SEMICONDUCTOR PHYSICS?
A. V. Shestakov1, 2, , I. I. Fazlizhanov1, 2, I. V. Yatsyk1, 2, I. F. Gilmutdinov2, M. I. Ibragimova1, V. A. Shustov1 and R. M. Eremina1, 2
Corresponding author: A. V. Shestakov, alekseivshestakov@gmail.com
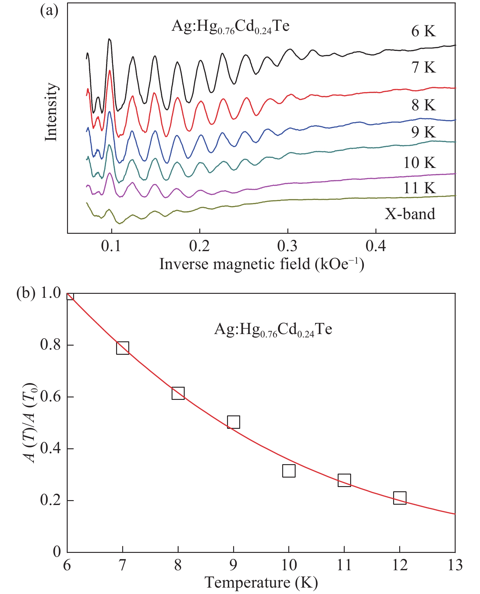
Abstract: The objects of the investigation were uniformly Ag+ doped Hg0.76Cd0.24Te mercury chalcogenide monocrystals obtained by ion implantation with subsequent thermal annealing over 20 days. After implantation and annealing the conductivity was inverted from n-type with carrier concentration of 1016 cm?3 to p-type with carrier concentration of ≈ 3.9 × 1015 cm?3. The investigations of microwave absorption derivative (dP/dH) showed the existence of strong oscillations in the magnetic field for Ag:Hg0.76Cd0.24Te in the temperature range 4.2–12 K. The concentration and effective mass of charge carrier were determined from oscillation period and temperature dependency of oscillation amplitude. We suppose that this phenomenon is similar to the de Haas–van Alphen effect in weakly correlated electron system with imperfect nesting vector.
Key words: de Haas–van Alphen effect, Ag:Hg0.76Cd0.24Te, magnetic resonance
| [1] |
Veynger A I, Zabrodskii A G, Tisnek T V, et al. Distinctive features of the magnetoresistance of degenerately doped nInAs and their influence on magnetic-field-dependent microwave absorption. Semiconductors, 1998, 32(5): 497 doi: 10.1134/1.1187427
|
| [2] |
Winterfeld L, Agapito L A, Li J, et al. Strain-induced topological insulator phase transition in HgSe. Phys Rev B, 2013, 87(7): 075143 doi: 10.1103/PhysRevB.87.075143
|
| [3] |
Comedi D, Kalish R. Vibrations of constituent atoms in ZnxCd1?xTe and Hg1?xCdxTe (various x). J Cryst Growth, 1990, 101(1): 1022 doi: 10.1016/0022-0248(90)91126-B
|
| [4] |
Bratashevskii Y A, Nikolaenko Y M, Prozorovskii V D, et al. Model of two-electron conduction in Hg1?xCdxTe. Sov Phys Semicond, 1990, 24(2): 188
|
| [5] |
Field S B, Reich D H, Shivaram B S, et al. Evidence for depinning of a Wigner crystal in Hg–Cd–Te. Phys Rev B, 1986, 33(7): 5082 doi: 10.1103/PhysRevB.33.5082
|
| [6] |
Tsidilkovskii I M. Crystallization of a three-dimensional electron gas. Sov Phys Usp, 1987, 152(4): 583 doi: 10.3367/UFNr.0152.198708c.0583
|
| [7] |
Bogoboyashchiy V V. Effect of annealing on activation of native acceptors in narrow-gap p-HgCdTe crystals. Semiconductor Physics, Quantum Electronics And Optoelectronics, 1999, 2(1): 62
|
| [8] |
Kozyrev S P. Anomalous properties of optical lattice vibrations in HgTe: a double-well model of the lattice potential for a Hg atom. Phys Solid State, 2010, 52(3): 574 doi: 10.1134/S1063783410030194
|
| [9] |
Sun L Z, Chen X, Sun Y L, et al. Relaxations and bonding mechanism in Hg1?xCdxTe with mercury vacancy defect: first-principles study. Phys Rev B, 2006, 73: 195206 doi: 10.1103/PhysRevB.73.195206
|
| [10] |
Han J L, Sun L Z, Qu X D, et al. Electronic properties of the Au impurity in Hg0.75Cd0.25Te: first-principles study. Physica B, 2009, 404: 131 doi: 10.1016/j.physb.2008.10.017
|
| [11] |
Ibragimova M I, Baryshev N S, Yu V. Effect of successive implantation of Ag+(Cu+) and Xe+ ions on the recombination properties of CdxHg1?xTe crystals. Semiconductors, 1997, 31(7): 666 doi: 10.1134/1.1187061
|
| [12] |
Kittel C. Introduction to solid state physics. New York: Wiley, 2004.
