SEMICONDUCTOR DEVICES
Zengcheng Li1, 2, Bo Feng2, 3, Biao Deng2, 3, Legong Liu2, 3, Yingnan Huang2, Meixin Feng1, Yu Zhou1, Hanmin Zhao2, 3, Qian Sun1, 2, 3, , Huaibing Wang1, Xiaoli Yang4, and Hui Yang1
Corresponding author: Qian Sun, Email: qsun2011@sinano.ac.cn; Xiaoli Yang, yangxl@materials.net.cn
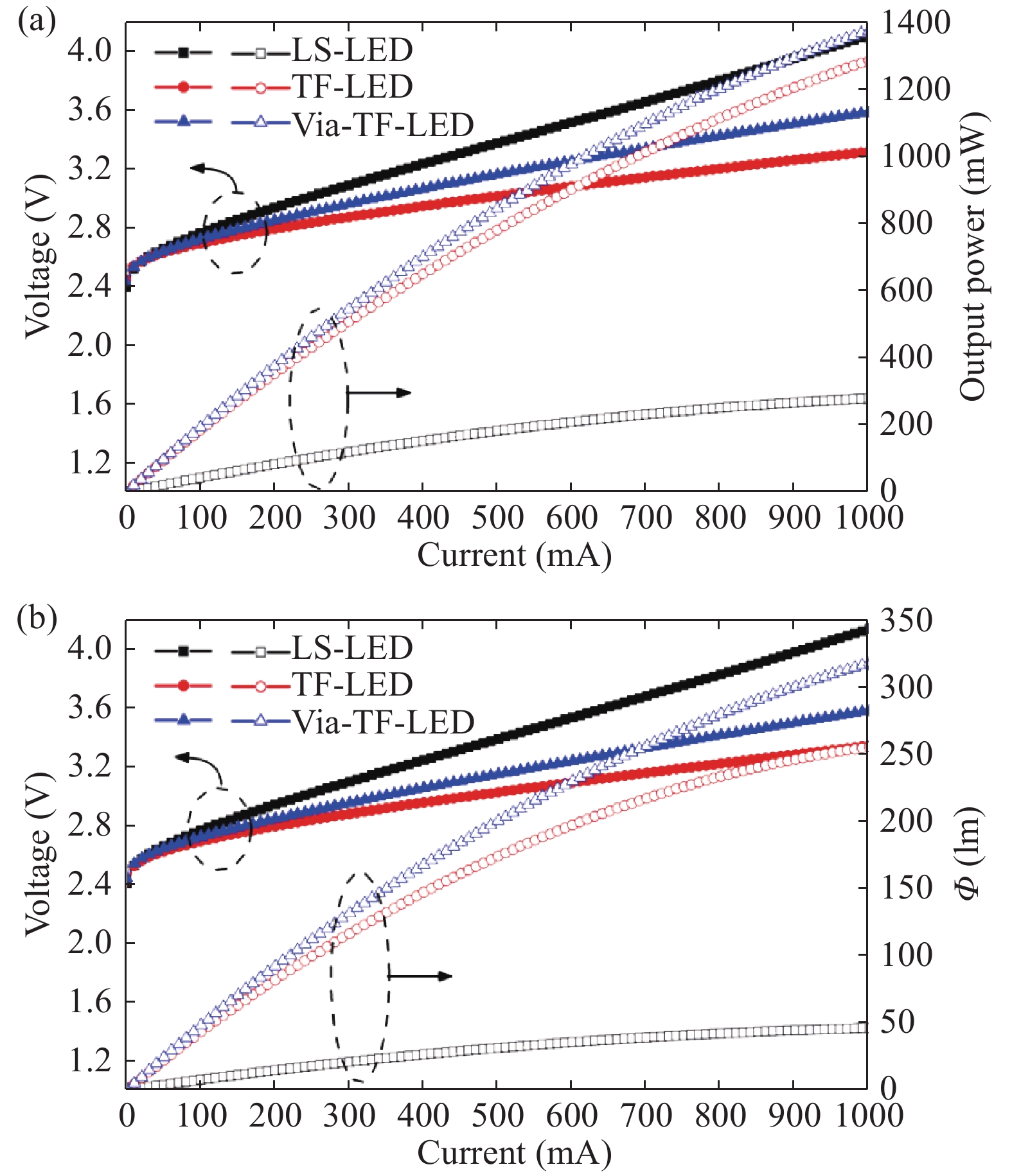
Abstract: This work reports the fabrication of via-thin-film light-emitting diode (via-TF-LED) to improve the light output power (LOP) of blue/white GaN-based LEDs grown on Si (111) substrates. The as-fabricated via-TF-LEDs were featured with a roughened n-GaN surface and the p-GaN surface bonded to a wafer carrier with a silver-based reflective electrode, together with an array of embedded n-type via pillar metal contact from the p-GaN surface etched through the multiple-quantum-wells (MQWs) into the n-GaN layer. When operated at 350 mA, the via-TF-LED gave an enhanced blue LOP by 7.8% and over 3.5 times as compared to the vertical thin-film LED (TF-LED) and the conventional lateral structure LED (LS-LED). After covering with yellow phosphor that converts some blue photons into yellow light, the via-TF-LED emitted an enhanced white luminous flux by 13.5% and over 5 times, as compared with the white TF-LED and the white LS-LED, respectively. The significant LOP improvement of the via-TF-LED was attributed to the elimination of light absorption by the Si (111) epitaxial substrate and the finger-like n-electrodes on the roughened emitting surface.
