SEMICONDUCTOR MATERIALS
F. A. Mahmoud1, 2, and Ninet Ahmed3
Corresponding author: F. A. Mahmoud, E-mail address: fawzyhameed@yahoo.com
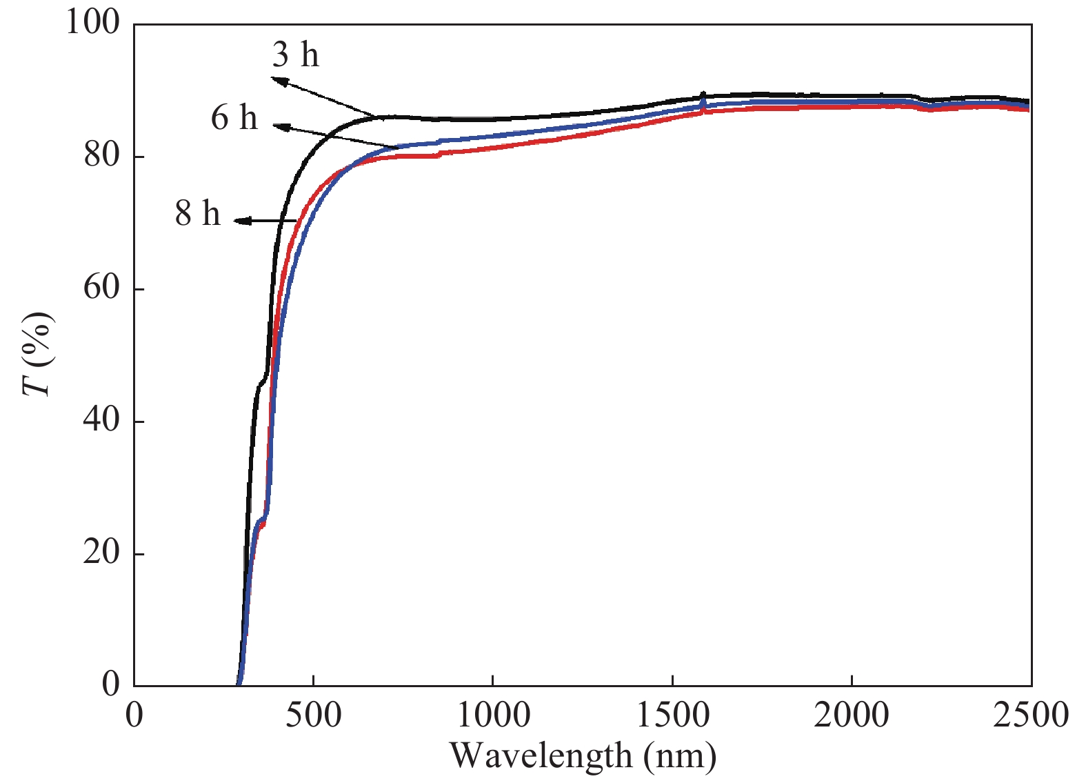
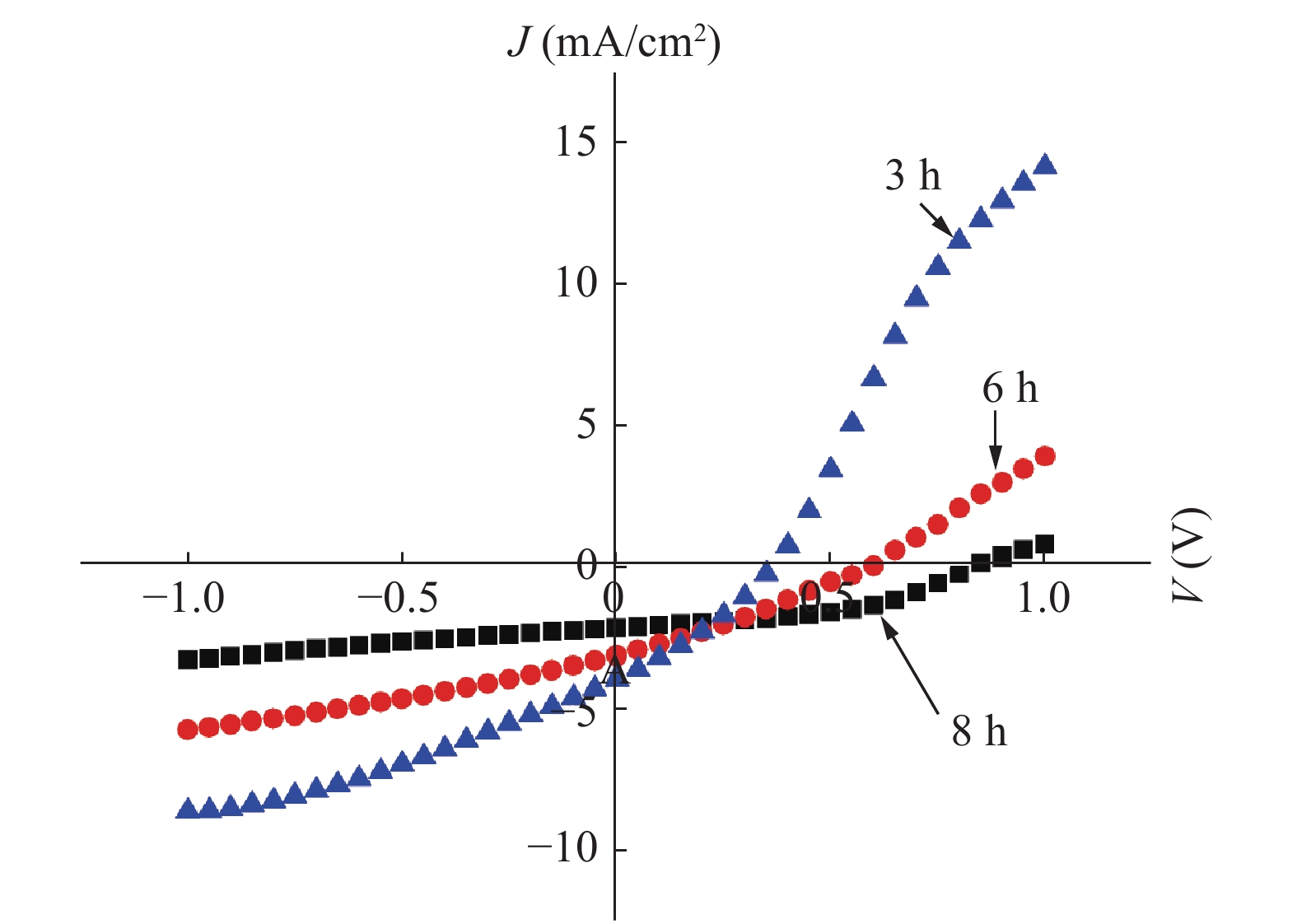
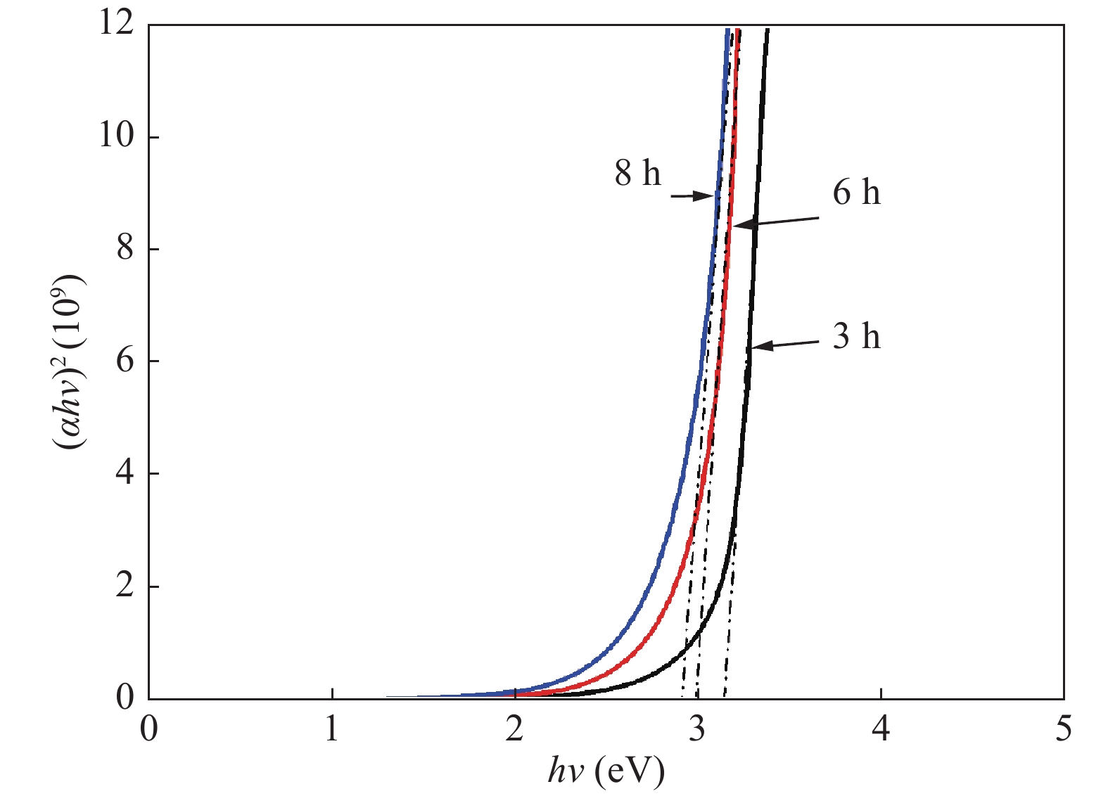
Abstract: ZnO nanowires (NWs) layers have been synthesized using a two-step chemical solution method on ITO glass substrates coated with ZnO seeds at different immersing times. The structures, morphology and optical properties of the synthesized ZnO NWs have been investigated. The prepared ZnO NWs have an obvious polycrystalline hexangular wurtzite structure and are preferentially oriented along the c-axis (002). FESEM micrographs showed that the prepared ZnO NWs are close to being vertically grown and more densely at higher immersing times. Poly [2-methoxy-5(2′-ethyl-hexyloxy)-1,4-phenylenevinylene], MEH-PPV, was used as an active layer to prepare three samples of MEH-PPV/ZnO solar cell based on ZnO NWs that were prepared at different immersing times. A maximum power conversion efficiency of 0.812% was achieved for MEH-PPV/ZnO solar cell prepared at a higher immersing time. The improved efficiency may be attributed to the enhancement of both open-circuit voltage and fill factor.
Key words: ZnO nanowires, two step chemical solution method, structural properties, optical properties, MEH-PPV/ZnO?solar?cell
| [1] |
Osterhout S D. Hybrid polymer solar cells based on ZnO. PhD Thesis, Eindhoven Technical University, 2011
|
| [2] |
Yaguang W, Chen X, Sheng X, et al. Planar waveguide-nanowire integrated three-dimensional dye-sensitized solar cells. Nano Lett, 2010, 10(6): 2092 doi: 10.1021/nl1005433
|
| [3] |
Tredici I G, Resmini A, Yaghmaie F, et al. A simple two-step solution chemistry method for synthesis of micro patterned ZnO nanorods based on metal-loaded hydrogels. Thin Solid Films, 2012, 526: 22 doi: 10.1016/j.tsf.2012.10.052
|
| [4] |
Ho G W, Wong A S W. One step solution synthesis towards ultra-thin and uniform single-crystalline ZnO nanowires. Appl Phys A, 2007, 86(4): 457 doi: 10.1007/s00339-006-3798-3
|
| [5] |
Yangyang Z, Ram M K, Stefanakos E K, et al. Synthesis, characterization, and applications of ZnO nanowires. J Nanomater, 2012, 2012: 20
|
| [6] |
Bauer C, Boschloo G. Recombination in Ru(dcbpy)2, sensitized nanostructured ZnO. J Phys Chem B, 2001, 105: 5585 doi: 10.1021/jp004121x
|
| [7] |
Myo T H, Minori I. Photoluminescence properties and morphology of submicron-sized ZnO crystals prepared by ultrasonic spray pyrolysis. J Appl Phys, 2008, 47: 541 doi: 10.1143/JJAP.47.541
|
| [8] |
Quintana M, Edvinsson T, Hagfeldt A, et al. Comparison of dye-sensitized ZnO and TiO2 solar cells: studies of change transport and carrier lifetime. J Phys Chem C, 2007, 111: 1035 doi: 10.1021/jp065948f
|
| [9] |
Quintana M, Marinado T, Nonomura K, et al. Organic chromophone-sensitized ZnO solar cells: electrolyte-dependent dye desorption and band-edge shifts. J Photochem Photobiol A, 2009, 202: 159 doi: 10.1016/j.jphotochem.2008.11.024
