SEMICONDUCTOR DEVICES
Yuede Yang1, 2, Shaoshuai Sui1, 2, Mingying Tang1, 2, Jinlong Xiao1, 2, Yun Du1, Andrew W. Poon3 and Yongzhen Huang1, 2,
Corresponding author: Yongzhen Huang, Email: yzhuang@semi.ac.cn
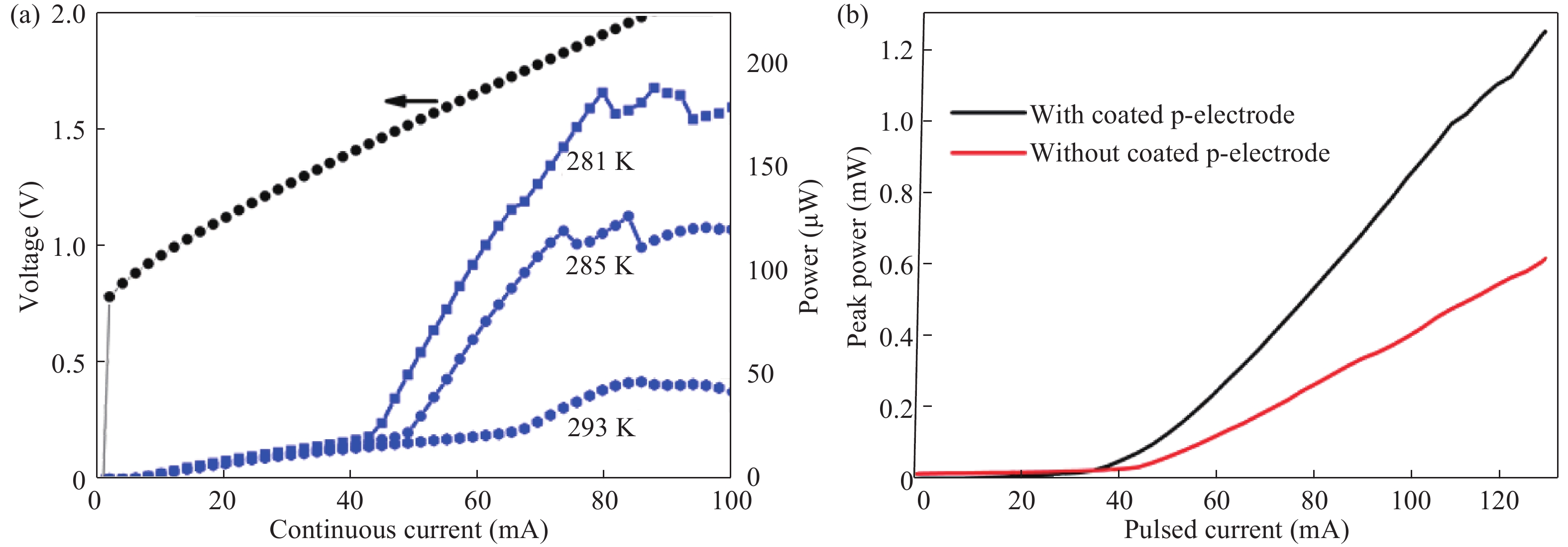
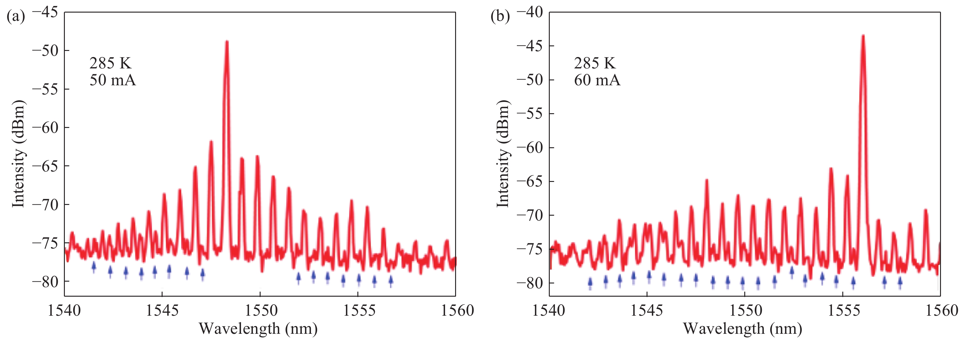
Abstract: We have proposed and demonstrated hybrid AlGaInAs/Si Fabry–Pérot (FP) lasers, with the FP cavity facet covered by the p-electrode metal for enhancing mode confinement. Continuous-wave lasing is obtained at room temperature with a threshold current of 45 mA for the hybrid FP laser with a cavity length of 415 μm and a width of 7 μm. Near-field optical microscope images indicate an efficient output emission from the underneath evanescently-coupled silicon waveguide. Furthermore, single-mode lasing with a side-mode suppression-ratio of 29 dB and a threshold current of 16 mA is realized for the 150 μm-long hybrid FP laser.