Key words: via thin film LED structure, GaN-on-Si, light-emitting diode, light extraction
| [1] |
Zhu D, McAleese C, McLaughlin K K, et al. GaN-based LEDs grown on 6-inch diameter Si (111) substrates by MOVPE. Proc SPIE, 2014, 7231(723118): 1 doi: 10.1117/12.814919
|
| [2] |
Zhu D, McAleese C, H?berlen M, et al. Efficiency measurement of GaN-based quantum well and light-emitting diode structures grown on silicon substrates. J Appl Phys, 2011, 109(1): 014502 doi: 10.1063/1.3530602
|
| [3] |
Zhu D, Wallis D J, Humphreys C J. Prospects of III-nitride optoelectronics grown on Si. Rep Prog Phys, 2013, 76(10): 106501 doi: 10.1088/0034-4885/76/10/106501
|
| [4] |
Dadgar A, Strittmatter A, Bl?sing J, et al. Metalorganic chemical vapor phase epitaxy of gallium-nitride on silicon. Phys Status Solidi C, 2003, 0(6): 1583 doi: 10.1002/(ISSN)1610-1642
|
| [5] |
Ishikawa H, Zhao G Y, Nakada N, et al. High-quality GaN on Si substrate using AlGaN/AlN intermediate layer. Phys Status Solid A, 1999, 176(1): 599 doi: 10.1002/(ISSN)1521-396X
|
| [6] |
Haeberlen M, Zhu D, McAleese C, et al. Dislocation reduction in MOVPE grown GaN layers on (111) Si using SiNx and AlGaN layers. J Phys: Conf Ser, 2010, 209(1): 012017
|
| [7] |
Sun Q, Yan W, Feng M X, et al. GaN-on-Si blue/white LEDs: epitaxy, chip, and package. J Semicond, 2016, 37(4): 044006 doi: 10.1088/1674-4926/37/4/044006
|
| [8] |
Sun Y, Zhou K, Sun Q, et al. Room-temperature continuous-wave electrically injected InGaN-based laser directly grown on Si. Nat Photon, 2016, 10(9): 595 doi: 10.1038/nphoton.2016.158
|
| [9] |
Leung B, Han J, Sun Q. Strain relaxation and dislocation reduction in AlGaN step-graded buffer for crack-free GaN on Si (111). Phys Status Solid C, 2014, 11(3/4): 437 doi: 10.1002/pssc.201300690
|
| [10] |
Able A, Wegscheider W, Engl K, et al. Growth of crack-free GaN on Si (111) with graded AlGaN buffer layers. J Cryst Growth, 2005, 276(3/4): 415 doi: 10.1016/j.jcrysgro.2004.12.003
|
| [11] |
Hikosaka T, Yoshida H, Sugiyama N, et al. Reduction of threading dislocation by recoating GaN island surface with SiN for high-efficiency GaN-on-Si-based LED. Phys Status Solid C, 2014, 11(3/4): 617 doi: 10.1002/pssc.201300441
|
| [12] |
Kimura S, Tajima J, Nago H, et al. Optical properties of InGaN/GaN MQW LEDs grown on Si (111) substrates with low threading dislocation densities. Proc SPIE, 2014, 8986 (89861H): 1 doi: 10.1117/12.2038714
|
| [13] |
Sun Q, Feng B, Zhao H M. Cost-effective solid state lighting based on GaN-on-Si technology. 10th China International Forum on Solid State Lighting (ChinaSSL), 2013: 174
|
| [14] |
Kim J K, Tak Y, Kim J, et al. Highly efficient InGaN/GaN blue LED on 8-inch Si (111) substrate. Proc SPIE, 2012, 8262(82621D): 1
|
| [15] |
Kim J Y, Tak Y, Kim J, et al. Highly efficient InGaN/GaN blue LEDs on large diameter Si (111) substrates comparable to those on sapphire. Proc SPIE, 2011, 8123(81230A): 1