|
| [10] |
Gonzalez V I, Lira-Cantu M. Vertically-aligned nanostructures of ZnO for exitonic solar cells. J Energy Environ Sci, 2009, 2: 1 doi: 10.1039/b822219n
|
| [11] |
Chergui Y, Nehaoua N. Photovoltaic characteristics of ZnO nanotube dye-sensitized solar cells and TiO2 nanostructure. Res Rev: J Mater Sci, 2013, 1(2): 18
|
| [12] |
Glushenkov A, Chen Y. Synthesis of ZnO nanowires using ball-milling and annealing method. Mater Forum, 2006, 30: 1
|
| [13] |
Al-Asadi A S, Henley L A, Ghosh S, et al. Fabrication and characterization of ultraviolet photosensors from ZnO nanowires prepared using chemical bath deposition method. J Appl Phys, 2016, 119(8): 084306 doi: 10.1063/1.4942653
|
| [14] |
Mc Peak K M, Baxte J B. ZnO nanowires grown by chemical bath deposition in a continuous flow microreactor. Cryst Growth Des, 2009, 9(10): 4538 doi: 10.1021/cg900551f
|
| [15] |
Chevalier-César C, Capochichi-Gnambodo M. Growth mechanism studies of ZnO nanowire arrays via hydrothermal method. Appl Phys A, 2014, 115(3): 953 doi: 10.1007/s00339-013-7908-8
|
| [16] |
Shim J B, Chang H. rapid hydrothermal synthesis of zinc oxide nanowires by annealing methods on seed layers. J Nanomater, 2011, 2011: 25
|
| [17] |
García C M, Valdés E D, Mercado A M P, et al. Synthesis of aluminum-doped zinc oxide nanowires hydrothermally grown on plastic substrate. Adv Mater Phys Chem, 2012, 2: 56 doi: 10.4236/ampc.2012.24B016
|
| [18] |
Hu L L. Electrochemical growth and characterization of ZnO nanowire. Master of Applied Science in Electrical and Computer Engineering, Waterloo, Ontario, Canada, 2014
|
| [19] |
Nayak A P, Katzenmeyer A. Sonochemical synthesis of zinc oxide nanowire arrays on silicon and glass substrates. Proceedings of The National Conference On Undergraduate Research (NCUR), 2010
|
| [20] |
Qiu Z, Gong H, Yang X, et al. Phosphorus concentration dependent microstructure and optical property of ZnO nanowires grown by high-pressure pulsed laser deposition. J Phys Chem C, 2015, 119(8): 4371 doi: 10.1021/jp511872c
|
| [21] |
Shin S, Park J, Seo Y, et al. Selective growth of vertical and horizontal ZnO nanowires for device applications. J Kor Phys Soc, 2008, 53(4): 2011 doi: 10.3938/jkps.53.2011
|
| [22] |
Hsueh T J, Chen Y W, Chang S J, et al. ZnO nanowire-based CO sensors prepared at various temperatures. J Electrochem Soc, 2007, 154(12): 393 doi: 10.1149/1.2789813
|
| [23] |
Noor R, Riaz S, Naseem S. A comparative study of ZnO thin films, nanowires and nanotubes for photovoltaics applications. The 2012 World Congress onAdvances in Civil, Environmental, and Materials Research (ACEM’ 12), 2012: 26
|
| [24] |
Htay M T, Hashimoto Y. Field emission property of ZnO nanowires prepared by ultrasonic spray pyrolysis. Superlattices Microstruct, 2015, 84: 144 doi: 10.1016/j.spmi.2015.05.003
|
| [25] |
Karimipour M, Molaei M, Allahyar S. Tunable luminescence of pure ZnO nanowires prepared by microwave irradiation in ethanol. J Mater Sci: Mater Electron, 2016, 27(5): 4771 doi: 10.1007/s10854-016-4357-0
