SEMICONDUCTOR DEVICES
Longxiang Yin, Gang Du and Xiaoyan Liu
Corresponding author: Xiaoyan Liu, Email: xyliu@ime.pku.edu.cn
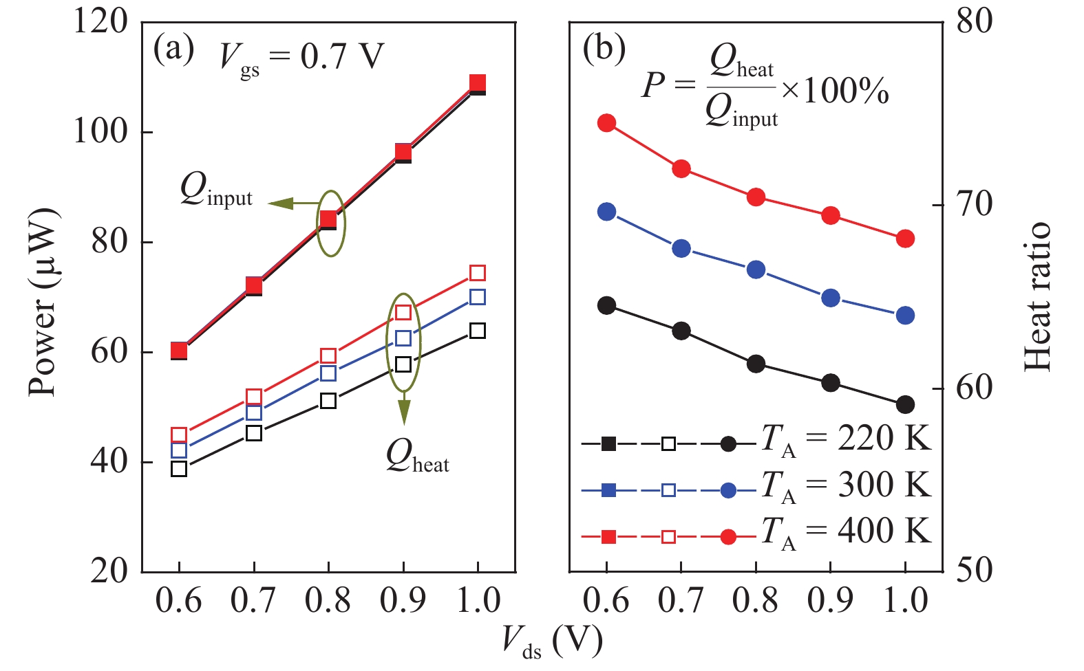
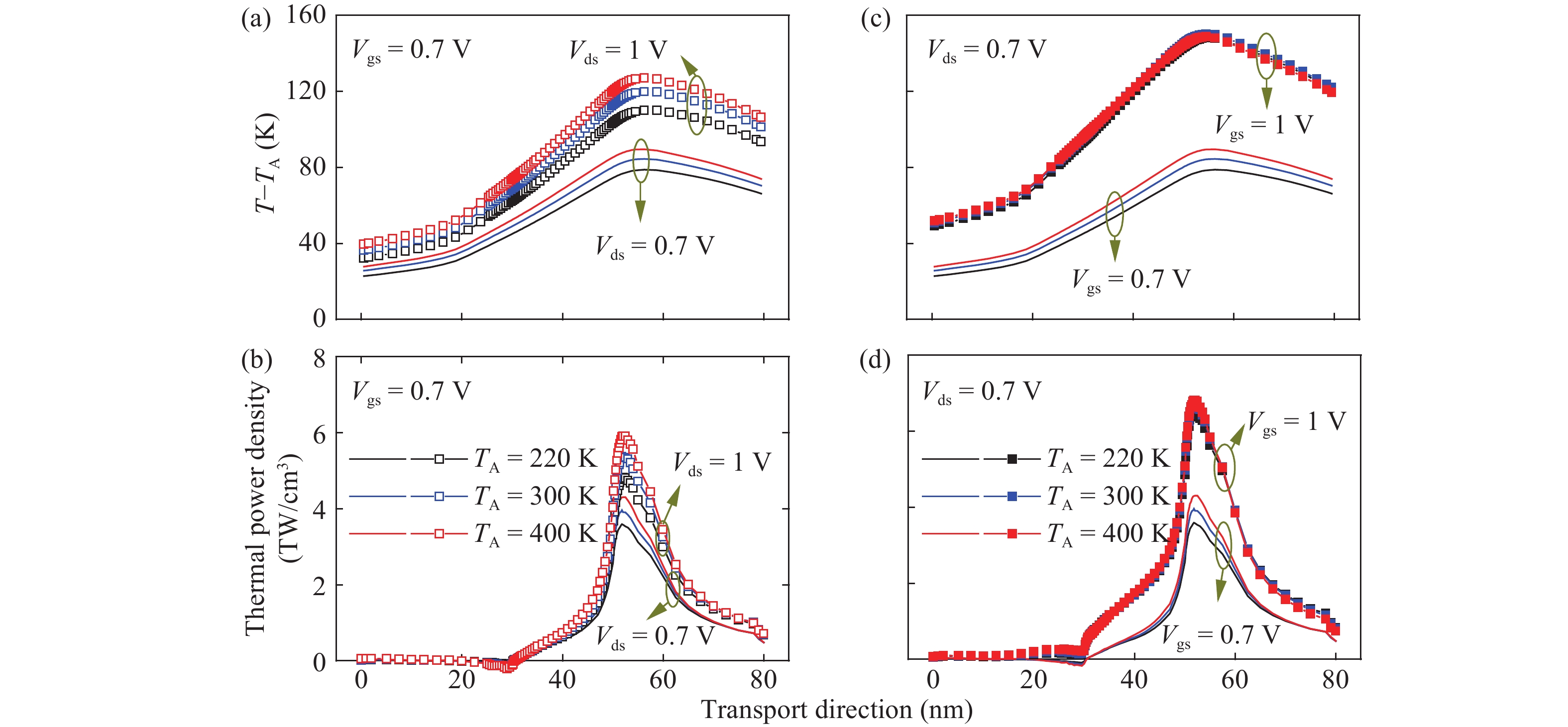
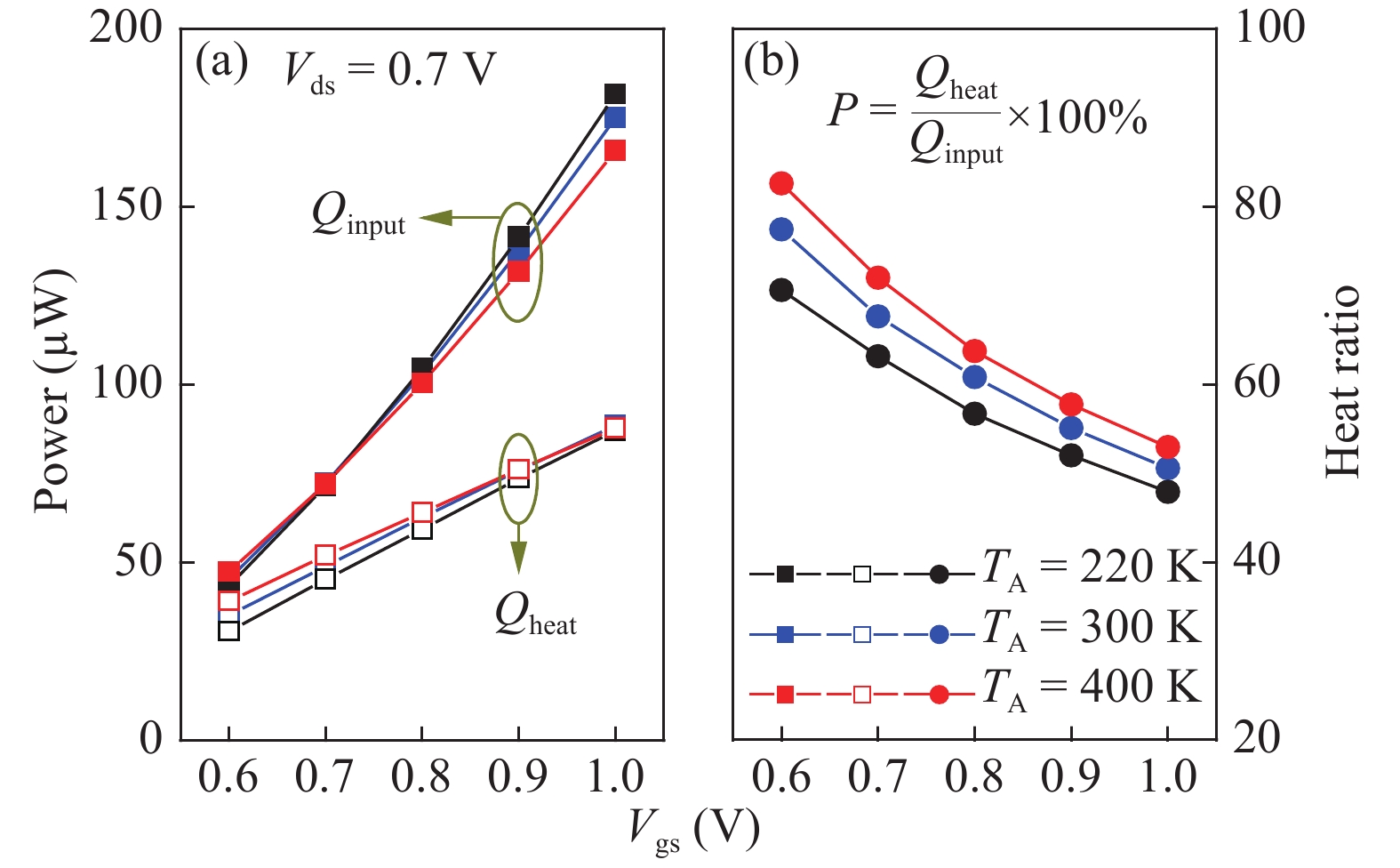
Abstract: We use an electro-thermal coupled Monte Carlo simulation framework to investigate the self-heating effect (SHE) in 14 nm bulk nFinFETs with ambient temperature (TA) from 220 to 400 K. Based on this method, non-local heat generation can be achieved. Contact thermal resistances of Si/Metal and Si/SiO2 are selected to ensure that the source and drain heat dissipation paths are the first two heat dissipation paths. The results are listed below: (i) not all input power (Qinput) turns into heat generation in the device region and some is taken out by the thermal non-equilibrium carriers, owing to the serious non-equilibrium transport; (ii) a higher TA leads to a larger ratio of input power turning into heat generation in the device region at the same operating voltages; (iii) SHE can lead to serious degradation in the carrier transport, which will increase when TA increases; (iv) the current degradation can be 8.9% when Vds = 0.7 V, Vgs = 1 V and TA = 400 K; (v) device thermal resistance (Rth) increases with increasing of TA, which is seriously impacted by the non-equilibrium transport. Hence, the impact of TA should be carefully considered when investigating SHE in nanoscale devices.