Key words: hybrid AlGaInAs/Si laser, Fabry–Pérot cavity, mode Q factor, metal confinement
| [1] |
Miller D A B. Device requirements for optical interconnects to silicon chip. Proc IEEE, 2009, 97: 1166 doi: 10.1109/JPROC.2009.2014298
|
| [2] |
Liu L, Roelkens G, Van Campenhout J, et al. III–V/silicon-on-insulator nanophotonic cavities for optical network-on-chip. J Nanosci Nanotechnol, 2010, 10: 1461 doi: 10.1166/jnn.2010.2032
|
| [3] |
Liang D, Bowers J E. Recent progress in lasers on silicon. Nat Photonics, 2010, 4: 511 doi: 10.1038/nphoton.2010.167
|
| [4] |
Rong H M S, Jones R, Liu A S, et al. A continuous-wave Raman silicon laser. Nature, 2005, 433: 725 doi: 10.1038/nature03346
|
| [5] |
Camacho-Aguilera R E, Cai Y, Patel N, et al. An electricallypumped germanium laser. Opt Express, 2012, 20: 11316 doi: 10.1364/OE.20.011316
|
| [6] |
Groenert M E, Leitz C W, Christopher W, et al. Monolithic integration of room-temperature cw GaAs/AlGaAs lasers on Si substrates via relaxed graded GeSi buffer layers. J Appl Phys, 2003, 93: 362 doi: 10.1063/1.1525865
|
| [7] |
Liu H Y, Wang T, Jiang Q, et al. Long-wavelength InAs/GaAs quantum-dot laser diode monolithically grown on Ge substrate. Nat Photonics, 2011, 5: 416 doi: 10.1038/nphoton.2011.120
|
| [8] |
Roelkens G, Thourhout D V, Baets R. Laser emission and photodetection in an InP/InGaAsP layer integrated on and coupled to a silicon-on-insulator waveguide circuit. Opt Express, 2006, 14: 8154 doi: 10.1364/OE.14.008154
|
| [9] |
Sui S S, Tang M Y, Yang Y D, et al. Sixteen-wavelength hybrid AlGaInAs/Si microdisk laser array. IEEE J Quantum Electron, 2015, 51: 2600108
|
| [10] |
Fang W, Park H, Cohen O, et al. Electrically pumped hybrid AlGaInAs–silicon evanescent laser. Opt Express, 2006, 14: 9203 doi: 10.1364/OE.14.009203
|
| [11] |
Ren B, Hou Y, Liang Y N. Research progress of III–V laser bonding to Si. J Semicond, 2016, 37(12): 124001 doi: 10.1088/1674-4926/37/12/124001
|
| [12] |
Zhang Y J, Qu H W, Wang H L, et al. Hybrid III–V/silicon single-mode laser with periodic microstructures. Opt Lett, 2013, 38: 842 doi: 10.1364/OL.38.000842
|
| [13] |
Luo X S, Cheng Y B, Song J F et al. Wafer-scale dies-transfer bonding technology for hybrid III/V-on-silicon photonic integrated circuit application. IEEE J Sel Top Quantum Electron, 2016, 22: 2553453