|
| [16] |
Zhang L, Tan W S, Westwater W, et al. High brightness GaN-on-Si based blue LEDs grown on 150 mm Si substrates using thin buffer layer technology. IEEE J Electron Devices Soc, 2015, 3: 457 doi: 10.1109/JEDS.2015.2463738
|
| [17] |
ISchnitzer I, Yablonovitch E, Caneau C, et al. 30% external quantum efficiency from surface textured thin-film light-emitting diodes. Appl Phys Lett, 1993, 63(16): 2174 doi: 10.1063/1.110575
|
| [18] |
Windisch R, Rooman C, Meinlschmidt S, et al. Impact of texture-enhanced transmission on high-efficiency surface-textured light-emitting diodes. Appl Phys Lett, 2001, 79(15): 2315 doi: 10.1063/1.1397758
|
| [19] |
Lee T X, Gao K F, Chien W T, et al. Light extraction analysis of GaN-based light-emitting diodes with surface texture and/or patterned substrate. Opt Express, 2007, 15(11): 6670 doi: 10.1364/OE.15.006670
|
| [20] |
Pan S M, Tu R C, Fan Y M, et al. Improvement of InGaN/GaN light-emitting diodes with surface-textured indium-tin-oxide transparent ohmic contacts. IEEE Photonic Tech Lett, 2003, 15(5): 649 doi: 10.1109/LPT.2003.809985
|
| [21] |
Wierer J J, Steigerwald D A, M. High-power AlGaInN flip-chip light-emitting diodes. Appl Phys Lett, 2001, 78(22): 3379 doi: 10.1063/1.1374499
|
| [22] |
Shchekin O B, Epler J E, Trottier T A, et al. High performance thin-film flip-chip InGaN-GaN light-emitting diodes. Appl Phys Lett, 2006, 89(7): 071109 doi: 10.1063/1.2337007
|
| [23] |
Erchak A A, Ripin D J, Fan S, et al. Enhanced coupling to vertical radiation using a two-dimensional photonic crystal in a semiconductor light-emitting diode. Appl Phys Lett, 2001, 78(5): 563 doi: 10.1063/1.1342048
|
| [24] |
Wierer J J, David A and Megens M M. III-nitride photonic-crystal light-emitting diodes with high extraction efficiency. Nat Photon, 2009, 3(3): 163 doi: 10.1038/nphoton.2009.21
|
| [25] |
Gay P, Hirsch P B, Kelly A. The estimation of dislocation densities in matals from X-ray data. Acta Metall, 1953, 1: 315 doi: 10.1016/0001-6160(53)90106-0
|
| [1] |
Zhu D, McAleese C, McLaughlin K K, et al. GaN-based LEDs grown on 6-inch diameter Si (111) substrates by MOVPE. Proc SPIE, 2014, 7231(723118): 1 doi: 10.1117/12.814919
|
| [2] |
Zhu D, McAleese C, H?berlen M, et al. Efficiency measurement of GaN-based quantum well and light-emitting diode structures grown on silicon substrates. J Appl Phys, 2011, 109(1): 014502 doi: 10.1063/1.3530602
|
| [3] |
Zhu D, Wallis D J, Humphreys C J. Prospects of III-nitride optoelectronics grown on Si. Rep Prog Phys, 2013, 76(10): 106501 doi: 10.1088/0034-4885/76/10/106501
|
| [4] |
Dadgar A, Strittmatter A, Bl?sing J, et al. Metalorganic chemical vapor phase epitaxy of gallium-nitride on silicon. Phys Status Solidi C, 2003, 0(6): 1583 doi: 10.1002/(ISSN)1610-1642
|
| [5] |