Key words: self-heating effects, ambient temperature, FinFET, Monte Carlo method
| [1] |
Pop E. Energy dissipation and transport in nanoscale devices. Nano Res, 2010, 3(3): 147 doi: 10.1007/s12274-010-1019-z
|
| [2] |
Semenov O, Vassighi A, Sachdev M. Impact of self-heating effect on long-term reliability and performance degradation in CMOS circuits. IEEE Trans Device Mater Rel, 2006, 6(1): 17 doi: 10.1109/TDMR.2006.870340
|
| [3] |
Shapiro A, Friedman E G. Power efficient level shifter for 16nm FinFET near threshold circuits. IEEE Trans VLSI Syst, 2016, 24(2): 774 doi: 10.1109/TVLSI.2015.2409051
|
| [4] |
Makovejev S, Planes N, Haond M, et al. Self-heating in 28 nm bulk and FDSOI. Joint International EUROSOI Workshop and International Conference on Ultimate Integration on Silicon (EUROSOI-ULIS), 2015: 41
|
| [5] |
Bury E, Kaczer B, Linten D, et al. Self-heating in FinFET and GAA-NW using Si, Ge and III/V channels. IEEE International Electron Devices Meeting (IEDM), 2016: 15.6.1
|
| [6] |
Bury E, Kaczer B, Mitard J, et al. Characterization of self-heating in high-mobility Ge FinFET pMOS devices. Symposium on VLSI Technology (VLSI Technology), 2015: T60
|
| [7] |
Wahab M A, Shin S H, Alam M A. 3D modeling of spatio-temporal heat-transport in III–V gate-all-around transistors allows accurate estimation and optimization of nanowire temperature. IEEE Trans Electron Devices, 2015, 62(11): 3595 doi: 10.1109/TED.2015.2478844
|
| [8] |
Liao M H, Hsieh C P, Lee C C. Systematic investigation of self-heating effect on CMOS logic transistors from 20 to 5 nm technology nodes by experimental thermoelectric measurements and finite element modeling. IEEE Trans Electron Devices, 2017, 64(2): 646 doi: 10.1109/TED.2016.2642404
|
| [9] |
Jin M, Liu C, Kim J, et al. Hot carrier reliability characterization in consideration of self-heating in FinFET technology. IEEE International Reliability Physics Symposium (IRPS), 2016: 2A-2-1
|
| [10] |
Jiang H, Shin S H, Liu X, et al. The impact of self-heating on HCI reliability in high-performance digital circuits. IEEE Device Lett, 2017, 38(4): 430 doi: 10.1109/LED.2017.2674658
|
| [11] |
Jiang H, Shen L, Shin S H, et al. Unified self-heating effect model for advanced digital and analog technology and thermal-aware lifetime prediction methodology. Symposium on VLSI Technology (VLSI Technology), 2017: T136
|
| [12] |
Si M W, Shin S H, Conrad N J, et al. Characterization and reliability of III–V gate-all-around MOSFETs. IEEE International Reliability Physics Symposium (IRPS), 2015: 4A.1.1
|
| [13] |
Jiang H, Liu X Y, Xu N, et al. Investigation of self-heating effect on hot carrier degradation in multiple-fin SOI FinFETs. IEEE Electron Device Lett, 2015, 36(12): 1258 doi: 10.1109/LED.2015.2487045
|
| [14] |
Vasileska D. Modeling self-heating in nanoscale devices. IEEE International Conference on Nanotechnology (IEEE-NANO), 2015: 200
|
| [15] |
Kamakura Y, Adisusilo I N, Kukita K, et al. Coupled Monte Carlo simulation of transient electron-phonon transport in small FETs. IEEE International Electron Devices Meeting (IEDM), 2014: 176
|
| [16] |
BSIM CMG, http://bsim.berkeley.edu/models/bsimcmg/, BSIM Group, 2015
|
| [17] |
Pierret R F. Semiconductor device fundamentals. Reading: Addison-Wesley, 1996
|
| [18] |
Fischetti M V, Laux S E. Monte Carlo analysis of electron transport in small semiconductor devices including band-structure and space-charge effects. Phys Rev B, 1988, 38(14): 9721 doi: 10.1103/PhysRevB.38.9721
|
| [19] |
Mohamed M, Aksamija Z, Vitale W, et al. A conjoined electron and thermal transport study of thermal degradation induced during normal operation of multigate transistors. IEEE Trans Electron Devices, 2014, 61(4): 976 doi: 10.1109/TED.2014.2306422
|
| [20] |
Gonzalez B, Palankovski V, Kosina H, et al. An analytical model for the electron energy relaxation time. International Association of Science and Technology for Development (IASTED), 1999: 367
|
| [21] |
Jeon J, Jhon H S, Kang M. Investigation of electrothermal behaviors of 5 nm Bulk FinFET. IEEE Trans Electron Devices, 2017, 64(12): 5284 doi: 10.1109/TED.2017.2766214
|
| [22] |
Wang L, Brown A R, Nedjalkov M, et al. Impact of self-heating on the statistical variability in bulk and SOI FinFETs. IEEE Trans Electron Devices, 2015, 62(7): 2106 doi: 10.1109/TED.2015.2436351
|
| [23] |
https://www.altera.com/products/common/temperature/ind-temp.html, 2017
|
| [24] |
Xie B Q, Bi J S, Li B, et al. The effect of cryogenic temperature characteristics on silicon-based devices and circuits. Microelectronics, 2015, 45(6): 789 (in Chinese)
|
| [25] |
Natarajan S, Agostinelli M, Akbar S, et al. A 14 nm logic technology featuring 2nd-generation FinFET, air-gapped interconnects, self-aligned double patterning and a 0.0588 μm2 SRAM cell size. IEEE International Electron Devices Meeting (IEDM), 2014: 71
|
| [26] |
ITRS. www.itrs2.net/itrs-reports.html, ITRS Reports, 2013
|
| [27] |