|
| [14] |
Mechet P, Raineri F, Bazin A, et al. Uniformity of the lasing wavelength of heterogeneously integrated InP microdisk lasers on SOI. Opt Express, 2013, 21: 10622 doi: 10.1364/OE.21.010622
|
| [15] |
Sui S S, Tang M Y, Yang Y D, et al. Investigation of hybrid microring lasers adhesively bonded on silicon wafer. Photon Res, 2015, 3: 289 doi: 10.1364/PRJ.3.000289
|
| [16] |
Sui S S, Tang M Y, Yang Y D, et al. Single-mode hybrid AlGaInAs/Si octagonal-ring microlaser with stable output. Chin Opt Lett, 2015, 14: 031402
|
| [17] |
Feng P, Zhang Y J, Wang Y F, et al. A novel hybrid III–V/silicon deformed micro-disk single-mode laser. J Semicond, 2015, 36(2): 024012 doi: 10.1088/1674-4926/36/2/024012
|
| [18] |
Yuan L J, Tao L, Yu H Y, et al. Hybrid InGaAsP–Si evanescent laser by selective-area metal-bonding method. IEEE Photon Technol Lett, 2013, 25: 1180 doi: 10.1109/LPT.2013.2262265
|
| [19] |
Fang W, Koch B R, Jones R, et al. A distributed Bragg reflector silicon evanescent laser. IEEE Photon Technol Lett, 2008, 20: 1667 doi: 10.1109/LPT.2008.2003382
|
| [20] |
Keyvaninia S, Verstuyft S, Landschoot L V, et al. Heterogeneously integrated III–V/silicon distributed feedback lasers. Opt Lett, 2013, 38: 5434 doi: 10.1364/OL.38.005434
|
| [21] |
Che K J, Huang Y Z. Mode characteristics of metallically coated square microcavity connected with an output waveguide. J Appl Phys, 2010, 107: 113103 doi: 10.1063/1.3431400
|
| [22] |
Yao Q F, Huang Y Z, Yang Y D, et al. Analysis of mode characteristics for microcircular resonators confined by different metallic materials. J Semicond, 2016, 37(12): 124004 doi: 10.1088/1674-4926/37/12/124004
|
| [23] |
Sui S S, Tang M Y, Yang Y D, et al. Mode investigation for hybrid microring lasers with sloped sidewalls coupled to a silicon waveguide. IEEE Photonics J, 2015, 7(2): 6100209
|
| [24] |
Huang Y Z, Yang Y D. Calculation of light delay for coupled microrings by FDTD technique and Padé approximation. J Opt Soc Am A, 2009, 26: 2419 doi: 10.1364/JOSAA.26.002419
|
Table 1. Simulated mode Q factor Qt, radiation Q factor Qr, waveguide coupling efficiency ηc, and output extraction efficiency ηe versus the thickness t for mode A.