Ishikawa H, Zhao G Y, Nakada N, et al. High-quality GaN on Si substrate using AlGaN/AlN intermediate layer. Phys Status Solid A, 1999, 176(1): 599 doi: 10.1002/(ISSN)1521-396X
|
| [6] |
Haeberlen M, Zhu D, McAleese C, et al. Dislocation reduction in MOVPE grown GaN layers on (111) Si using SiNx and AlGaN layers. J Phys: Conf Ser, 2010, 209(1): 012017
|
| [7] |
Sun Q, Yan W, Feng M X, et al. GaN-on-Si blue/white LEDs: epitaxy, chip, and package. J Semicond, 2016, 37(4): 044006 doi: 10.1088/1674-4926/37/4/044006
|
| [8] |
Sun Y, Zhou K, Sun Q, et al. Room-temperature continuous-wave electrically injected InGaN-based laser directly grown on Si. Nat Photon, 2016, 10(9): 595 doi: 10.1038/nphoton.2016.158
|
| [9] |
Leung B, Han J, Sun Q. Strain relaxation and dislocation reduction in AlGaN step-graded buffer for crack-free GaN on Si (111). Phys Status Solid C, 2014, 11(3/4): 437 doi: 10.1002/pssc.201300690
|
| [10] |
Able A, Wegscheider W, Engl K, et al. Growth of crack-free GaN on Si (111) with graded AlGaN buffer layers. J Cryst Growth, 2005, 276(3/4): 415 doi: 10.1016/j.jcrysgro.2004.12.003
|
| [11] |
Hikosaka T, Yoshida H, Sugiyama N, et al. Reduction of threading dislocation by recoating GaN island surface with SiN for high-efficiency GaN-on-Si-based LED. Phys Status Solid C, 2014, 11(3/4): 617 doi: 10.1002/pssc.201300441
|
| [12] |
Kimura S, Tajima J, Nago H, et al. Optical properties of InGaN/GaN MQW LEDs grown on Si (111) substrates with low threading dislocation densities. Proc SPIE, 2014, 8986 (89861H): 1 doi: 10.1117/12.2038714
|
| [13] |
Sun Q, Feng B, Zhao H M. Cost-effective solid state lighting based on GaN-on-Si technology. 10th China International Forum on Solid State Lighting (ChinaSSL), 2013: 174
|
| [14] |
Kim J K, Tak Y, Kim J, et al. Highly efficient InGaN/GaN blue LED on 8-inch Si (111) substrate. Proc SPIE, 2012, 8262(82621D): 1
|
| [15] |
Kim J Y, Tak Y, Kim J, et al. Highly efficient InGaN/GaN blue LEDs on large diameter Si (111) substrates comparable to those on sapphire. Proc SPIE, 2011, 8123(81230A): 1
|
| [16] |
Zhang L, Tan W S, Westwater W, et al. High brightness GaN-on-Si based blue LEDs grown on 150 mm Si substrates using thin buffer layer technology. IEEE J Electron Devices Soc, 2015, 3: 457 doi: 10.1109/JEDS.2015.2463738
|
| [17] |
ISchnitzer I, Yablonovitch E, Caneau C, et al. 30% external quantum efficiency from surface textured thin-film light-emitting diodes. Appl Phys Lett, 1993, 63(16): 2174 doi: 10.1063/1.110575
|
| [18] |
Windisch R, Rooman C, Meinlschmidt S, et al. Impact of texture-enhanced transmission on high-efficiency surface-textured light-emitting diodes. Appl Phys Lett, 2001, 79(15): 2315 doi: 10.1063/1.1397758
|
| [19] |
Lee T X, Gao K F, Chien W T, et al. Light extraction analysis of GaN-based light-emitting diodes with surface texture and/or patterned substrate. Opt Express, 2007, 15(11): 6670 doi: 10.1364/OE.15.006670
|
| [20] |