Wang J C, Du G, Wei K L, et al. Three-dimensional Monte Carlo simulation of bulk fin field effect transistor. Chin Phys B, 2012, 21(11): 117308 doi: 10.1088/1674-1056/21/11/117308
|
| [28] |
Wei K L, Egley J, Liu X Y, et al. Remote charge scattering: a full Coulomb interaction approach and its impact on silicon nMOS FinFETs with HfO2 gate dielectric. Sci China Inf Sci, 2014, 57(2): 022403
|
| [29] |
Du G, Liu X Y, Han R Q. Quantum Boltzmann equation solved by Monte Carlo method for nanoscale semiconductor devices. Chin Phys, 2006, 15(1): 177 doi: 10.1088/1009-1963/15/1/028
|
| [30] |
Du G, Liu X Y, Xia Z L, et al. Monte Carlo simulation of p- and n-channel GOI MOSFETs by solving the quantum Boltzmann equation. IEEE Trans Electron Devices, 2005, 52(10): 2258 doi: 10.1109/TED.2005.856806
|
| [31] |
Jacoboni C, Reggiani L. The Monte Carlo method for the solution of charge transport in semiconductors with applications to covalent materials. Rev Mod Phys, 1983, 55(3): 645 doi: 10.1103/RevModPhys.55.645
|
| [32] |
Ahn W, Zhang H, Shen T et al. A predictive model for IC self-heating based on effective medium and image charge theories and its implications for interconnect and transistor reliability. IEEE Trans Electron Devices, 2017, 64(9): 3555 doi: 10.1109/TED.2017.2725742
|
| [33] |
Chang C W, Liu S E, Lin B L, et al. Thermal behavior of self-heating effect in FinFET devices acting on back-end interconnects. IEEE International Reliability Physics Symposium (IRPS), 2015: 2F.6.1
|
| [34] |
Wang N, Pi Y, Wang W, et al. Equivalent thermal conductivity model based full scale numerical simulation for thermal management in fan-out packages. IEEE Electronic Components and Technology Conference (ECTC), 2017: 2054
|
| [35] |
Pi Y, Wang W, Chen J, et al. Microfluidic cooling for distributed hot-spots. IEEE Electronic Components and Technology Conference (ECTC), 2016: 903
|
| [36] |
Jagannadham K. Thermal conductivity and interface thermal conductance in films of tungsten-tungsten silicide on Si. IEEE Trans Electron Devices, 2014, 61(6): 1950 doi: 10.1109/TED.2014.2318281
|
| [37] |
Takahashi T, Beppu N, Chen K, et al. Thermal-aware device design of nanoscale bulk/SOI FinFETs: Suppression of operation temperature and its variability. International Electron Devices Meeting (IEDM), 2011: 34.6.1
|
| [38] |
https://www.americanelements.com/hafnium-oxide-12055-23-1
|
| [39] |
Pop E, Sinha S, Goodson K E. Heat generation and transport in nanometer-scale transistors. Proc IEEE, 2006, 94(8): 1587 doi: 10.1109/JPROC.2006.879794
|
| [40] |
Pop E, Goodson K E. Thermal phenomena in nanoscale transistors. J Electron Pack, 2006, 128(2): 102 doi: 10.1115/1.2188950
|
| [41] |
Kolluri S, Endo K, Suzuki E, et al. Modeling and analysis of self-heating in FinFET devices for improved circuit and EOS/ESD performance. IEEE International Electron Devices Meeting, 2007: 177
|
| [42] |
Shrivastava M, Agrawal M, Mahajan S, et al. Physical insight toward heat transport and an improved electrothermal modeling framework for FinFET architectures. IEEE Trans Electron Devices, 2012, 59(5): 1353 doi: 10.1109/TED.2012.2188296
|
| [43] |
Filanovsky I M, Allam A. Mutual compensation of mobility and threshold voltage temperature effects with applications in CMOS circuits. IEEE Trans Circuits Syst I, 2001, 48(7): 876 doi: 10.1109/81.933328
|
| [44] |
Wang R S, Liu H W, Huang R, et al. Experimental investigations on carrier transport in Si nanowire transistors: ballistic efficiency and apparent mobility. IEEE Trans Electron Devices, 2008, 55(11): 2960 doi: 10.1109/TED.2008.2005152
|
| [45] |
Lundstrom M, Ren Z. Essential physics of carrier transport in nanoscale MOSFETs. IEEE Trans Electron Devices, 2002, 49(1): 133 doi: 10.1109/16.974760
|
| [46] |
Prasad C, Jiang L, Singh D, et al. Self-heat reliability considerations on Intel’s 22 nm tri-gate technology. IEEE International Reliability Physics Symposium (IRPS), 2013: 5D.1.1
|
Table 1. Structure parameters of the 14 nm-node nFinFET.
| Strcuture
parameter |
Description | Value |
| Hsd | Raised S/D height | 52 nm |
| Hstop | Stop layer height | 40 nm |
| Hsub | Substrate layer height | 4 μm |
| Hfin | Fin height | 42 nm |
| Lsd | Raised S/D length | 20 nm |
| Lext | S/D length | 10 nm |
| Lg | Gate length | 20 nm |
| Wpitch | Fin pitch | 42 nm |
| Wfin | Fin width | 8 nm |
| Nchannel | Channel doping, p type | 1 × 1015 cm?3 |
| Nstop | Stop layer doping, p type | 2 × 1018 cm?3 |
| Nsd | Source/Drain doping, n type | 1 × 1020 cm?3 |
| Nsub | Substrate doping, p type | 1 × 1015 cm?3 |
| EOT | Equivalent oxide thickness | 0.85 nm |
| Tox | Gate oxide thickness | 5.4 nm |
DownLoad: CSV
Table 2. Optical phonon and inter-valley acoustic phonon in silicon.
| η | Phonon type | DtK (1010 eV/m) |
|
r |
| 1 | TA | 0.47 | 12.1 | g |
| 2 | LA | 0.74 | 18.5 | g |
| 3 | LO | 10.23 | 62.0 | g |
| 4 | TA | 0.28 | 19.0 | r |
| 5 | LA | 1.86 | 47.4 | r |
| 6 | TO | 1.86 | 58.6 | r |
DownLoad: CSV
Table 3. Thermal parameters used in this work.