| t (nm) | Qt | Qr | ηc (%) | ηe (%) |
| 50 | 570 | 1800 | 93 | 30 |
| 100 | 360 | 630 | 67 | 39 |
| 150 | 260 | 340 | 39 | 31 |
| 200 | 210 | 270 | 38 | 29 |
DownLoad: CSV
| [1] |
Miller D A B. Device requirements for optical interconnects to silicon chip. Proc IEEE, 2009, 97: 1166 doi: 10.1109/JPROC.2009.2014298
|
| [2] |
Liu L, Roelkens G, Van Campenhout J, et al. III–V/silicon-on-insulator nanophotonic cavities for optical network-on-chip. J Nanosci Nanotechnol, 2010, 10: 1461 doi: 10.1166/jnn.2010.2032
|
| [3] |
Liang D, Bowers J E. Recent progress in lasers on silicon. Nat Photonics, 2010, 4: 511 doi: 10.1038/nphoton.2010.167
|
| [4] |
Rong H M S, Jones R, Liu A S, et al. A continuous-wave Raman silicon laser. Nature, 2005, 433: 725 doi: 10.1038/nature03346
|
| [5] |
Camacho-Aguilera R E, Cai Y, Patel N, et al. An electricallypumped germanium laser. Opt Express, 2012, 20: 11316 doi: 10.1364/OE.20.011316
|
| [6] |
Groenert M E, Leitz C W, Christopher W, et al. Monolithic integration of room-temperature cw GaAs/AlGaAs lasers on Si substrates via relaxed graded GeSi buffer layers. J Appl Phys, 2003, 93: 362 doi: 10.1063/1.1525865
|
| [7] |
Liu H Y, Wang T, Jiang Q, et al. Long-wavelength InAs/GaAs quantum-dot laser diode monolithically grown on Ge substrate. Nat Photonics, 2011, 5: 416 doi: 10.1038/nphoton.2011.120
|
| [8] |
Roelkens G, Thourhout D V, Baets R. Laser emission and photodetection in an InP/InGaAsP layer integrated on and coupled to a silicon-on-insulator waveguide circuit. Opt Express, 2006, 14: 8154 doi: 10.1364/OE.14.008154
|
| [9] |
Sui S S, Tang M Y, Yang Y D, et al. Sixteen-wavelength hybrid AlGaInAs/Si microdisk laser array. IEEE J Quantum Electron, 2015, 51: 2600108
|
| [10] |
Fang W, Park H, Cohen O, et al. Electrically pumped hybrid AlGaInAs–silicon evanescent laser. Opt Express, 2006, 14: 9203 doi: 10.1364/OE.14.009203
|
| [11] |
Ren B, Hou Y, Liang Y N. Research progress of III–V laser bonding to Si. J Semicond, 2016, 37(12): 124001 doi: 10.1088/1674-4926/37/12/124001
|
| [12] |
Zhang Y J, Qu H W, Wang H L, et al. Hybrid III–V/silicon single-mode laser with periodic microstructures. Opt Lett, 2013, 38: 842 doi: 10.1364/OL.38.000842
|
| [13] |
Luo X S, Cheng Y B, Song J F et al. Wafer-scale dies-transfer bonding technology for hybrid III/V-on-silicon photonic integrated circuit application. IEEE J Sel Top Quantum Electron, 2016, 22: 2553453
|
| [14] |
Mechet P, Raineri F, Bazin A, et al. Uniformity of the lasing wavelength of heterogeneously integrated InP microdisk lasers on SOI. Opt Express, 2013, 21: 10622 doi: 10.1364/OE.21.010622
|
| [15] |
Sui S S, Tang M Y, Yang Y D, et al. Investigation of hybrid microring lasers adhesively bonded on silicon wafer. Photon Res, 2015, 3: 289 doi: 10.1364/PRJ.3.000289
|
| [16] |
Sui S S, Tang M Y, Yang Y D, et al. Single-mode hybrid AlGaInAs/Si octagonal-ring microlaser with stable output. Chin Opt Lett, 2015, 14: 031402
|
| [17] |
Feng P, Zhang Y J, Wang Y F, et al. A novel hybrid III–V/silicon deformed micro-disk single-mode laser. J Semicond, 2015, 36(2): 024012 doi: 10.1088/1674-4926/36/2/024012
|
| [18] |
Yuan L J, Tao L, Yu H Y, et al. Hybrid InGaAsP–Si evanescent laser by selective-area metal-bonding method. IEEE Photon Technol Lett, 2013, 25: 1180 doi: 10.1109/LPT.2013.2262265
