J. Semicond. > 2018, Volume 39?>?Issue 9?> 094010

SEMICONDUCTOR DEVICES

Multivariate rational regression and its application in semiconductor device modeling

Yuxi Hong, Dongsheng Ma and Zuochang Ye

+ Author Affiliations

 Corresponding author: Zuochang Ye, zuochang@tsinghua.edu.cn

DOI: 10.1088/1674-4926/39/9/094010

PDF

Turn off MathJax

Abstract: Physics equation-based semiconductor device modeling is accurate but time and money consuming. The need for studying new material and devices is increasing so that there has to be an efficient and accurate device modeling method. In this paper, two methods based on multivariate rational regression (MRR) for device modeling are proposed. They are single-pole MRR and double-pole MRR. The two MRR methods are proved to be powerful in nonlinear curve fitting and have good numerical stability. Two methods are compared with OLS and LASSO by fitting the SMIC 40 nm MOS-FET I–V characteristic curve and the normalized mean square error of Single-pole MRR is $3.02 \times {10^{{\rm{ - }}8}}$ which is 4 magnitudes less than an ordinary least square. The I–V characteristics of CNT-FET and performance indicators (noise factor, gain, power) of a low noise amplifier are also modeled by using MRR methods. The results show MRR methods are very powerful methods for semiconductor device modeling and have a strong nonlinear curve fitting ability.

Key words: multivariate rational regressionMRRsemiconductor device modelingvector fitting



[1]
Sheu B J, Scharfetter D L, Ko P K, et al. BSIM: Berkeley short-channel IGFET model for MOS transistors. IEEE J Solid-State Circuits, 1987, 22(4): 558 doi: 10.1109/JSSC.1987.1052773
[2]
Waldrop M M. The chips are down for Moore’s law. Nature, 2016, 530(7589): 144 doi: 10.1038/530144a
[3]
Kim S H, Song W, Jung M W, et al. Carbon nanotube and graphene hybrid thin film for transparent electrodes and field effect transistors. Adv Mater, 2014, 26(25): 4247 doi: 10.1002/adma.v26.25
[4]
Chen B, Zhang P, Ding L, et al. Highly uniform carbon nanotube field-effect transistors and medium scale integrated circuits. Nano Lett, 2016, 16(8): 5120 doi: 10.1021/acs.nanolett.6b02046
[5]
Grivet-Talocia S, Gustavsen B. Black-box macromodeling and curve fitting, in passive macromodeling: theory and applications. John Wiley & Sons, Inc, 2015
[6]
Ba?uelos-Cabral E S, Gutiérrez-Robles J A, Gustavsen B. Rational fitting techniques for the modeling of electric power components and systems using MATLAB environment. InTech, 2017
[7]
Grivet-Talocia S, Gustavsen B. Black-box macromodeling and its EMC applications. IEEE Electromagn Compat Mag, 2016, 5(3): 71
[8]
Ba?uelos-Cabral E S, Gutiérrez-Robles J A, Gustavsen B, et al. Enhancing the accuracy of rational function-based models using optimization. Electr Power Syst Res, 2015, 125: 83 doi: 10.1016/j.jpgr.2015.04.001
[9]
Avouris P, Chen Z H, Perebeinos V. Carbon-based electronics. Nat Nanotechnol, 2017, 2(10): 605
[10]
Che Y C, Chen H T, Gui H, et al. Review of carbon nanotube nanoeletronics and macroelectronics. Semicond Sci Technol, 2014, 29(7): 073001 doi: 10.1088/0268-1242/29/7/073001
[11]
Derenskyi V, Gomulya W, Rios J M S, et al. Carbon nanotube network ambipolar field‐effect transistors with 108 on/off ratio. Adv Mater, 2014, 26(34): 5969 doi: 10.1002/adma.201401395
[12]
Friedman J, Hastie T, Tibshirani R. The elements of statistical learning. New York: Springer, 2001
[13]
Levy E C. Complex-curve fitting. IRE Trans Autom Control, 1959, 4(1): 37
[14]
Sanathanan C, Koerner J. Transfer function synthesis as a ratio of two complex polynomials. IEEE Trans Autom Control, 1963, 8(1): 56 doi: 10.1109/TAC.1963.1105517
[15]
Lawrence P J, Rogers G J. Sequential transfer-function synthesis from measured data. Proceedings of the Institution of Electrical Engineers, 1979, 126(1): 104 doi: 10.1049/piee.1979.0020
[16]
Whitfield A H. Transfer function synthesis using frequency response data. Int J Control, 1986, 43(5): 1413 doi: 10.1080/00207178608933548
[17]
Pintelon R, Guillaume P, Rolain Y, et al. Parametric identification of transfer functions in the frequency domain-a survey. IEEE Trans Autom Control, 1994, 39(11): 2245 doi: 10.1109/9.333769
[18]
Gustavsen B, Semlyen A. Rational approximation of frequency domain responses by vector fitting. IEEE Trans Power Deliv, 1999, 14(3): 1052 doi: 10.1109/61.772353
[19]
Grivet-Talocia S, Gustavsen B. The vector fitting algorithm, in passive macromodeling: theory and applications. John Wiley & Sons, Inc, 2015
Fig. 1.  (Color online) The original function and MRR fitting function. (a) Original artificial function. (b) Single-pole MRR fitting result. (c) Step NMSEs of single-pole MRR. (d) Step NMSEs of double-pole MRR.