| Silicon thermal conductivity (anisotropic) | |
| ky in Region (1–6) | 15 Wm?1K?1 |
| kx, kz in Region (1–6) | 10 Wm?1K?1 |
| Silicon thermal conductivity (isotropic) | |
| k in Region (7) | 148 Wm?1K?1 |
| Oxide thermal conductivity (isotropic) | |
| Trench oxide (SiO2) | 1.4 Wm?1K?1 |
| Gate oxide (HfO2) | 1.1 Wm?1K?1 |
| Contact thermal resistance | |
| Gate | 2.5 × 10?4 cm2K/W |
| Source/Drain/Substrate | 0.5 × 10?4 cm2K/W |
DownLoad: CSV
| [1] |
Pop E. Energy dissipation and transport in nanoscale devices. Nano Res, 2010, 3(3): 147 doi: 10.1007/s12274-010-1019-z
|
| [2] |
Semenov O, Vassighi A, Sachdev M. Impact of self-heating effect on long-term reliability and performance degradation in CMOS circuits. IEEE Trans Device Mater Rel, 2006, 6(1): 17 doi: 10.1109/TDMR.2006.870340
|
| [3] |
Shapiro A, Friedman E G. Power efficient level shifter for 16nm FinFET near threshold circuits. IEEE Trans VLSI Syst, 2016, 24(2): 774 doi: 10.1109/TVLSI.2015.2409051
|
| [4] |
Makovejev S, Planes N, Haond M, et al. Self-heating in 28 nm bulk and FDSOI. Joint International EUROSOI Workshop and International Conference on Ultimate Integration on Silicon (EUROSOI-ULIS), 2015: 41
|
| [5] |
Bury E, Kaczer B, Linten D, et al. Self-heating in FinFET and GAA-NW using Si, Ge and III/V channels. IEEE International Electron Devices Meeting (IEDM), 2016: 15.6.1
|
| [6] |
Bury E, Kaczer B, Mitard J, et al. Characterization of self-heating in high-mobility Ge FinFET pMOS devices. Symposium on VLSI Technology (VLSI Technology), 2015: T60
|
| [7] |
Wahab M A, Shin S H, Alam M A. 3D modeling of spatio-temporal heat-transport in III–V gate-all-around transistors allows accurate estimation and optimization of nanowire temperature. IEEE Trans Electron Devices, 2015, 62(11): 3595 doi: 10.1109/TED.2015.2478844
|
| [8] |
Liao M H, Hsieh C P, Lee C C. Systematic investigation of self-heating effect on CMOS logic transistors from 20 to 5 nm technology nodes by experimental thermoelectric measurements and finite element modeling. IEEE Trans Electron Devices, 2017, 64(2): 646 doi: 10.1109/TED.2016.2642404
|
| [9] |
Jin M, Liu C, Kim J, et al. Hot carrier reliability characterization in consideration of self-heating in FinFET technology. IEEE International Reliability Physics Symposium (IRPS), 2016: 2A-2-1
|
| [10] |
Jiang H, Shin S H, Liu X, et al. The impact of self-heating on HCI reliability in high-performance digital circuits. IEEE Device Lett, 2017, 38(4): 430 doi: 10.1109/LED.2017.2674658
|
| [11] |
Jiang H, Shen L, Shin S H, et al. Unified self-heating effect model for advanced digital and analog technology and thermal-aware lifetime prediction methodology. Symposium on VLSI Technology (VLSI Technology), 2017: T136
|
| [12] |
Si M W, Shin S H, Conrad N J, et al. Characterization and reliability of III–V gate-all-around MOSFETs. IEEE International Reliability Physics Symposium (IRPS), 2015: 4A.1.1
|
| [13] |
Jiang H, Liu X Y, Xu N, et al. Investigation of self-heating effect on hot carrier degradation in multiple-fin SOI FinFETs. IEEE Electron Device Lett, 2015, 36(12): 1258 doi: 10.1109/LED.2015.2487045
|
| [14] |
Vasileska D. Modeling self-heating in nanoscale devices. IEEE International Conference on Nanotechnology (IEEE-NANO), 2015: 200
|
| [15] |
Kamakura Y, Adisusilo I N, Kukita K, et al. Coupled Monte Carlo simulation of transient electron-phonon transport in small FETs. IEEE International Electron Devices Meeting (IEDM), 2014: 176
|
| [16] |
BSIM CMG, http://bsim.berkeley.edu/models/bsimcmg/, BSIM Group, 2015
|
| [17] |
Pierret R F. Semiconductor device fundamentals. Reading: Addison-Wesley, 1996
|
| [18] |
Fischetti M V, Laux S E. Monte Carlo analysis of electron transport in small semiconductor devices including band-structure and space-charge effects. Phys Rev B, 1988, 38(14): 9721 doi: 10.1103/PhysRevB.38.9721
|
| [19] |
Mohamed M, Aksamija Z, Vitale W, et al. A conjoined electron and thermal transport study of thermal degradation induced during normal operation of multigate transistors. IEEE Trans Electron Devices, 2014, 61(4): 976 doi: 10.1109/TED.2014.2306422
|
| [20] |
Gonzalez B, Palankovski V, Kosina H, et al. An analytical model for the electron energy relaxation time. International Association of Science and Technology for Development (IASTED), 1999: 367
|
| [21] |
Jeon J, Jhon H S, Kang M. Investigation of electrothermal behaviors of 5 nm Bulk FinFET. IEEE Trans Electron Devices, 2017, 64(12): 5284 doi: 10.1109/TED.2017.2766214
|
| [22] |
Wang L, Brown A R, Nedjalkov M, et al. Impact of self-heating on the statistical variability in bulk and SOI FinFETs. IEEE Trans Electron Devices, 2015, 62(7): 2106 doi: 10.1109/TED.2015.2436351
|
| [23] |
https://www.altera.com/products/common/temperature/ind-temp.html, 2017
|
| [24] |
Xie B Q, Bi J S, Li B, et al. The effect of cryogenic temperature characteristics on silicon-based devices and circuits. Microelectronics, 2015, 45(6): 789 (in Chinese)