|
| [19] |
Fang W, Koch B R, Jones R, et al. A distributed Bragg reflector silicon evanescent laser. IEEE Photon Technol Lett, 2008, 20: 1667 doi: 10.1109/LPT.2008.2003382
|
| [20] |
Keyvaninia S, Verstuyft S, Landschoot L V, et al. Heterogeneously integrated III–V/silicon distributed feedback lasers. Opt Lett, 2013, 38: 5434 doi: 10.1364/OL.38.005434
|
| [21] |
Che K J, Huang Y Z. Mode characteristics of metallically coated square microcavity connected with an output waveguide. J Appl Phys, 2010, 107: 113103 doi: 10.1063/1.3431400
|
| [22] |
Yao Q F, Huang Y Z, Yang Y D, et al. Analysis of mode characteristics for microcircular resonators confined by different metallic materials. J Semicond, 2016, 37(12): 124004 doi: 10.1088/1674-4926/37/12/124004
|
| [23] |
Sui S S, Tang M Y, Yang Y D, et al. Mode investigation for hybrid microring lasers with sloped sidewalls coupled to a silicon waveguide. IEEE Photonics J, 2015, 7(2): 6100209
|
| [24] |
Huang Y Z, Yang Y D. Calculation of light delay for coupled microrings by FDTD technique and Padé approximation. J Opt Soc Am A, 2009, 26: 2419 doi: 10.1364/JOSAA.26.002419
|
Article views: 4081 Times PDF downloads: 75 Times Cited by: 0 Times
Received: 05 December 2017 Revised: 30 January 2018 Online: Accepted Manuscript: 04 April 2018Uncorrected proof: 12 April 2018Published: 09 August 2018
| Citation: |
Yuede Yang, Shaoshuai Sui, Mingying Tang, Jinlong Xiao, Yun Du, Andrew W. Poon, Yongzhen Huang. Hybrid AlGaInAs/Si Fabry–Pérot lasers with near-total mode confinements[J]. Journal of Semiconductors, 2018, 39(8): 084001. doi: 10.1088/1674-4926/39/8/084001
****
Y D Yang, S S Sui, M Y Tang, J L Xiao, Y Du, A W Poon, Y Z Huang, Hybrid AlGaInAs/Si Fabry–Pérot lasers with near-total mode confinements[J]. J. Semicond., 2018, 39(8): 084001. doi: 10.1088/1674-4926/39/8/084001.
|
Project supported by the Key Research Program of Frontier Sciences, Chinese Academy of Sciences (No. QYZDJ-SSW-JSC002), the NSFC/RGC Joint Project (No. 61431166003), and the National Natural Science Foundation of China (No. 61377105).
| [1] |
Miller D A B. Device requirements for optical interconnects to silicon chip. Proc IEEE, 2009, 97: 1166 doi: 10.1109/JPROC.2009.2014298
|
| [2] |
Liu L, Roelkens G, Van Campenhout J, et al. III–V/silicon-on-insulator nanophotonic cavities for optical network-on-chip. J Nanosci Nanotechnol, 2010, 10: 1461 doi: 10.1166/jnn.2010.2032
|
| [3] |
Liang D, Bowers J E. Recent progress in lasers on silicon. Nat Photonics, 2010, 4: 511 doi: 10.1038/nphoton.2010.167
|
| [4] |
Rong H M S, Jones R, Liu A S, et al. A continuous-wave Raman silicon laser. Nature, 2005, 433: 725 doi: 10.1038/nature03346
|
| [5] |
Camacho-Aguilera R E, Cai Y, Patel N, et al. An electricallypumped germanium laser. Opt Express, 2012, 20: 11316 doi: 10.1364/OE.20.011316
|
| [6] |
Groenert M E, Leitz C W, Christopher W, et al. Monolithic integration of room-temperature cw GaAs/AlGaAs lasers on Si substrates via relaxed graded GeSi buffer layers. J Appl Phys, 2003, 93: 362 doi: 10.1063/1.1525865
|
| [7] |
Liu H Y, Wang T, Jiang Q, et al. Long-wavelength InAs/GaAs quantum-dot laser diode monolithically grown on Ge substrate. Nat Photonics, 2011, 5: 416 doi: 10.1038/nphoton.2011.120