|
| [26] |
Lupan O, Emelchenko G A, Ursaki V V, et al. Synthesis and characterization of ZnO nanowires for nanosensor applications. Mater Res Bull, 2010, 45(8): 1026 doi: 10.1016/j.materresbull.2010.03.027
|
| [27] |
Kao T H, Chen J Y, Chiu C H, et al. Opto-electrical properties of Sb-doped p-type ZnO nanowires. Appl Phys Lett, 2014, 104(11): 111909 doi: 10.1063/1.4869355
|
| [28] |
Lin C C, Lin W H, Li Y Y. Synthesis of ZnO nanowires and their applications as an ultraviolet photodetector. J Nanosci Nanotechnol, 2009, 9(5): 2813 doi: 10.1166/jnn.2009.008
|
| [29] |
Yang X, Chen Z, Xie X, et al. Enhanced response speed of ZnO nanowire photodetector by coating with photoresist. J Nanomater, 2016, 2016: 6
|
| [30] |
Zhang X Z, Jian X G, Zhu L W. Materials and devices research of PPV-ZnO nanowires for heterojunction solar cells. J Nanomater, 2012, 2012: 1
|
| [31] |
Major J D, Tena-Zaera R, Azaceta E, et al. Development of ZnO nanowire based CdTe thin film solar cells. Sol Energy Mater Sol Cells, 2017, 160: 107 doi: 10.1016/j.solmat.2016.10.024
|
| [32] |
Tena-Zaera R, Ryan M A, Katty A, et al. Fabrication and characterization of ZnO nanowires/CdSe/CuSCN eta-solar cell. C R Chimie, 2009, 9(5/6): 717
|
| [33] |
Liu J, Wang S, Bian Z, et al. Organic/inorganic hybrid solar cells with vertically oriented ZnO nanowires. Appl Phys Lett, 2009, 94(17): 173107 doi: 10.1063/1.3126955
|
| [34] |
Afifi A, Tabatabaei M K. Efficiency investigation of dye-sensitized solar cells based on the zinc oxide nanowires. Orient J Chem, 2014, 30(1): 155 doi: 10.13005/ojc
|
| [35] |
Kim H, Jeong H, An T K, et al. Hybrid-type quantum-dot cosensitized ZnO nanowire solar cell with enhanced visible-light harvesting. CS Appl Mater Interfaces, 2013, 5(2): 268 doi: 10.1021/am301960h
|
| [36] |
Dymshits A, Iagher L, Etgar L. Parameters influencing the growth of ZnO nanowires as efficient low temperature flexible perovskite-based solar cells. Materials, 2016, 9(1): 60 doi: 10.3390/ma9010060
|
| [37] |
Zhang M L, Jin F, Zheng M L, et al. High efficiency solar cell based on ZnO nanowire array prepared by different growth methods. RSC Adv, 2014, 4(21): 10462 doi: 10.1039/c3ra47146b
|
| [38] |
Zhang J T, He M, Fu N Q, et al. Facile one-step synthesis of highly branched ZnO nanostructures on titanium foil for flexible dyesensitized solar cells. Nanoscale, 2014, 6: 4211 doi: 10.1039/c3nr05494b
|
| [39] |
Tiwale N. Zinc Oxide nanowire gas sensors: fabrication, functionalisation and devices. Mater Sci Technol, 2015, 31(14): 1681 doi: 10.1179/1743284714Y.0000000747
|
| [40] |
Habib M, Hussain S S, Riaz S, et al. Preparation and characterization of ZnO nanowires and their applications in CO2 gas sensors. Mater Today: Proc, 2015, 2(10): 5714 doi: 10.1016/j.matpr.2015.11.116
|
| [41] |
Pauporté T, Lupan O, Zhang J, et al. Low-temperature preparation of Ag-doped ZnO nanowire arrays, DFT study, and application to light-emitting diode. ACS Appl Mater Interfaces, 2015, 7(22): 11871 doi: 10.1021/acsami.5b01496