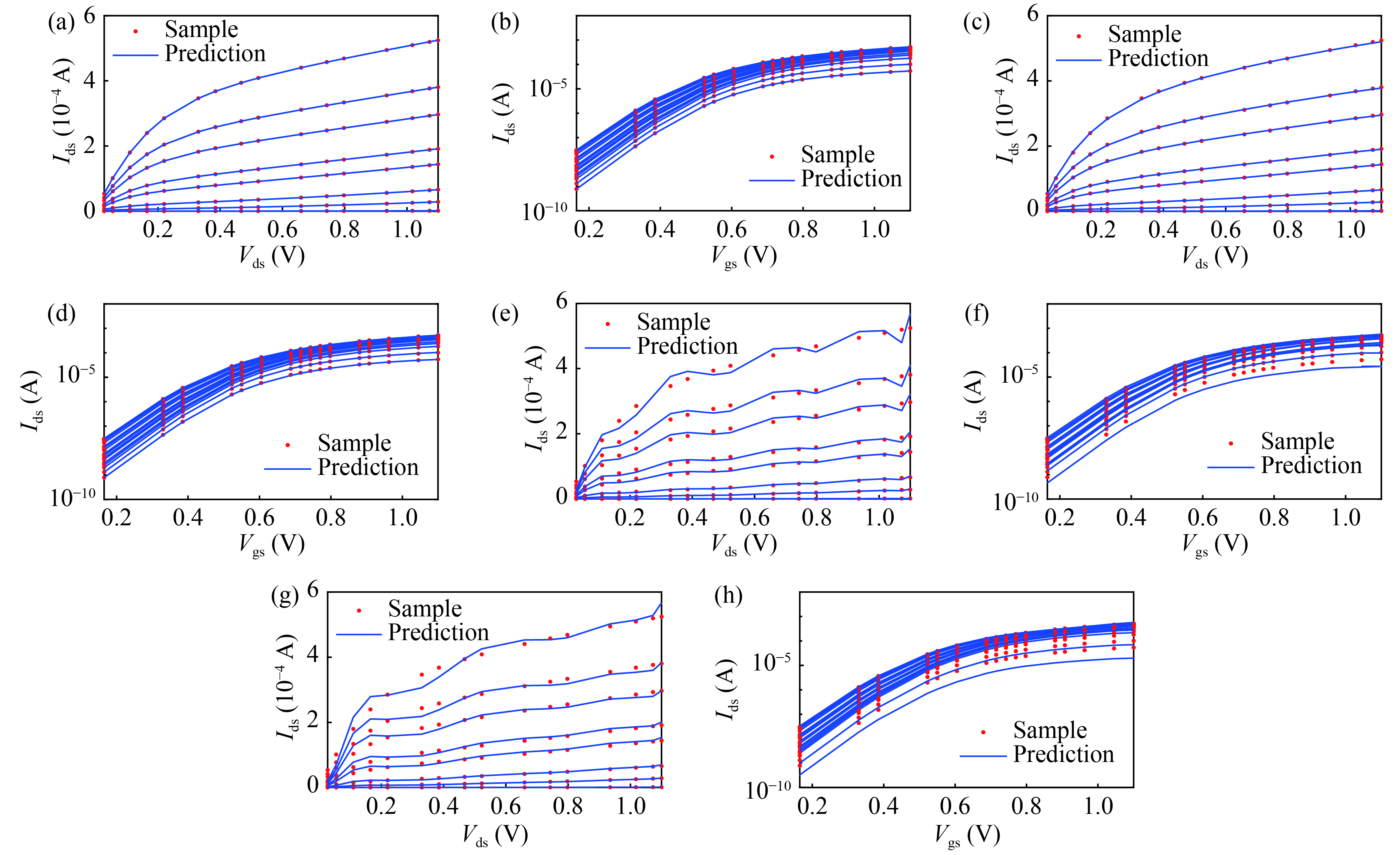
Fig. 2.  (Color online) The fitting results of different algorithms. (a) IdVd curve by single-pole MRR. (b) IdVg curve by single-pole MRR. (c) IdVd curve by double-pole MRR. (d) IdVg curve by double-pole MRR. (e) IdVd curve by OLS. (f) IdVg curve by OLS. (g) IdVd curve by LASSO. (h) IdVg curve by LASSO.