|
| [13] |
Pipard A B. Magnetoresistance in metals. New York: Cambridge University Press, 2009
|
| [14] |
Kireev P S. Physics of semiconductors. Moscow: Vysshaya shkola, 1975 (in Russian)
|
| [15] |
Popenko N, Bekirov B, Ivanchenko I, et al. Concentration anomalies of the magnetization of HgSe:Fe crystals. JETF Lett, 2014, 100(4): 247 doi: 10.1134/S0021364014160127
|
| [16] |
von Bardeleben H J, Jia Y Q, Manasreh M O, et al. Electron paramagnetic resonance study of the two-dimensional electron gas in Ga1?xAlxSb/InAs single quantum wells. Appl Phys Lett, 1993, 62(1): 90 doi: 10.1063/1.108782
|
| [17] |
Sboychakov O, Rakhmanov A L, Kugel K I, et al. Magnetic field effects in electron systems with imperfect nesting. Phys Rev B, 2017, 95(1): 014203 doi: 10.1103/PhysRevB.95.014203
|
| [1] |
Veynger A I, Zabrodskii A G, Tisnek T V, et al. Distinctive features of the magnetoresistance of degenerately doped nInAs and their influence on magnetic-field-dependent microwave absorption. Semiconductors, 1998, 32(5): 497 doi: 10.1134/1.1187427
|
| [2] |
Winterfeld L, Agapito L A, Li J, et al. Strain-induced topological insulator phase transition in HgSe. Phys Rev B, 2013, 87(7): 075143 doi: 10.1103/PhysRevB.87.075143
|
| [3] |
Comedi D, Kalish R. Vibrations of constituent atoms in ZnxCd1?xTe and Hg1?xCdxTe (various x). J Cryst Growth, 1990, 101(1): 1022 doi: 10.1016/0022-0248(90)91126-B
|
| [4] |
Bratashevskii Y A, Nikolaenko Y M, Prozorovskii V D, et al. Model of two-electron conduction in Hg1?xCdxTe. Sov Phys Semicond, 1990, 24(2): 188
|
| [5] |
Field S B, Reich D H, Shivaram B S, et al. Evidence for depinning of a Wigner crystal in Hg–Cd–Te. Phys Rev B, 1986, 33(7): 5082 doi: 10.1103/PhysRevB.33.5082
|
| [6] |
Tsidilkovskii I M. Crystallization of a three-dimensional electron gas. Sov Phys Usp, 1987, 152(4): 583 doi: 10.3367/UFNr.0152.198708c.0583
|
| [7] |
Bogoboyashchiy V V. Effect of annealing on activation of native acceptors in narrow-gap p-HgCdTe crystals. Semiconductor Physics, Quantum Electronics And Optoelectronics, 1999, 2(1): 62
|
| [8] |
Kozyrev S P. Anomalous properties of optical lattice vibrations in HgTe: a double-well model of the lattice potential for a Hg atom. Phys Solid State, 2010, 52(3): 574 doi: 10.1134/S1063783410030194
|
| [9] |
Sun L Z, Chen X, Sun Y L, et al. Relaxations and bonding mechanism in Hg1?xCdxTe with mercury vacancy defect: first-principles study. Phys Rev B, 2006, 73: 195206 doi: 10.1103/PhysRevB.73.195206
|
| [10] |
Han J L, Sun L Z, Qu X D, et al. Electronic properties of the Au impurity in Hg0.75Cd0.25Te: first-principles study. Physica B, 2009, 404: 131 doi: 10.1016/j.physb.2008.10.017
|
| [11] |
Ibragimova M I, Baryshev N S, Yu V. Effect of successive implantation of Ag+(Cu+) and Xe+ ions on the recombination properties of CdxHg1?xTe crystals. Semiconductors, 1997, 31(7): 666 doi: 10.1134/1.1187061
|
| [12] |
Kittel C. Introduction to solid state physics. New York: Wiley, 2004.
|
| [13] |
Pipard A B. Magnetoresistance in metals. New York: Cambridge University Press, 2009
|
| [14] |
Kireev P S. Physics of semiconductors. Moscow: Vysshaya shkola, 1975 (in Russian)
|
| [15] |
Popenko N, Bekirov B, Ivanchenko I, et al. Concentration anomalies of the magnetization of HgSe:Fe crystals. JETF Lett, 2014, 100(4): 247 doi: 10.1134/S0021364014160127
|
| [16] |
von Bardeleben H J, Jia Y Q, Manasreh M O, et al. Electron paramagnetic resonance study of the two-dimensional electron gas in Ga1?xAlxSb/InAs single quantum wells. Appl Phys Lett, 1993, 62(1): 90 doi: 10.1063/1.108782
|
| [17] |
Sboychakov O, Rakhmanov A L, Kugel K I, et al. Magnetic field effects in electron systems with imperfect nesting. Phys Rev B, 2017, 95(1): 014203 doi: 10.1103/PhysRevB.95.014203
|
Article views: 4614 Times PDF downloads: 69 Times Cited by: 0 Times
Received: 19 September 2017 Revised: 14 December 2017 Online: Accepted Manuscript: 01 February 2018Uncorrected proof: 03 April 2018Published: 01 May 2018
| Citation: |
A. V. Shestakov, I. I. Fazlizhanov, I. V. Yatsyk, I. F. Gilmutdinov, M. I. Ibragimova, V. A. Shustov, R. M. Eremina. The oscillations in ESR spectra of Hg0.76Cd0.24Te implanted by Ag+ at the X and Q-bands[J]. Journal of Semiconductors, 2018, 39(5): 052001. doi: 10.1088/1674-4926/39/5/052001
****
A. V. Shestakov, I. I. Fazlizhanov, I. V. Yatsyk, I. F. Gilmutdinov, M. I. Ibragimova, V. A. Shustov, R. M. Eremina. The oscillations in ESR spectra of Hg0.76Cd0.24Te implanted by Ag+ at the X and Q-bands[J]. J. Semicond., 2018, 39(5): 052001. doi: 10.1088/1674-4926/39/5/052001.