|
| [42] |
Ma C, Zhou Z, Wei H, et al. Rapid Large-scale preparation of ZnO nanowires for photocatalytic application. Nanoscale Res Lett, 2011, 6(1): 536 doi: 10.1186/1556-276X-6-536
|
| [43] |
Zhou Q, Wen J Z, Zhao P, et al. Synthesis of vertically-aligned zinc oxide nanowires and their application as photocatalyst. Nanomaterials, 2017, 7(1): 9 doi: 10.3390/nano7010009
|
| [44] |
Momeni M M. One-step synthesis of ZnO nanowires on zinc foils and their photocatalytic properties. Ind J Chem, 2016, 55A: 686
|
| [45] |
Mejía-García C, Elvia D, Marco A A, et al. Influence of the hydrothermal method growth parameters on the zinc oxide nanowires deposited on several substrates. J Nanomater, 2014, 2014: 9
|
| [46] |
Alaie Z, Mohammad Nejad S, Yousefi M H, et al. The effects of different seed layers and growth time on the quality of ZnO NRs array. Int J Nanosci Nanotechnol, 2016, 12(2): 119
|
| [47] |
Sagar P, Shishodiaa P K, Mehraa R M, et al. Photoluminescence and absorption in sol–gel-derived ZnO films. J Lumine, 2007, 126: 800 doi: 10.1016/j.jlumin.2006.12.003
|
| [48] |
Aziz N D A, Rusdi R, Kamarulzaman N. Studies of MEH-PPV and MEH-PPV/MCMB films and their light absorption in the red wavelength region of the visible spectrum. Adv Mater Res, 2012, 545: 308 doi: 10.4028/www.scientific.net/AMR.545
|
| [49] |
Clotaire C C, Martine C G, Fang L, et al. Effect of growth time and annealing on the structural defect concentration of hydrothermally grown ZnO nanowires. AIMS Mater Sci, 2016, 3(2): 562 doi: 10.3934/matersci.2016.2.562
|
| [50] |
Xu Z Y, Zhang D H, Wang Q P, et al. The blue photoluminescence emitted from ZnO films deposited on glass substrate by RF magnetron sputtering. Appl Surf Sci, 2002, 195(1–4): 126 doi: 10.1016/S0169-4332(02)00547-0
|
| [51] |
Omer B M. Optical properties of MEH-PPV and MEH-PPV/[6,6]-Phenyl C61-butyric Acid 3-ethylthiophene ester thin films. J Nano-Electron, 2012, 4(4): 04006
|
| [52] |
Shim W H, Park M Y, Park D S, et al. Effect of sol-gel prepared ZnO electron selective layer on the performance of inverted organic solar cells. Mol Cryst Liq Cryst, 2011, 538(1): 164 doi: 10.1080/15421406.2011.563714
|
| [53] |
Xue Z S, Zhang W, Yin X, et al. Enhanced conversion efficiency of flexible dye-sensitized solar cells by optimization of the nanoparticle size with an electrophoretic deposition technique. RSC Adv, 2012, 2: 7074 doi: 10.1039/c2ra20542d
|
| [54] |
Hu F Y, Xia Y J, Guan Z S, et al. Low temperature fabrication of ZnO compact layer for high performance plastic dye-sensitized ZnO solar cells. Electrochim Acta, 2012, 69: 97 doi: 10.1016/j.electacta.2012.02.084
|
| [55] |
Yang R Y, Chen H Y, Lai F D. Performance degradation of dye-sensitized solar cells induced by electrolytes. Adv Maters Sci Eng, 2012, 2012: 1
|
Table 1. Photovoltaic parameters of Al/MoO3/MEH-PPV/ZnO NWs/ ZnO seed/ITO solar cells sensitized at different immersing times.