Fig. 3.  (Color online) Zoom-in pictures of IdVg curves fitting by different algorithms. (a) Zoom-in of IdVg curve by single-pole MRR, Vg ranges from 0.15 to 0.45 V. (b) Zoom-in of IdVg curve by single-pole MRR, Vg ranges from 0.65 to 1.1 V. (c) Zoom-in of IdVg curve by double-pole MRR, Vg ranges from 0.15 to 0.45 V. (d) Zoom-in of IdVg curve by double-pole MRR, Vg ranges from 0.65 to 1.1 V. (e) Zoom-in of IdVg curve by OLS, Vg ranges from 0.15 to 0.45 V. (f) Zoom-in of IdVg curve by single-pole MRR, Vg ranges from 0.65 to 1.1 V. (g) Zoom-in of IdVg curve by LASSO, Vg ranges from 0.15 to 0.45 V. (h) Zoom-in of IdVg curve by LASSO, Vg ranges from 0.65 to 1.1 V.

Fig. 4.  (Color online) Step NMSEs of two MRR methods in different polynomial degrees. (a) Step NMSEs of MRR methods in the situation of a polynomial of high degree. (b) Step NMSEs of MRR methods in the situation of a polynomial of low degree.

Fig. 5.  (Color online) The observed CNT-FET data point surface and MRR fitting surface. (a) Original data of CNT-FET. (b) Single-pole MRR fitting result.

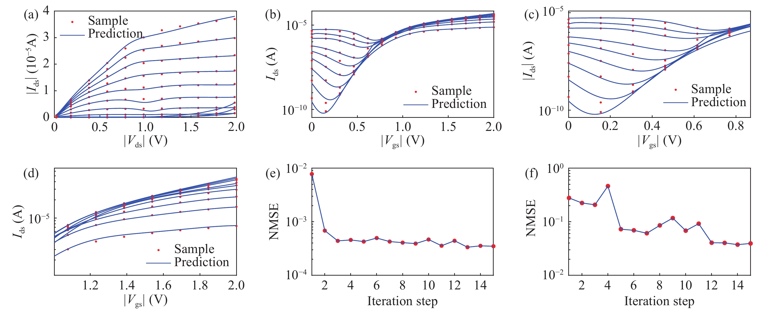
Fig. 6.  (Color online) |Id|–|Vd|, |Id|–|Vg| curves and step NMSEs by MRR methods. (a) |Id|–|Vd| curve by single-pole MRR. (b) |Id|–|Vg| curve by single-pole MRR. (c) Zoom-in |Id|–|Vg| curve, Vg ranges from 0–0.8 V. (d) Zoom-in |Id|–|Vg| curve, Vg ranges from 1–2 V. (e) Step NMSEs of single-pole MRR. (f) Step NMSEs of double-pole MRR.

Fig. 7.  (Color online) The original function and MRR fitting function. (a) Noise factor fitting by single-pole MRR. (b) Gain fitting by single-pole MRR. (c) Power fitting by single-pole MRR.(d) Step NMSEs of single-pole MRR for noise factor. (e) Step NMSEs of single-pole MRR for gain. (f) Step NMSEs of single-pole MRR for power. (g) Step NMSEs of double-pole MRR for noise factor. (h) Step NMSEs of double-pole MRR for gain. (i) Step NMSEs of double-pole MRR for power.

Table 1.   NMSE and parameters number results of different algorithms.