|
| [25] |
Natarajan S, Agostinelli M, Akbar S, et al. A 14 nm logic technology featuring 2nd-generation FinFET, air-gapped interconnects, self-aligned double patterning and a 0.0588 μm2 SRAM cell size. IEEE International Electron Devices Meeting (IEDM), 2014: 71
|
| [26] |
ITRS. www.itrs2.net/itrs-reports.html, ITRS Reports, 2013
|
| [27] |
Wang J C, Du G, Wei K L, et al. Three-dimensional Monte Carlo simulation of bulk fin field effect transistor. Chin Phys B, 2012, 21(11): 117308 doi: 10.1088/1674-1056/21/11/117308
|
| [28] |
Wei K L, Egley J, Liu X Y, et al. Remote charge scattering: a full Coulomb interaction approach and its impact on silicon nMOS FinFETs with HfO2 gate dielectric. Sci China Inf Sci, 2014, 57(2): 022403
|
| [29] |
Du G, Liu X Y, Han R Q. Quantum Boltzmann equation solved by Monte Carlo method for nanoscale semiconductor devices. Chin Phys, 2006, 15(1): 177 doi: 10.1088/1009-1963/15/1/028
|
| [30] |
Du G, Liu X Y, Xia Z L, et al. Monte Carlo simulation of p- and n-channel GOI MOSFETs by solving the quantum Boltzmann equation. IEEE Trans Electron Devices, 2005, 52(10): 2258 doi: 10.1109/TED.2005.856806
|
| [31] |
Jacoboni C, Reggiani L. The Monte Carlo method for the solution of charge transport in semiconductors with applications to covalent materials. Rev Mod Phys, 1983, 55(3): 645 doi: 10.1103/RevModPhys.55.645
|
| [32] |
Ahn W, Zhang H, Shen T et al. A predictive model for IC self-heating based on effective medium and image charge theories and its implications for interconnect and transistor reliability. IEEE Trans Electron Devices, 2017, 64(9): 3555 doi: 10.1109/TED.2017.2725742
|
| [33] |
Chang C W, Liu S E, Lin B L, et al. Thermal behavior of self-heating effect in FinFET devices acting on back-end interconnects. IEEE International Reliability Physics Symposium (IRPS), 2015: 2F.6.1
|
| [34] |
Wang N, Pi Y, Wang W, et al. Equivalent thermal conductivity model based full scale numerical simulation for thermal management in fan-out packages. IEEE Electronic Components and Technology Conference (ECTC), 2017: 2054
|
| [35] |
Pi Y, Wang W, Chen J, et al. Microfluidic cooling for distributed hot-spots. IEEE Electronic Components and Technology Conference (ECTC), 2016: 903
|
| [36] |
Jagannadham K. Thermal conductivity and interface thermal conductance in films of tungsten-tungsten silicide on Si. IEEE Trans Electron Devices, 2014, 61(6): 1950 doi: 10.1109/TED.2014.2318281
|
| [37] |
Takahashi T, Beppu N, Chen K, et al. Thermal-aware device design of nanoscale bulk/SOI FinFETs: Suppression of operation temperature and its variability. International Electron Devices Meeting (IEDM), 2011: 34.6.1
|
| [38] |
https://www.americanelements.com/hafnium-oxide-12055-23-1
|
| [39] |
Pop E, Sinha S, Goodson K E. Heat generation and transport in nanometer-scale transistors. Proc IEEE, 2006, 94(8): 1587 doi: 10.1109/JPROC.2006.879794
|
| [40] |
Pop E, Goodson K E. Thermal phenomena in nanoscale transistors. J Electron Pack, 2006, 128(2): 102 doi: 10.1115/1.2188950
|
| [41] |
Kolluri S, Endo K, Suzuki E, et al. Modeling and analysis of self-heating in FinFET devices for improved circuit and EOS/ESD performance. IEEE International Electron Devices Meeting, 2007: 177
|
| [42] |
Shrivastava M, Agrawal M, Mahajan S, et al. Physical insight toward heat transport and an improved electrothermal modeling framework for FinFET architectures. IEEE Trans Electron Devices, 2012, 59(5): 1353 doi: 10.1109/TED.2012.2188296
|
| [43] |
Filanovsky I M, Allam A. Mutual compensation of mobility and threshold voltage temperature effects with applications in CMOS circuits. IEEE Trans Circuits Syst I, 2001, 48(7): 876 doi: 10.1109/81.933328
|
| [44] |
Wang R S, Liu H W, Huang R, et al. Experimental investigations on carrier transport in Si nanowire transistors: ballistic efficiency and apparent mobility. IEEE Trans Electron Devices, 2008, 55(11): 2960 doi: 10.1109/TED.2008.2005152
|
| [45] |
Lundstrom M, Ren Z. Essential physics of carrier transport in nanoscale MOSFETs. IEEE Trans Electron Devices, 2002, 49(1): 133 doi: 10.1109/16.974760
|
| [46] |
Prasad C, Jiang L, Singh D, et al. Self-heat reliability considerations on Intel’s 22 nm tri-gate technology. IEEE International Reliability Physics Symposium (IRPS), 2013: 5D.1.1
|
Article views: 5798 Times PDF downloads: 163 Times Cited by: 0 Times
Received: 22 January 2018 Revised: 13 February 2018 Online: Accepted Manuscript: 25 April 2018Uncorrected proof: 03 May 2018Published: 01 September 2018
| Citation: |
Longxiang Yin, Gang Du, Xiaoyan Liu. Impact of ambient temperature on the self-heating effects in FinFETs[J]. Journal of Semiconductors, 2018, 39(9): 094011. doi: 10.1088/1674-4926/39/9/094011
****
L X Yin, G Du, X Y Liu, Impact of ambient temperature on the self-heating effects in FinFETs[J]. J. Semicond., 2018, 39(9): 094011. doi: 10.1088/1674-4926/39/9/094011.