| Immersing time | JSC (mA/cm2) | VOC (V) | FF | Rs (Ω) | Rsh (Ω) | η (%) |
| 3 h | 3.39 | 0.358 | 0.34 | 51.46 | 211 | 0.411 |
| 6 h | 3.10 | 0.633 | 0.27 | 100 | 235 | 0.523 |
| 8 h | 2.14 | 0.835 | 0.46 | 166 | 847 | 0.812 |
DownLoad: CSV
| [1] |
Osterhout S D. Hybrid polymer solar cells based on ZnO. PhD Thesis, Eindhoven Technical University, 2011
|
| [2] |
Yaguang W, Chen X, Sheng X, et al. Planar waveguide-nanowire integrated three-dimensional dye-sensitized solar cells. Nano Lett, 2010, 10(6): 2092 doi: 10.1021/nl1005433
|
| [3] |
Tredici I G, Resmini A, Yaghmaie F, et al. A simple two-step solution chemistry method for synthesis of micro patterned ZnO nanorods based on metal-loaded hydrogels. Thin Solid Films, 2012, 526: 22 doi: 10.1016/j.tsf.2012.10.052
|
| [4] |
Ho G W, Wong A S W. One step solution synthesis towards ultra-thin and uniform single-crystalline ZnO nanowires. Appl Phys A, 2007, 86(4): 457 doi: 10.1007/s00339-006-3798-3
|
| [5] |
Yangyang Z, Ram M K, Stefanakos E K, et al. Synthesis, characterization, and applications of ZnO nanowires. J Nanomater, 2012, 2012: 20
|
| [6] |
Bauer C, Boschloo G. Recombination in Ru(dcbpy)2, sensitized nanostructured ZnO. J Phys Chem B, 2001, 105: 5585 doi: 10.1021/jp004121x
|
| [7] |
Myo T H, Minori I. Photoluminescence properties and morphology of submicron-sized ZnO crystals prepared by ultrasonic spray pyrolysis. J Appl Phys, 2008, 47: 541 doi: 10.1143/JJAP.47.541
|
| [8] |
Quintana M, Edvinsson T, Hagfeldt A, et al. Comparison of dye-sensitized ZnO and TiO2 solar cells: studies of change transport and carrier lifetime. J Phys Chem C, 2007, 111: 1035 doi: 10.1021/jp065948f
|
| [9] |
Quintana M, Marinado T, Nonomura K, et al. Organic chromophone-sensitized ZnO solar cells: electrolyte-dependent dye desorption and band-edge shifts. J Photochem Photobiol A, 2009, 202: 159 doi: 10.1016/j.jphotochem.2008.11.024
|
| [10] |
Gonzalez V I, Lira-Cantu M. Vertically-aligned nanostructures of ZnO for exitonic solar cells. J Energy Environ Sci, 2009, 2: 1 doi: 10.1039/b822219n
|
| [11] |
Chergui Y, Nehaoua N. Photovoltaic characteristics of ZnO nanotube dye-sensitized solar cells and TiO2 nanostructure. Res Rev: J Mater Sci, 2013, 1(2): 18
|
| [12] |
Glushenkov A, Chen Y. Synthesis of ZnO nanowires using ball-milling and annealing method. Mater Forum, 2006, 30: 1
|
| [13] |
Al-Asadi A S, Henley L A, Ghosh S, et al. Fabrication and characterization of ultraviolet photosensors from ZnO nanowires prepared using chemical bath deposition method. J Appl Phys, 2016, 119(8): 084306 doi: 10.1063/1.4942653
|
| [14] |
Mc Peak K M, Baxte J B. ZnO nanowires grown by chemical bath deposition in a continuous flow microreactor. Cryst Growth Des, 2009, 9(10): 4538 doi: 10.1021/cg900551f
|
| [15] |
Chevalier-César C, Capochichi-Gnambodo M. Growth mechanism studies of ZnO nanowire arrays via hydrothermal method. Appl Phys A, 2014, 115(3): 953 doi: 10.1007/s00339-013-7908-8
|
| [16] |
Shim J B, Chang H. rapid hydrothermal synthesis of zinc oxide nanowires by annealing methods on seed layers. J Nanomater, 2011, 2011: 25
|
| [17] |
García C M, Valdés E D, Mercado A M P, et al. Synthesis of aluminum-doped zinc oxide nanowires hydrothermally grown on plastic substrate. Adv Mater Phys Chem, 2012, 2: 56 doi: 10.4236/ampc.2012.24B016
|
| [18] |
Hu L L. Electrochemical growth and characterization of ZnO nanowire. Master of Applied Science in Electrical and Computer Engineering, Waterloo, Ontario, Canada, 2014
|
| [19] |
Nayak A P, Katzenmeyer A. Sonochemical synthesis of zinc oxide nanowire arrays on silicon and glass substrates. Proceedings of The National Conference On Undergraduate Research (NCUR), 2010
|
| [20] |
Qiu Z, Gong H, Yang X, et al. Phosphorus concentration dependent microstructure and optical property of ZnO nanowires grown by high-pressure pulsed laser deposition. J Phys Chem C, 2015, 119(8): 4371 doi: 10.1021/jp511872c
|
| [21] |
Shin S, Park J, Seo Y, et al. Selective growth of vertical and horizontal ZnO nanowires for device applications. J Kor Phys Soc, 2008, 53(4): 2011 doi: 10.3938/jkps.53.2011
|
| [22] |
Hsueh T J, Chen Y W, Chang S J, et al. ZnO nanowire-based CO sensors prepared at various temperatures. J Electrochem Soc, 2007, 154(12): 393 doi: 10.1149/1.2789813
|
| [23] |
Noor R, Riaz S, Naseem S. A comparative study of ZnO thin films, nanowires and nanotubes for photovoltaics applications. The 2012 World Congress onAdvances in Civil, Environmental, and Materials Research (ACEM’ 12), 2012: 26
|
| [24] |
Htay M T, Hashimoto Y. Field emission property of ZnO nanowires prepared by ultrasonic spray pyrolysis. Superlattices Microstruct, 2015, 84: 144 doi: 10.1016/j.spmi.2015.05.003
|
| [25] |
Karimipour M, Molaei M, Allahyar S. Tunable luminescence of pure ZnO nanowires prepared by microwave irradiation in ethanol. J Mater Sci: Mater Electron, 2016, 27(5): 4771 doi: 10.1007/s10854-016-4357-0
|
| [26] |
Lupan O, Emelchenko G A, Ursaki V V, et al. Synthesis and characterization of ZnO nanowires for nanosensor applications. Mater Res Bull, 2010, 45(8): 1026 doi: 10.1016/j.materresbull.2010.03.027
|
| [27] |
Kao T H, Chen J Y, Chiu C H, et al. Opto-electrical properties of Sb-doped p-type ZnO nanowires. Appl Phys Lett, 2014, 104(11): 111909 doi: 10.1063/1.4869355
|
| [28] |
Lin C C, Lin W H, Li Y Y. Synthesis of ZnO nanowires and their applications as an ultraviolet photodetector. J Nanosci Nanotechnol, 2009, 9(5): 2813 doi: 10.1166/jnn.2009.008
|
| [29] |
Yang X, Chen Z, Xie X, et al. Enhanced response speed of ZnO nanowire photodetector by coating with photoresist. J Nanomater, 2016, 2016: 6
|
| [30] |