Algorithm Single-pole MRR
(sextic polynomial)
Double-pole MRR
(quartic polynomial)
OLS
(nonic polynomial)
LASSO
(nonic polynomial)
Parameter 55 58 55 36
NMSE 3.0157 × 10–8 2.631 × 10–6 4.357 × 10–4 5.082 × 10–4
DownLoad: CSV
[1]
Sheu B J, Scharfetter D L, Ko P K, et al. BSIM: Berkeley short-channel IGFET model for MOS transistors. IEEE J Solid-State Circuits, 1987, 22(4): 558 doi: 10.1109/JSSC.1987.1052773
[2]
Waldrop M M. The chips are down for Moore’s law. Nature, 2016, 530(7589): 144 doi: 10.1038/530144a
[3]
Kim S H, Song W, Jung M W, et al. Carbon nanotube and graphene hybrid thin film for transparent electrodes and field effect transistors. Adv Mater, 2014, 26(25): 4247 doi: 10.1002/adma.v26.25
[4]
Chen B, Zhang P, Ding L, et al. Highly uniform carbon nanotube field-effect transistors and medium scale integrated circuits. Nano Lett, 2016, 16(8): 5120 doi: 10.1021/acs.nanolett.6b02046
[5]
Grivet-Talocia S, Gustavsen B. Black-box macromodeling and curve fitting, in passive macromodeling: theory and applications. John Wiley & Sons, Inc, 2015
[6]
Ba?uelos-Cabral E S, Gutiérrez-Robles J A, Gustavsen B. Rational fitting techniques for the modeling of electric power components and systems using MATLAB environment. InTech, 2017
[7]
Grivet-Talocia S, Gustavsen B. Black-box macromodeling and its EMC applications. IEEE Electromagn Compat Mag, 2016, 5(3): 71
[8]
Ba?uelos-Cabral E S, Gutiérrez-Robles J A, Gustavsen B, et al. Enhancing the accuracy of rational function-based models using optimization. Electr Power Syst Res, 2015, 125: 83 doi: 10.1016/j.jpgr.2015.04.001
[9]
Avouris P, Chen Z H, Perebeinos V. Carbon-based electronics. Nat Nanotechnol, 2017, 2(10): 605
[10]
Che Y C, Chen H T, Gui H, et al. Review of carbon nanotube nanoeletronics and macroelectronics. Semicond Sci Technol, 2014, 29(7): 073001 doi: 10.1088/0268-1242/29/7/073001
[11]
Derenskyi V, Gomulya W, Rios J M S, et al. Carbon nanotube network ambipolar field‐effect transistors with 108 on/off ratio. Adv Mater, 2014, 26(34): 5969 doi: 10.1002/adma.201401395
[12]
Friedman J, Hastie T, Tibshirani R. The elements of statistical learning. New York: Springer, 2001
[13]
Levy E C. Complex-curve fitting. IRE Trans Autom Control, 1959, 4(1): 37
[14]
Sanathanan C, Koerner J. Transfer function synthesis as a ratio of two complex polynomials. IEEE Trans Autom Control, 1963, 8(1): 56 doi: 10.1109/TAC.1963.1105517
[15]
Lawrence P J, Rogers G J. Sequential transfer-function synthesis from measured data. Proceedings of the Institution of Electrical Engineers, 1979, 126(1): 104 doi: 10.1049/piee.1979.0020
[16]
Whitfield A H. Transfer function synthesis using frequency response data. Int J Control, 1986, 43(5): 1413 doi: 10.1080/00207178608933548
[17]
Pintelon R, Guillaume P, Rolain Y, et al. Parametric identification of transfer functions in the frequency domain-a survey. IEEE Trans Autom Control, 1994, 39(11): 2245 doi: 10.1109/9.333769
[18]
Gustavsen B, Semlyen A. Rational approximation of frequency domain responses by vector fitting. IEEE Trans Power Deliv, 1999, 14(3): 1052 doi: 10.1109/61.772353
[19]
Grivet-Talocia S, Gustavsen B. The vector fitting algorithm, in passive macromodeling: theory and applications. John Wiley & Sons, Inc, 2015
  • Search

    Advanced Search >>

    GET CITATION

    shu

    Export: BibTex EndNote

    Article Metrics

    Article views: 5016 Times PDF downloads: 70 Times Cited by: 0 Times

    History

    Received: 07 January 2018 Revised: 12 March 2018 Online: Uncorrected proof: 25 April 2018Accepted Manuscript: 26 April 2018Published: 01 September 2018

    Catalog

      Email This Article

      User name:
      Email:*請輸入正確郵箱
      Code:*驗證碼錯誤
      Yuxi Hong, Dongsheng Ma, Zuochang Ye. Multivariate rational regression and its application in semiconductor device modeling[J]. Journal of Semiconductors, 2018, 39(9): 094010. doi: 10.1088/1674-4926/39/9/094010 ****Y X Hong, D S Ma, Z C Ye, Multivariate rational regression and its application in semiconductor device modeling[J]. J. Semicond., 2018, 39(9): 094010. doi: 10.1088/1674-4926/39/9/094010.
      Citation:
      Yuxi Hong, Dongsheng Ma, Zuochang Ye. Multivariate rational regression and its application in semiconductor device modeling[J]. Journal of Semiconductors, 2018, 39(9): 094010. doi: 10.1088/1674-4926/39/9/094010 ****
      Y X Hong, D S Ma, Z C Ye, Multivariate rational regression and its application in semiconductor device modeling[J]. J. Semicond., 2018, 39(9): 094010. doi: 10.1088/1674-4926/39/9/094010.

      Multivariate rational regression and its application in semiconductor device modeling

      DOI: 10.1088/1674-4926/39/9/094010
      More Information
      • Corresponding author: zuochang@tsinghua.edu.cn
      • Received Date: 2018-01-07
      • Revised Date: 2018-03-12
      • Published Date: 2018-09-01

      Catalog

        /

        DownLoad:  Full-Size Img  PowerPoint
        Return
        Return