Pan S M, Tu R C, Fan Y M, et al. Improvement of InGaN/GaN light-emitting diodes with surface-textured indium-tin-oxide transparent ohmic contacts. IEEE Photonic Tech Lett, 2003, 15(5): 649 doi: 10.1109/LPT.2003.809985
|
| [21] |
Wierer J J, Steigerwald D A, M. High-power AlGaInN flip-chip light-emitting diodes. Appl Phys Lett, 2001, 78(22): 3379 doi: 10.1063/1.1374499
|
| [22] |
Shchekin O B, Epler J E, Trottier T A, et al. High performance thin-film flip-chip InGaN-GaN light-emitting diodes. Appl Phys Lett, 2006, 89(7): 071109 doi: 10.1063/1.2337007
|
| [23] |
Erchak A A, Ripin D J, Fan S, et al. Enhanced coupling to vertical radiation using a two-dimensional photonic crystal in a semiconductor light-emitting diode. Appl Phys Lett, 2001, 78(5): 563 doi: 10.1063/1.1342048
|
| [24] |
Wierer J J, David A and Megens M M. III-nitride photonic-crystal light-emitting diodes with high extraction efficiency. Nat Photon, 2009, 3(3): 163 doi: 10.1038/nphoton.2009.21
|
| [25] |
Gay P, Hirsch P B, Kelly A. The estimation of dislocation densities in matals from X-ray data. Acta Metall, 1953, 1: 315 doi: 10.1016/0001-6160(53)90106-0
|
Article views: 5086 Times PDF downloads: 92 Times Cited by: 0 Times
Received: 18 June 2017 Revised: 07 November 2017 Online: Uncorrected proof: 24 January 2018Accepted Manuscript: 01 March 2018Published: 01 April 2018
| Citation: |
Zengcheng Li, Bo Feng, Biao Deng, Legong Liu, Yingnan Huang, Meixin Feng, Yu Zhou, Hanmin Zhao, Qian Sun, Huaibing Wang, Xiaoli Yang, Hui Yang. Light output improvement of GaN-based light-emitting diodes grown on Si (111) by a via-thin-film structure[J]. Journal of Semiconductors, 2018, 39(4): 044002. doi: 10.1088/1674-4926/39/4/044002
****
Z C Li, B Feng, B Deng, L G Liu, Y N Huang, M X Feng, Y Zhou, H M Zhao, Q Sun, H B Wang, X L Yang, H Yang. Light output improvement of GaN-based light-emitting diodes grown on Si (111) by a via-thin-film structure[J]. J. Semicond., 2018, 39(4): 044002. doi: 10.1088/1674-4926/39/4/044002.
|
Project supported by the National Key R&D Program (Nos. 2016YFB0400100, 2016YFB0400104), the National Natural Science Foundation of China (Nos. 61534007, 61404156, 61522407, 61604168, 61775230), the Key Frontier Scientific Research Program of the Chinese Academy of Sciences (No. QYZDB-SSW-JSC014), the Science and Technology Service Network Initiative of the Chinese Academy of Sciences, the Key R&D Program of Jiangsu Province (No. BE2017079), the Natural Science Foundation of Jiangsu Province (No. BK20160401), and the China Postdoctoral Science Foundation (No. 2016M591944). This work was also supported by the Open Fund of the State Key Laboratory of Luminescence and Applications (No. SKLA-2016-01), the Open Fund of the State Key Laboratory on Integrated Optoelectronics (Nos. IOSKL2016KF04, IOSKL2016KF07), and the Seed Fund from SINANO, CAS (No. Y5AAQ51001).