Zhang X Z, Jian X G, Zhu L W. Materials and devices research of PPV-ZnO nanowires for heterojunction solar cells. J Nanomater, 2012, 2012: 1
|
| [31] |
Major J D, Tena-Zaera R, Azaceta E, et al. Development of ZnO nanowire based CdTe thin film solar cells. Sol Energy Mater Sol Cells, 2017, 160: 107 doi: 10.1016/j.solmat.2016.10.024
|
| [32] |
Tena-Zaera R, Ryan M A, Katty A, et al. Fabrication and characterization of ZnO nanowires/CdSe/CuSCN eta-solar cell. C R Chimie, 2009, 9(5/6): 717
|
| [33] |
Liu J, Wang S, Bian Z, et al. Organic/inorganic hybrid solar cells with vertically oriented ZnO nanowires. Appl Phys Lett, 2009, 94(17): 173107 doi: 10.1063/1.3126955
|
| [34] |
Afifi A, Tabatabaei M K. Efficiency investigation of dye-sensitized solar cells based on the zinc oxide nanowires. Orient J Chem, 2014, 30(1): 155 doi: 10.13005/ojc
|
| [35] |
Kim H, Jeong H, An T K, et al. Hybrid-type quantum-dot cosensitized ZnO nanowire solar cell with enhanced visible-light harvesting. CS Appl Mater Interfaces, 2013, 5(2): 268 doi: 10.1021/am301960h
|
| [36] |
Dymshits A, Iagher L, Etgar L. Parameters influencing the growth of ZnO nanowires as efficient low temperature flexible perovskite-based solar cells. Materials, 2016, 9(1): 60 doi: 10.3390/ma9010060
|
| [37] |
Zhang M L, Jin F, Zheng M L, et al. High efficiency solar cell based on ZnO nanowire array prepared by different growth methods. RSC Adv, 2014, 4(21): 10462 doi: 10.1039/c3ra47146b
|
| [38] |
Zhang J T, He M, Fu N Q, et al. Facile one-step synthesis of highly branched ZnO nanostructures on titanium foil for flexible dyesensitized solar cells. Nanoscale, 2014, 6: 4211 doi: 10.1039/c3nr05494b
|
| [39] |
Tiwale N. Zinc Oxide nanowire gas sensors: fabrication, functionalisation and devices. Mater Sci Technol, 2015, 31(14): 1681 doi: 10.1179/1743284714Y.0000000747
|
| [40] |
Habib M, Hussain S S, Riaz S, et al. Preparation and characterization of ZnO nanowires and their applications in CO2 gas sensors. Mater Today: Proc, 2015, 2(10): 5714 doi: 10.1016/j.matpr.2015.11.116
|
| [41] |
Pauporté T, Lupan O, Zhang J, et al. Low-temperature preparation of Ag-doped ZnO nanowire arrays, DFT study, and application to light-emitting diode. ACS Appl Mater Interfaces, 2015, 7(22): 11871 doi: 10.1021/acsami.5b01496
|
| [42] |
Ma C, Zhou Z, Wei H, et al. Rapid Large-scale preparation of ZnO nanowires for photocatalytic application. Nanoscale Res Lett, 2011, 6(1): 536 doi: 10.1186/1556-276X-6-536
|
| [43] |
Zhou Q, Wen J Z, Zhao P, et al. Synthesis of vertically-aligned zinc oxide nanowires and their application as photocatalyst. Nanomaterials, 2017, 7(1): 9 doi: 10.3390/nano7010009
|
| [44] |
Momeni M M. One-step synthesis of ZnO nanowires on zinc foils and their photocatalytic properties. Ind J Chem, 2016, 55A: 686
|
| [45] |
Mejía-García C, Elvia D, Marco A A, et al. Influence of the hydrothermal method growth parameters on the zinc oxide nanowires deposited on several substrates. J Nanomater, 2014, 2014: 9
|
| [46] |
Alaie Z, Mohammad Nejad S, Yousefi M H, et al. The effects of different seed layers and growth time on the quality of ZnO NRs array. Int J Nanosci Nanotechnol, 2016, 12(2): 119
|
| [47] |
Sagar P, Shishodiaa P K, Mehraa R M, et al. Photoluminescence and absorption in sol–gel-derived ZnO films. J Lumine, 2007, 126: 800 doi: 10.1016/j.jlumin.2006.12.003
|
| [48] |
Aziz N D A, Rusdi R, Kamarulzaman N. Studies of MEH-PPV and MEH-PPV/MCMB films and their light absorption in the red wavelength region of the visible spectrum. Adv Mater Res, 2012, 545: 308 doi: 10.4028/www.scientific.net/AMR.545
|
| [49] |
Clotaire C C, Martine C G, Fang L, et al. Effect of growth time and annealing on the structural defect concentration of hydrothermally grown ZnO nanowires. AIMS Mater Sci, 2016, 3(2): 562 doi: 10.3934/matersci.2016.2.562
|
| [50] |
Xu Z Y, Zhang D H, Wang Q P, et al. The blue photoluminescence emitted from ZnO films deposited on glass substrate by RF magnetron sputtering. Appl Surf Sci, 2002, 195(1–4): 126 doi: 10.1016/S0169-4332(02)00547-0
|
| [51] |
Omer B M. Optical properties of MEH-PPV and MEH-PPV/[6,6]-Phenyl C61-butyric Acid 3-ethylthiophene ester thin films. J Nano-Electron, 2012, 4(4): 04006
|
| [52] |
Shim W H, Park M Y, Park D S, et al. Effect of sol-gel prepared ZnO electron selective layer on the performance of inverted organic solar cells. Mol Cryst Liq Cryst, 2011, 538(1): 164 doi: 10.1080/15421406.2011.563714
|
| [53] |
Xue Z S, Zhang W, Yin X, et al. Enhanced conversion efficiency of flexible dye-sensitized solar cells by optimization of the nanoparticle size with an electrophoretic deposition technique. RSC Adv, 2012, 2: 7074 doi: 10.1039/c2ra20542d
|
| [54] |
Hu F Y, Xia Y J, Guan Z S, et al. Low temperature fabrication of ZnO compact layer for high performance plastic dye-sensitized ZnO solar cells. Electrochim Acta, 2012, 69: 97 doi: 10.1016/j.electacta.2012.02.084
|
| [55] |
Yang R Y, Chen H Y, Lai F D. Performance degradation of dye-sensitized solar cells induced by electrolytes. Adv Maters Sci Eng, 2012, 2012: 1
|
Article views: 4645 Times PDF downloads: 108 Times Cited by: 0 Times
Received: 18 December 2017 Revised: 02 April 2018 Online: Uncorrected proof: 17 May 2018Accepted Manuscript: 05 July 2018Published: 01 September 2018
| Citation: |
F. A. Mahmoud, Ninet Ahmed. Elaboration of ZnO nanowires by solution based method, characterization and solar cell applications[J]. Journal of Semiconductors, 2018, 39(9): 093002. doi: 10.1088/1674-4926/39/9/093002
****
F. A. Mahmoud, N Ahmed, Elaboration of ZnO nanowires by solution based method, characterization and solar cell applications[J]. J. Semicond., 2018, 39(9): 093002. doi: 10.1088/1674-4926/39/9/093002.