|
Project supported by the National Key Technology Research and Development Program of China (No. 2016YFA0202101), the National Natural Science Foundation of China (Nos. 61421005, 61604005), and the National High-Tech R&D Program (863 Program) (No. 2015AA016501). The simulation was carried out at National Supercomputer Center in Tianjin, with TianHe-1(A).
| [1] |
Pop E. Energy dissipation and transport in nanoscale devices. Nano Res, 2010, 3(3): 147 doi: 10.1007/s12274-010-1019-z
|
| [2] |
Semenov O, Vassighi A, Sachdev M. Impact of self-heating effect on long-term reliability and performance degradation in CMOS circuits. IEEE Trans Device Mater Rel, 2006, 6(1): 17 doi: 10.1109/TDMR.2006.870340
|
| [3] |
Shapiro A, Friedman E G. Power efficient level shifter for 16nm FinFET near threshold circuits. IEEE Trans VLSI Syst, 2016, 24(2): 774 doi: 10.1109/TVLSI.2015.2409051
|
| [4] |
Makovejev S, Planes N, Haond M, et al. Self-heating in 28 nm bulk and FDSOI. Joint International EUROSOI Workshop and International Conference on Ultimate Integration on Silicon (EUROSOI-ULIS), 2015: 41
|
| [5] |
Bury E, Kaczer B, Linten D, et al. Self-heating in FinFET and GAA-NW using Si, Ge and III/V channels. IEEE International Electron Devices Meeting (IEDM), 2016: 15.6.1
|
| [6] |
Bury E, Kaczer B, Mitard J, et al. Characterization of self-heating in high-mobility Ge FinFET pMOS devices. Symposium on VLSI Technology (VLSI Technology), 2015: T60
|
| [7] |
Wahab M A, Shin S H, Alam M A. 3D modeling of spatio-temporal heat-transport in III–V gate-all-around transistors allows accurate estimation and optimization of nanowire temperature. IEEE Trans Electron Devices, 2015, 62(11): 3595 doi: 10.1109/TED.2015.2478844
|
| [8] |
Liao M H, Hsieh C P, Lee C C. Systematic investigation of self-heating effect on CMOS logic transistors from 20 to 5 nm technology nodes by experimental thermoelectric measurements and finite element modeling. IEEE Trans Electron Devices, 2017, 64(2): 646 doi: 10.1109/TED.2016.2642404
|
| [9] |
Jin M, Liu C, Kim J, et al. Hot carrier reliability characterization in consideration of self-heating in FinFET technology. IEEE International Reliability Physics Symposium (IRPS), 2016: 2A-2-1
|
| [10] |
Jiang H, Shin S H, Liu X, et al. The impact of self-heating on HCI reliability in high-performance digital circuits. IEEE Device Lett, 2017, 38(4): 430 doi: 10.1109/LED.2017.2674658
|
| [11] |
Jiang H, Shen L, Shin S H, et al. Unified self-heating effect model for advanced digital and analog technology and thermal-aware lifetime prediction methodology. Symposium on VLSI Technology (VLSI Technology), 2017: T136
|
| [12] |
Si M W, Shin S H, Conrad N J, et al. Characterization and reliability of III–V gate-all-around MOSFETs. IEEE International Reliability Physics Symposium (IRPS), 2015: 4A.1.1
|
| [13] |
Jiang H, Liu X Y, Xu N, et al. Investigation of self-heating effect on hot carrier degradation in multiple-fin SOI FinFETs. IEEE Electron Device Lett, 2015, 36(12): 1258 doi: 10.1109/LED.2015.2487045
|
| [14] |
Vasileska D. Modeling self-heating in nanoscale devices. IEEE International Conference on Nanotechnology (IEEE-NANO), 2015: 200
|
| [15] |
Kamakura Y, Adisusilo I N, Kukita K, et al. Coupled Monte Carlo simulation of transient electron-phonon transport in small FETs. IEEE International Electron Devices Meeting (IEDM), 2014: 176
|
| [16] |
BSIM CMG, http://bsim.berkeley.edu/models/bsimcmg/, BSIM Group, 2015
|
| [17] |
Pierret R F. Semiconductor device fundamentals. Reading: Addison-Wesley, 1996
|
| [18] |
Fischetti M V, Laux S E. Monte Carlo analysis of electron transport in small semiconductor devices including band-structure and space-charge effects. Phys Rev B, 1988, 38(14): 9721 doi: 10.1103/PhysRevB.38.9721
|
| [19] |
Mohamed M, Aksamija Z, Vitale W, et al. A conjoined electron and thermal transport study of thermal degradation induced during normal operation of multigate transistors. IEEE Trans Electron Devices, 2014, 61(4): 976 doi: 10.1109/TED.2014.2306422
|
| [20] |
Gonzalez B, Palankovski V, Kosina H, et al. An analytical model for the electron energy relaxation time. International Association of Science and Technology for Development (IASTED), 1999: 367
|
| [21] |
Jeon J, Jhon H S, Kang M. Investigation of electrothermal behaviors of 5 nm Bulk FinFET. IEEE Trans Electron Devices, 2017, 64(12): 5284 doi: 10.1109/TED.2017.2766214
|
| [22] |
Wang L, Brown A R, Nedjalkov M, et al. Impact of self-heating on the statistical variability in bulk and SOI FinFETs. IEEE Trans Electron Devices, 2015, 62(7): 2106 doi: 10.1109/TED.2015.2436351
|