|
| [1] |
Veynger A I, Zabrodskii A G, Tisnek T V, et al. Distinctive features of the magnetoresistance of degenerately doped nInAs and their influence on magnetic-field-dependent microwave absorption. Semiconductors, 1998, 32(5): 497 doi: 10.1134/1.1187427
|
| [2] |
Winterfeld L, Agapito L A, Li J, et al. Strain-induced topological insulator phase transition in HgSe. Phys Rev B, 2013, 87(7): 075143 doi: 10.1103/PhysRevB.87.075143
|
| [3] |
Comedi D, Kalish R. Vibrations of constituent atoms in ZnxCd1?xTe and Hg1?xCdxTe (various x). J Cryst Growth, 1990, 101(1): 1022 doi: 10.1016/0022-0248(90)91126-B
|
| [4] |
Bratashevskii Y A, Nikolaenko Y M, Prozorovskii V D, et al. Model of two-electron conduction in Hg1?xCdxTe. Sov Phys Semicond, 1990, 24(2): 188
|
| [5] |
Field S B, Reich D H, Shivaram B S, et al. Evidence for depinning of a Wigner crystal in Hg–Cd–Te. Phys Rev B, 1986, 33(7): 5082 doi: 10.1103/PhysRevB.33.5082
|
| [6] |
Tsidilkovskii I M. Crystallization of a three-dimensional electron gas. Sov Phys Usp, 1987, 152(4): 583 doi: 10.3367/UFNr.0152.198708c.0583
|
| [7] |
Bogoboyashchiy V V. Effect of annealing on activation of native acceptors in narrow-gap p-HgCdTe crystals. Semiconductor Physics, Quantum Electronics And Optoelectronics, 1999, 2(1): 62
|
| [8] |
Kozyrev S P. Anomalous properties of optical lattice vibrations in HgTe: a double-well model of the lattice potential for a Hg atom. Phys Solid State, 2010, 52(3): 574 doi: 10.1134/S1063783410030194
|
| [9] |
Sun L Z, Chen X, Sun Y L, et al. Relaxations and bonding mechanism in Hg1?xCdxTe with mercury vacancy defect: first-principles study. Phys Rev B, 2006, 73: 195206 doi: 10.1103/PhysRevB.73.195206
|
| [10] |
Han J L, Sun L Z, Qu X D, et al. Electronic properties of the Au impurity in Hg0.75Cd0.25Te: first-principles study. Physica B, 2009, 404: 131 doi: 10.1016/j.physb.2008.10.017
|
| [11] |
Ibragimova M I, Baryshev N S, Yu V. Effect of successive implantation of Ag+(Cu+) and Xe+ ions on the recombination properties of CdxHg1?xTe crystals. Semiconductors, 1997, 31(7): 666 doi: 10.1134/1.1187061
|
| [12] |
Kittel C. Introduction to solid state physics. New York: Wiley, 2004.
|
| [13] |
Pipard A B. Magnetoresistance in metals. New York: Cambridge University Press, 2009
|
| [14] |
Kireev P S. Physics of semiconductors. Moscow: Vysshaya shkola, 1975 (in Russian)
|
| [15] |
Popenko N, Bekirov B, Ivanchenko I, et al. Concentration anomalies of the magnetization of HgSe:Fe crystals. JETF Lett, 2014, 100(4): 247 doi: 10.1134/S0021364014160127
|
| [16] |
von Bardeleben H J, Jia Y Q, Manasreh M O, et al. Electron paramagnetic resonance study of the two-dimensional electron gas in Ga1?xAlxSb/InAs single quantum wells. Appl Phys Lett, 1993, 62(1): 90 doi: 10.1063/1.108782
|
| [17] |
Sboychakov O, Rakhmanov A L, Kugel K I, et al. Magnetic field effects in electron systems with imperfect nesting. Phys Rev B, 2017, 95(1): 014203 doi: 10.1103/PhysRevB.95.014203
|
Journal of Semiconductors © 2017 All Rights Reserved 京ICP備05085259號-2