|
| [1] |
Osterhout S D. Hybrid polymer solar cells based on ZnO. PhD Thesis, Eindhoven Technical University, 2011
|
| [2] |
Yaguang W, Chen X, Sheng X, et al. Planar waveguide-nanowire integrated three-dimensional dye-sensitized solar cells. Nano Lett, 2010, 10(6): 2092 doi: 10.1021/nl1005433
|
| [3] |
Tredici I G, Resmini A, Yaghmaie F, et al. A simple two-step solution chemistry method for synthesis of micro patterned ZnO nanorods based on metal-loaded hydrogels. Thin Solid Films, 2012, 526: 22 doi: 10.1016/j.tsf.2012.10.052
|
| [4] |
Ho G W, Wong A S W. One step solution synthesis towards ultra-thin and uniform single-crystalline ZnO nanowires. Appl Phys A, 2007, 86(4): 457 doi: 10.1007/s00339-006-3798-3
|
| [5] |
Yangyang Z, Ram M K, Stefanakos E K, et al. Synthesis, characterization, and applications of ZnO nanowires. J Nanomater, 2012, 2012: 20
|
| [6] |
Bauer C, Boschloo G. Recombination in Ru(dcbpy)2, sensitized nanostructured ZnO. J Phys Chem B, 2001, 105: 5585 doi: 10.1021/jp004121x
|
| [7] |
Myo T H, Minori I. Photoluminescence properties and morphology of submicron-sized ZnO crystals prepared by ultrasonic spray pyrolysis. J Appl Phys, 2008, 47: 541 doi: 10.1143/JJAP.47.541
|
| [8] |
Quintana M, Edvinsson T, Hagfeldt A, et al. Comparison of dye-sensitized ZnO and TiO2 solar cells: studies of change transport and carrier lifetime. J Phys Chem C, 2007, 111: 1035 doi: 10.1021/jp065948f
|
| [9] |
Quintana M, Marinado T, Nonomura K, et al. Organic chromophone-sensitized ZnO solar cells: electrolyte-dependent dye desorption and band-edge shifts. J Photochem Photobiol A, 2009, 202: 159 doi: 10.1016/j.jphotochem.2008.11.024
|
| [10] |
Gonzalez V I, Lira-Cantu M. Vertically-aligned nanostructures of ZnO for exitonic solar cells. J Energy Environ Sci, 2009, 2: 1 doi: 10.1039/b822219n
|
| [11] |
Chergui Y, Nehaoua N. Photovoltaic characteristics of ZnO nanotube dye-sensitized solar cells and TiO2 nanostructure. Res Rev: J Mater Sci, 2013, 1(2): 18
|
| [12] |
Glushenkov A, Chen Y. Synthesis of ZnO nanowires using ball-milling and annealing method. Mater Forum, 2006, 30: 1
|
| [13] |
Al-Asadi A S, Henley L A, Ghosh S, et al. Fabrication and characterization of ultraviolet photosensors from ZnO nanowires prepared using chemical bath deposition method. J Appl Phys, 2016, 119(8): 084306 doi: 10.1063/1.4942653
|
| [14] |
Mc Peak K M, Baxte J B. ZnO nanowires grown by chemical bath deposition in a continuous flow microreactor. Cryst Growth Des, 2009, 9(10): 4538 doi: 10.1021/cg900551f
|
| [15] |
Chevalier-César C, Capochichi-Gnambodo M. Growth mechanism studies of ZnO nanowire arrays via hydrothermal method. Appl Phys A, 2014, 115(3): 953 doi: 10.1007/s00339-013-7908-8
|
| [16] |
Shim J B, Chang H. rapid hydrothermal synthesis of zinc oxide nanowires by annealing methods on seed layers. J Nanomater, 2011, 2011: 25
|
| [17] |
García C M, Valdés E D, Mercado A M P, et al. Synthesis of aluminum-doped zinc oxide nanowires hydrothermally grown on plastic substrate. Adv Mater Phys Chem, 2012, 2: 56 doi: 10.4236/ampc.2012.24B016
|
| [18] |
Hu L L. Electrochemical growth and characterization of ZnO nanowire. Master of Applied Science in Electrical and Computer Engineering, Waterloo, Ontario, Canada, 2014
|
| [19] |
Nayak A P, Katzenmeyer A. Sonochemical synthesis of zinc oxide nanowire arrays on silicon and glass substrates. Proceedings of The National Conference On Undergraduate Research (NCUR), 2010
|
| [20] |
Qiu Z, Gong H, Yang X, et al. Phosphorus concentration dependent microstructure and optical property of ZnO nanowires grown by high-pressure pulsed laser deposition. J Phys Chem C, 2015, 119(8): 4371 doi: 10.1021/jp511872c
|
| [21] |
Shin S, Park J, Seo Y, et al. Selective growth of vertical and horizontal ZnO nanowires for device applications. J Kor Phys Soc, 2008, 53(4): 2011 doi: 10.3938/jkps.53.2011
|
| [22] |
Hsueh T J, Chen Y W, Chang S J, et al. ZnO nanowire-based CO sensors prepared at various temperatures. J Electrochem Soc, 2007, 154(12): 393 doi: 10.1149/1.2789813
|
| [23] |
Noor R, Riaz S, Naseem S. A comparative study of ZnO thin films, nanowires and nanotubes for photovoltaics applications. The 2012 World Congress onAdvances in Civil, Environmental, and Materials Research (ACEM’ 12), 2012: 26
|
| [24] |
Htay M T, Hashimoto Y. Field emission property of ZnO nanowires prepared by ultrasonic spray pyrolysis. Superlattices Microstruct, 2015, 84: 144 doi: 10.1016/j.spmi.2015.05.003
|
| [25] |
Karimipour M, Molaei M, Allahyar S. Tunable luminescence of pure ZnO nanowires prepared by microwave irradiation in ethanol. J Mater Sci: Mater Electron, 2016, 27(5): 4771 doi: 10.1007/s10854-016-4357-0
|
| [26] |
Lupan O, Emelchenko G A, Ursaki V V, et al. Synthesis and characterization of ZnO nanowires for nanosensor applications. Mater Res Bull, 2010, 45(8): 1026 doi: 10.1016/j.materresbull.2010.03.027
|
| [27] |
Kao T H, Chen J Y, Chiu C H, et al. Opto-electrical properties of Sb-doped p-type ZnO nanowires. Appl Phys Lett, 2014, 104(11): 111909 doi: 10.1063/1.4869355
|
| [28] |
Lin C C, Lin W H, Li Y Y. Synthesis of ZnO nanowires and their applications as an ultraviolet photodetector. J Nanosci Nanotechnol, 2009, 9(5): 2813 doi: 10.1166/jnn.2009.008
|
| [29] |