| [23] |
https://www.altera.com/products/common/temperature/ind-temp.html, 2017
|
| [24] |
Xie B Q, Bi J S, Li B, et al. The effect of cryogenic temperature characteristics on silicon-based devices and circuits. Microelectronics, 2015, 45(6): 789 (in Chinese)
|
| [25] |
Natarajan S, Agostinelli M, Akbar S, et al. A 14 nm logic technology featuring 2nd-generation FinFET, air-gapped interconnects, self-aligned double patterning and a 0.0588 μm2 SRAM cell size. IEEE International Electron Devices Meeting (IEDM), 2014: 71
|
| [26] |
ITRS. www.itrs2.net/itrs-reports.html, ITRS Reports, 2013
|
| [27] |
Wang J C, Du G, Wei K L, et al. Three-dimensional Monte Carlo simulation of bulk fin field effect transistor. Chin Phys B, 2012, 21(11): 117308 doi: 10.1088/1674-1056/21/11/117308
|
| [28] |
Wei K L, Egley J, Liu X Y, et al. Remote charge scattering: a full Coulomb interaction approach and its impact on silicon nMOS FinFETs with HfO2 gate dielectric. Sci China Inf Sci, 2014, 57(2): 022403
|
| [29] |
Du G, Liu X Y, Han R Q. Quantum Boltzmann equation solved by Monte Carlo method for nanoscale semiconductor devices. Chin Phys, 2006, 15(1): 177 doi: 10.1088/1009-1963/15/1/028
|
| [30] |
Du G, Liu X Y, Xia Z L, et al. Monte Carlo simulation of p- and n-channel GOI MOSFETs by solving the quantum Boltzmann equation. IEEE Trans Electron Devices, 2005, 52(10): 2258 doi: 10.1109/TED.2005.856806
|
| [31] |
Jacoboni C, Reggiani L. The Monte Carlo method for the solution of charge transport in semiconductors with applications to covalent materials. Rev Mod Phys, 1983, 55(3): 645 doi: 10.1103/RevModPhys.55.645
|
| [32] |
Ahn W, Zhang H, Shen T et al. A predictive model for IC self-heating based on effective medium and image charge theories and its implications for interconnect and transistor reliability. IEEE Trans Electron Devices, 2017, 64(9): 3555 doi: 10.1109/TED.2017.2725742
|
| [33] |
Chang C W, Liu S E, Lin B L, et al. Thermal behavior of self-heating effect in FinFET devices acting on back-end interconnects. IEEE International Reliability Physics Symposium (IRPS), 2015: 2F.6.1
|
| [34] |
Wang N, Pi Y, Wang W, et al. Equivalent thermal conductivity model based full scale numerical simulation for thermal management in fan-out packages. IEEE Electronic Components and Technology Conference (ECTC), 2017: 2054
|
| [35] |
Pi Y, Wang W, Chen J, et al. Microfluidic cooling for distributed hot-spots. IEEE Electronic Components and Technology Conference (ECTC), 2016: 903
|
| [36] |
Jagannadham K. Thermal conductivity and interface thermal conductance in films of tungsten-tungsten silicide on Si. IEEE Trans Electron Devices, 2014, 61(6): 1950 doi: 10.1109/TED.2014.2318281
|
| [37] |
Takahashi T, Beppu N, Chen K, et al. Thermal-aware device design of nanoscale bulk/SOI FinFETs: Suppression of operation temperature and its variability. International Electron Devices Meeting (IEDM), 2011: 34.6.1
|
| [38] |
https://www.americanelements.com/hafnium-oxide-12055-23-1
|
| [39] |
Pop E, Sinha S, Goodson K E. Heat generation and transport in nanometer-scale transistors. Proc IEEE, 2006, 94(8): 1587 doi: 10.1109/JPROC.2006.879794
|
| [40] |
Pop E, Goodson K E. Thermal phenomena in nanoscale transistors. J Electron Pack, 2006, 128(2): 102 doi: 10.1115/1.2188950
|
| [41] |
Kolluri S, Endo K, Suzuki E, et al. Modeling and analysis of self-heating in FinFET devices for improved circuit and EOS/ESD performance. IEEE International Electron Devices Meeting, 2007: 177
|
| [42] |
Shrivastava M, Agrawal M, Mahajan S, et al. Physical insight toward heat transport and an improved electrothermal modeling framework for FinFET architectures. IEEE Trans Electron Devices, 2012, 59(5): 1353 doi: 10.1109/TED.2012.2188296
|
| [43] |
Filanovsky I M, Allam A. Mutual compensation of mobility and threshold voltage temperature effects with applications in CMOS circuits. IEEE Trans Circuits Syst I, 2001, 48(7): 876 doi: 10.1109/81.933328
|
| [44] |
Wang R S, Liu H W, Huang R, et al. Experimental investigations on carrier transport in Si nanowire transistors: ballistic efficiency and apparent mobility. IEEE Trans Electron Devices, 2008, 55(11): 2960 doi: 10.1109/TED.2008.2005152
|
| [45] |
Lundstrom M, Ren Z. Essential physics of carrier transport in nanoscale MOSFETs. IEEE Trans Electron Devices, 2002, 49(1): 133 doi: 10.1109/16.974760
|
| [46] |
Prasad C, Jiang L, Singh D, et al. Self-heat reliability considerations on Intel’s 22 nm tri-gate technology. IEEE International Reliability Physics Symposium (IRPS), 2013: 5D.1.1
|
Journal of Semiconductors © 2017 All Rights Reserved 京ICP備05085259號-2