|
| [8] |
Roelkens G, Thourhout D V, Baets R. Laser emission and photodetection in an InP/InGaAsP layer integrated on and coupled to a silicon-on-insulator waveguide circuit. Opt Express, 2006, 14: 8154 doi: 10.1364/OE.14.008154
|
| [9] |
Sui S S, Tang M Y, Yang Y D, et al. Sixteen-wavelength hybrid AlGaInAs/Si microdisk laser array. IEEE J Quantum Electron, 2015, 51: 2600108
|
| [10] |
Fang W, Park H, Cohen O, et al. Electrically pumped hybrid AlGaInAs–silicon evanescent laser. Opt Express, 2006, 14: 9203 doi: 10.1364/OE.14.009203
|
| [11] |
Ren B, Hou Y, Liang Y N. Research progress of III–V laser bonding to Si. J Semicond, 2016, 37(12): 124001 doi: 10.1088/1674-4926/37/12/124001
|
| [12] |
Zhang Y J, Qu H W, Wang H L, et al. Hybrid III–V/silicon single-mode laser with periodic microstructures. Opt Lett, 2013, 38: 842 doi: 10.1364/OL.38.000842
|
| [13] |
Luo X S, Cheng Y B, Song J F et al. Wafer-scale dies-transfer bonding technology for hybrid III/V-on-silicon photonic integrated circuit application. IEEE J Sel Top Quantum Electron, 2016, 22: 2553453
|
| [14] |
Mechet P, Raineri F, Bazin A, et al. Uniformity of the lasing wavelength of heterogeneously integrated InP microdisk lasers on SOI. Opt Express, 2013, 21: 10622 doi: 10.1364/OE.21.010622
|
| [15] |
Sui S S, Tang M Y, Yang Y D, et al. Investigation of hybrid microring lasers adhesively bonded on silicon wafer. Photon Res, 2015, 3: 289 doi: 10.1364/PRJ.3.000289
|
| [16] |
Sui S S, Tang M Y, Yang Y D, et al. Single-mode hybrid AlGaInAs/Si octagonal-ring microlaser with stable output. Chin Opt Lett, 2015, 14: 031402
|
| [17] |
Feng P, Zhang Y J, Wang Y F, et al. A novel hybrid III–V/silicon deformed micro-disk single-mode laser. J Semicond, 2015, 36(2): 024012 doi: 10.1088/1674-4926/36/2/024012
|
| [18] |
Yuan L J, Tao L, Yu H Y, et al. Hybrid InGaAsP–Si evanescent laser by selective-area metal-bonding method. IEEE Photon Technol Lett, 2013, 25: 1180 doi: 10.1109/LPT.2013.2262265
|
| [19] |
Fang W, Koch B R, Jones R, et al. A distributed Bragg reflector silicon evanescent laser. IEEE Photon Technol Lett, 2008, 20: 1667 doi: 10.1109/LPT.2008.2003382
|
| [20] |
Keyvaninia S, Verstuyft S, Landschoot L V, et al. Heterogeneously integrated III–V/silicon distributed feedback lasers. Opt Lett, 2013, 38: 5434 doi: 10.1364/OL.38.005434
|
| [21] |
Che K J, Huang Y Z. Mode characteristics of metallically coated square microcavity connected with an output waveguide. J Appl Phys, 2010, 107: 113103 doi: 10.1063/1.3431400
|
| [22] |
Yao Q F, Huang Y Z, Yang Y D, et al. Analysis of mode characteristics for microcircular resonators confined by different metallic materials. J Semicond, 2016, 37(12): 124004 doi: 10.1088/1674-4926/37/12/124004
|
| [23] |
Sui S S, Tang M Y, Yang Y D, et al. Mode investigation for hybrid microring lasers with sloped sidewalls coupled to a silicon waveguide. IEEE Photonics J, 2015, 7(2): 6100209
|
| [24] |
Huang Y Z, Yang Y D. Calculation of light delay for coupled microrings by FDTD technique and Padé approximation. J Opt Soc Am A, 2009, 26: 2419 doi: 10.1364/JOSAA.26.002419
|
Journal of Semiconductors © 2017 All Rights Reserved 京ICP備05085259號(hào)-2