Yang X, Chen Z, Xie X, et al. Enhanced response speed of ZnO nanowire photodetector by coating with photoresist. J Nanomater, 2016, 2016: 6
|
| [30] |
Zhang X Z, Jian X G, Zhu L W. Materials and devices research of PPV-ZnO nanowires for heterojunction solar cells. J Nanomater, 2012, 2012: 1
|
| [31] |
Major J D, Tena-Zaera R, Azaceta E, et al. Development of ZnO nanowire based CdTe thin film solar cells. Sol Energy Mater Sol Cells, 2017, 160: 107 doi: 10.1016/j.solmat.2016.10.024
|
| [32] |
Tena-Zaera R, Ryan M A, Katty A, et al. Fabrication and characterization of ZnO nanowires/CdSe/CuSCN eta-solar cell. C R Chimie, 2009, 9(5/6): 717
|
| [33] |
Liu J, Wang S, Bian Z, et al. Organic/inorganic hybrid solar cells with vertically oriented ZnO nanowires. Appl Phys Lett, 2009, 94(17): 173107 doi: 10.1063/1.3126955
|
| [34] |
Afifi A, Tabatabaei M K. Efficiency investigation of dye-sensitized solar cells based on the zinc oxide nanowires. Orient J Chem, 2014, 30(1): 155 doi: 10.13005/ojc
|
| [35] |
Kim H, Jeong H, An T K, et al. Hybrid-type quantum-dot cosensitized ZnO nanowire solar cell with enhanced visible-light harvesting. CS Appl Mater Interfaces, 2013, 5(2): 268 doi: 10.1021/am301960h
|
| [36] |
Dymshits A, Iagher L, Etgar L. Parameters influencing the growth of ZnO nanowires as efficient low temperature flexible perovskite-based solar cells. Materials, 2016, 9(1): 60 doi: 10.3390/ma9010060
|
| [37] |
Zhang M L, Jin F, Zheng M L, et al. High efficiency solar cell based on ZnO nanowire array prepared by different growth methods. RSC Adv, 2014, 4(21): 10462 doi: 10.1039/c3ra47146b
|
| [38] |
Zhang J T, He M, Fu N Q, et al. Facile one-step synthesis of highly branched ZnO nanostructures on titanium foil for flexible dyesensitized solar cells. Nanoscale, 2014, 6: 4211 doi: 10.1039/c3nr05494b
|
| [39] |
Tiwale N. Zinc Oxide nanowire gas sensors: fabrication, functionalisation and devices. Mater Sci Technol, 2015, 31(14): 1681 doi: 10.1179/1743284714Y.0000000747
|
| [40] |
Habib M, Hussain S S, Riaz S, et al. Preparation and characterization of ZnO nanowires and their applications in CO2 gas sensors. Mater Today: Proc, 2015, 2(10): 5714 doi: 10.1016/j.matpr.2015.11.116
|
| [41] |
Pauporté T, Lupan O, Zhang J, et al. Low-temperature preparation of Ag-doped ZnO nanowire arrays, DFT study, and application to light-emitting diode. ACS Appl Mater Interfaces, 2015, 7(22): 11871 doi: 10.1021/acsami.5b01496
|
| [42] |
Ma C, Zhou Z, Wei H, et al. Rapid Large-scale preparation of ZnO nanowires for photocatalytic application. Nanoscale Res Lett, 2011, 6(1): 536 doi: 10.1186/1556-276X-6-536
|
| [43] |
Zhou Q, Wen J Z, Zhao P, et al. Synthesis of vertically-aligned zinc oxide nanowires and their application as photocatalyst. Nanomaterials, 2017, 7(1): 9 doi: 10.3390/nano7010009
|
| [44] |
Momeni M M. One-step synthesis of ZnO nanowires on zinc foils and their photocatalytic properties. Ind J Chem, 2016, 55A: 686
|
| [45] |
Mejía-García C, Elvia D, Marco A A, et al. Influence of the hydrothermal method growth parameters on the zinc oxide nanowires deposited on several substrates. J Nanomater, 2014, 2014: 9
|
| [46] |
Alaie Z, Mohammad Nejad S, Yousefi M H, et al. The effects of different seed layers and growth time on the quality of ZnO NRs array. Int J Nanosci Nanotechnol, 2016, 12(2): 119
|
| [47] |
Sagar P, Shishodiaa P K, Mehraa R M, et al. Photoluminescence and absorption in sol–gel-derived ZnO films. J Lumine, 2007, 126: 800 doi: 10.1016/j.jlumin.2006.12.003
|
| [48] |
Aziz N D A, Rusdi R, Kamarulzaman N. Studies of MEH-PPV and MEH-PPV/MCMB films and their light absorption in the red wavelength region of the visible spectrum. Adv Mater Res, 2012, 545: 308 doi: 10.4028/www.scientific.net/AMR.545
|
| [49] |
Clotaire C C, Martine C G, Fang L, et al. Effect of growth time and annealing on the structural defect concentration of hydrothermally grown ZnO nanowires. AIMS Mater Sci, 2016, 3(2): 562 doi: 10.3934/matersci.2016.2.562
|
| [50] |
Xu Z Y, Zhang D H, Wang Q P, et al. The blue photoluminescence emitted from ZnO films deposited on glass substrate by RF magnetron sputtering. Appl Surf Sci, 2002, 195(1–4): 126 doi: 10.1016/S0169-4332(02)00547-0
|
| [51] |
Omer B M. Optical properties of MEH-PPV and MEH-PPV/[6,6]-Phenyl C61-butyric Acid 3-ethylthiophene ester thin films. J Nano-Electron, 2012, 4(4): 04006
|
| [52] |
Shim W H, Park M Y, Park D S, et al. Effect of sol-gel prepared ZnO electron selective layer on the performance of inverted organic solar cells. Mol Cryst Liq Cryst, 2011, 538(1): 164 doi: 10.1080/15421406.2011.563714
|
| [53] |
Xue Z S, Zhang W, Yin X, et al. Enhanced conversion efficiency of flexible dye-sensitized solar cells by optimization of the nanoparticle size with an electrophoretic deposition technique. RSC Adv, 2012, 2: 7074 doi: 10.1039/c2ra20542d
|
| [54] |
Hu F Y, Xia Y J, Guan Z S, et al. Low temperature fabrication of ZnO compact layer for high performance plastic dye-sensitized ZnO solar cells. Electrochim Acta, 2012, 69: 97 doi: 10.1016/j.electacta.2012.02.084
|
| [55] |
Yang R Y, Chen H Y, Lai F D. Performance degradation of dye-sensitized solar cells induced by electrolytes. Adv Maters Sci Eng, 2012, 2012: 1
|
Journal of Semiconductors © 2017 All Rights Reserved 京ICP備05085259號-2