, 33: 1490 doi: 10.1109/TCAD.2014.2334321
|
| [17] |
Uchino Z T, Cong J. An interconnect energy model considering coupling effects. IEEE Trans Comput-Aid Des Integr Circuits Syst, 2002, 21: 763 doi: 10.1109/TCAD.2002.1013890
|
Table 1. Thermal parameters and structure parameters of TSV.
| Material | Cu | SiO2 | Si |
| K (W/°C·m) | 398 | 1.4 | 129 |
| A (kg/m3) | 8700 | 2200 | 2329 |
| Cp (J/°C·kg) | 390 | 730 | 700 |
| R (μm) | 3 | 3.1 | 15 |
| H (μm) | 40 | 40 | 40 |
| ρ (Ω/m) | 1.75 × 10?8 | – | 2.52 × 10?4 |
DownLoad: CSV
| [1] |
Motoyoshi M. Through-silicon via (TSV). Proc IEEE, 2009, 97: 43 doi: 10.1109/JPROC.2008.2007462
|
| [2] |
Judes M A, Lee K, Solveson M G, et al. A coupled thermal and electrical time-domain soft starter system model. Conference Record of the 2005 Industry Applications Conference. 2005, 4: 2607
|
| [3] |
Jain A, Jones R E, Chatterjee R, et al. Analytical and numerical modeling of the thermal performance of three-dimensional integrated circuits. IEEE Trans Compon Pack Technol, 2010, 33: 56 doi: 10.1109/TCAPT.2009.2020916
|
| [4] |
Qian L B, Xia Y S, Shi G. Electrical modeling and analysis of a mixed carbon nanotube based differential through silicon via in 3-D integration. IEEE Trans Nanotechnol, 2016, 15: 2 doi: 10.1109/TNANO.2015.2493543
|
| [5] |
Liu X X, Zhu Z M, Yang Y T, et al. Electrical modeling and analysis of differential dielectric-cavity through-silicon via array. IEEE Microwave Wireless Compon Lett, 2017, 27: 7 doi: 10.1109/LMWC.2016.2630842
|
| [6] |
Kannan K, Kannan S. TSV electrical and mechanical modeling for thermol-mechanical delamination. IEEE 63rd Electronic Components and Technology Conference, 2013, 102(2): 2298
|
| [7] |
Pedram M, Nazarian S. Thermal modeling, analysis, and management in VLSI circuits: principles and methods. Proc IEEE, 2006, 94: 1487 doi: 10.1109/JPROC.2006.879797
|
| [8] |
Wang X P, Yin W Y. Multipphysics characterization of transient electrothermomechanical responses of through-silicon vias applied with a periodic voltage pulse. IEEE Trans Electron Devices, 2010, 57: 6
|
| [9] |
Jung D H, Kim Y, Kim J J, et al. Through silicon via (TSV) defect modeling measurement, and analysis. IEEE Trans Compons, Pack Manufact Technol, 2017, 7: 1 doi: 10.1109/TCPMT.2016.2644979
|
| [10] |
Xie J Y, Swaminathan M. Electrical-thermal co-simulation of 3D integrated systems with micro-fluidic cooling and joule heating effects. IEEE Trans Compon, Pack Manufact Technol, 2011, 1: 234 doi: 10.1109/TCPMT.2010.2101770
|
| [11] |
Chapman A J. Fundamentals of heat Transfer. 4nd ed. New York: Mcmillan, 1984
|
| [12] |
Todri-Sanial A, Electro-thermal characterization of through-silicon vias. International Conference on Thermal, 2014, 108: 1
|
| [13] |
Schafft H A. Thermal analysis of electromigration test structures. IEEE Trans Electron Devices, 1987, 34: 664 doi: 10.1109/T-ED.1987.22978
|
| [14] |
Shao Y, Li X C, Mao J F, et al. An elecrtothermal model of interconnects based on a transmissionline network. 2012 Asia Pacific Microwave Conference Proceedings, 2012: 1247
|
| [15] |
Ajami A H, Banerjee K. Modeling and analysis of nonuniform substrate temperature effects on global ULSI interconnects. IEEE Trans Comput-Aid Des Integr Circuits Syst, 2005, 24: 849 doi: 10.1109/TCAD.2005.847944
|
| [16] |
Liu Z, Swarup S, Sheldon X, et al. Compact lateral thermal resistance model of TSVs for fast finite-difference based thermal analysis of 3-D stacked ICs. IEEE Trans Comput-Aid Des Integr Circuits Syst, 2014, 33: 1490 doi: 10.1109/TCAD.2014.2334321
|
| [17] |
Uchino Z T, Cong J. An interconnect energy model considering coupling effects. IEEE Trans Comput-Aid Des Integr Circuits Syst, 2002, 21: 763 doi: 10.1109/TCAD.2002.1013890
|
Article views: 5381 Times PDF downloads: 127 Times Cited by: 0 Times
Received: 29 March 2017 Revised: 26 March 2018 Online: Uncorrected proof: 16 May 2018Accepted Manuscript: 05 July 2018Published: 01 September 2018
| Citation: |
Jingrui Chai, Gang Dong, Zheng Mei, Weijun Zhu. Steady state electrical–thermal coupling analysis of TSV[J]. Journal of Semiconductors, 2018, 39(9): 095001. doi: 10.1088/1674-4926/39/9/095001
****
J R Chai, G Dong, Z Mei, W J Zhu, Steady state electrical–thermal coupling analysis of TSV[J]. J. Semicond., 2018, 39(9): 095001. doi: 10.1088/1674-4926/39/9/095001.
|
Project supported by the National Natural Science Foundation of China (Nos. 61574106, 61574104), the National Defense Pre-Research Foundation of China (No. 9140A23060115DZ01062), and the Key Science and Technology Special Project of Shaanxi Province (No. 2015KTCQ01-5).
| [1] |
Motoyoshi M. Through-silicon via (TSV). Proc IEEE, 2009, 97: 43 doi: 10.1109/JPROC.2008.2007462
|
| [2] |
Judes M A, Lee K, Solveson M G, et al. A coupled thermal and electrical time-domain soft starter system model. Conference Record of the 2005 Industry Applications Conference. 2005, 4: 2607
|
| [3] |
Jain A, Jones R E, Chatterjee R, et al. Analytical and numerical modeling of the thermal performance of three-dimensional integrated circuits. IEEE Trans Compon Pack Technol, 2010, 33: 56 doi: 10.1109/TCAPT.2009.2020916
|
| [4] |
Qian L B, Xia Y S, Shi G. Electrical modeling and analysis of a mixed carbon nanotube based differential through silicon via in 3-D integration. IEEE Trans Nanotechnol, 2016, 15: 2 doi: 10.1109/TNANO.2015.2493543
|
| [5] |
Liu X X, Zhu Z M, Yang Y T, et al. Electrical modeling and analysis of differential dielectric-cavity through-silicon via array. IEEE Microwave Wireless Compon Lett, 2017, 27: 7 doi: 10.1109/LMWC.2016.2630842
|
| [6] |
Kannan K, Kannan S. TSV electrical and mechanical modeling for thermol-mechanical delamination. IEEE 63rd Electronic Components and Technology Conference, 2013, 102(2): 2298
|
| [7] |
Pedram M, Nazarian S. Thermal modeling, analysis, and management in VLSI circuits: principles and methods. Proc IEEE, 2006, 94: 1487 doi: 10.1109/JPROC.2006.879797
|
| [8] |
Wang X P, Yin W Y. Multipphysics characterization of transient electrothermomechanical responses of through-silicon vias applied with a periodic voltage pulse. IEEE Trans Electron Devices, 2010, 57: 6
|
| [9] |
Jung D H, Kim Y, Kim J J, et al. Through silicon via (TSV) defect modeling measurement, and analysis. IEEE Trans Compons, Pack Manufact Technol, 2017, 7: 1 doi: 10.1109/TCPMT.2016.2644979
|
| [10] |
Xie J Y, Swaminathan M. Electrical-thermal co-simulation of 3D integrated systems with micro-fluidic cooling and joule heating effects. IEEE Trans Compon, Pack Manufact Technol, 2011, 1: 234 doi: 10.1109/TCPMT.2010.2101770
|
| [11] |
Chapman A J. Fundamentals of heat Transfer. 4nd ed. New York: Mcmillan, 1984
|
| [12] |
Todri-Sanial A, Electro-thermal characterization of through-silicon vias. International Conference on Thermal, 2014, 108: 1
|
| [13] |
Schafft H A. Thermal analysis of electromigration test structures. IEEE Trans Electron Devices, 1987, 34: 664 doi: 10.1109/T-ED.1987.22978
|
| [14] |
Shao Y, Li X C, Mao J F, et al. An elecrtothermal model of interconnects based on a transmissionline network. 2012 Asia Pacific Microwave Conference Proceedings, 2012: 1247
|
| [15] |
Ajami A H, Banerjee K. Modeling and analysis of nonuniform substrate temperature effects on global ULSI interconnects. IEEE Trans Comput-Aid Des Integr Circuits Syst, 2005, 24: 849 doi: 10.1109/TCAD.2005.847944
|
| [16] |
Liu Z, Swarup S, Sheldon X, et al. Compact lateral thermal resistance model of TSVs for fast finite-difference based thermal analysis of 3-D stacked ICs. IEEE Trans Comput-Aid Des Integr Circuits Syst, 2014, 33: 1490 doi: 10.1109/TCAD.2014.2334321
|
| [17] |
Uchino Z T, Cong J. An interconnect energy model considering coupling effects. IEEE Trans Comput-Aid Des Integr Circuits Syst, 2002, 21: 763 doi: 10.1109/TCAD.2002.1013890
|
Journal of Semiconductors © 2017 All Rights Reserved 京ICP備05085259號-2