| [1] |
Zhu D, McAleese C, McLaughlin K K, et al. GaN-based LEDs grown on 6-inch diameter Si (111) substrates by MOVPE. Proc SPIE, 2014, 7231(723118): 1 doi: 10.1117/12.814919
|
| [2] |
Zhu D, McAleese C, H?berlen M, et al. Efficiency measurement of GaN-based quantum well and light-emitting diode structures grown on silicon substrates. J Appl Phys, 2011, 109(1): 014502 doi: 10.1063/1.3530602
|
| [3] |
Zhu D, Wallis D J, Humphreys C J. Prospects of III-nitride optoelectronics grown on Si. Rep Prog Phys, 2013, 76(10): 106501 doi: 10.1088/0034-4885/76/10/106501
|
| [4] |
Dadgar A, Strittmatter A, Bl?sing J, et al. Metalorganic chemical vapor phase epitaxy of gallium-nitride on silicon. Phys Status Solidi C, 2003, 0(6): 1583 doi: 10.1002/(ISSN)1610-1642
|
| [5] |
Ishikawa H, Zhao G Y, Nakada N, et al. High-quality GaN on Si substrate using AlGaN/AlN intermediate layer. Phys Status Solid A, 1999, 176(1): 599 doi: 10.1002/(ISSN)1521-396X
|
| [6] |
Haeberlen M, Zhu D, McAleese C, et al. Dislocation reduction in MOVPE grown GaN layers on (111) Si using SiNx and AlGaN layers. J Phys: Conf Ser, 2010, 209(1): 012017
|
| [7] |
Sun Q, Yan W, Feng M X, et al. GaN-on-Si blue/white LEDs: epitaxy, chip, and package. J Semicond, 2016, 37(4): 044006 doi: 10.1088/1674-4926/37/4/044006
|
| [8] |
Sun Y, Zhou K, Sun Q, et al. Room-temperature continuous-wave electrically injected InGaN-based laser directly grown on Si. Nat Photon, 2016, 10(9): 595 doi: 10.1038/nphoton.2016.158
|
| [9] |
Leung B, Han J, Sun Q. Strain relaxation and dislocation reduction in AlGaN step-graded buffer for crack-free GaN on Si (111). Phys Status Solid C, 2014, 11(3/4): 437 doi: 10.1002/pssc.201300690
|
| [10] |
Able A, Wegscheider W, Engl K, et al. Growth of crack-free GaN on Si (111) with graded AlGaN buffer layers. J Cryst Growth, 2005, 276(3/4): 415 doi: 10.1016/j.jcrysgro.2004.12.003
|
| [11] |
Hikosaka T, Yoshida H, Sugiyama N, et al. Reduction of threading dislocation by recoating GaN island surface with SiN for high-efficiency GaN-on-Si-based LED. Phys Status Solid C, 2014, 11(3/4): 617 doi: 10.1002/pssc.201300441
|
| [12] |
Kimura S, Tajima J, Nago H, et al. Optical properties of InGaN/GaN MQW LEDs grown on Si (111) substrates with low threading dislocation densities. Proc SPIE, 2014, 8986 (89861H): 1 doi: 10.1117/12.2038714
|
| [13] |
Sun Q, Feng B, Zhao H M. Cost-effective solid state lighting based on GaN-on-Si technology. 10th China International Forum on Solid State Lighting (ChinaSSL), 2013: 174
|
| [14] |
Kim J K, Tak Y, Kim J, et al. Highly efficient InGaN/GaN blue LED on 8-inch Si (111) substrate. Proc SPIE, 2012, 8262(82621D): 1
|
| [15] |
Kim J Y, Tak Y, Kim J, et al. Highly efficient InGaN/GaN blue LEDs on large diameter Si (111) substrates comparable to those on sapphire. Proc SPIE, 2011, 8123(81230A): 1
|
| [16] |
Zhang L, Tan W S, Westwater W, et al. High brightness GaN-on-Si based blue LEDs grown on 150 mm Si substrates using thin buffer layer technology. IEEE J Electron Devices Soc, 2015, 3: 457 doi: 10.1109/JEDS.2015.2463738
|
| [17] |
ISchnitzer I, Yablonovitch E, Caneau C, et al. 30% external quantum efficiency from surface textured thin-film light-emitting diodes. Appl Phys Lett, 1993, 63(16): 2174 doi: 10.1063/1.110575
|
| [18] |
Windisch R, Rooman C, Meinlschmidt S, et al. Impact of texture-enhanced transmission on high-efficiency surface-textured light-emitting diodes. Appl Phys Lett, 2001, 79(15): 2315 doi: 10.1063/1.1397758
|
| [19] |
Lee T X, Gao K F, Chien W T, et al. Light extraction analysis of GaN-based light-emitting diodes with surface texture and/or patterned substrate. Opt Express, 2007, 15(11): 6670 doi: 10.1364/OE.15.006670
|
| [20] |
Pan S M, Tu R C, Fan Y M, et al. Improvement of InGaN/GaN light-emitting diodes with surface-textured indium-tin-oxide transparent ohmic contacts. IEEE Photonic Tech Lett, 2003, 15(5): 649 doi: 10.1109/LPT.2003.809985
|
| [21] |
Wierer J J, Steigerwald D A, M. High-power AlGaInN flip-chip light-emitting diodes. Appl Phys Lett, 2001, 78(22): 3379 doi: 10.1063/1.1374499
|
| [22] |
Shchekin O B, Epler J E, Trottier T A, et al. High performance thin-film flip-chip InGaN-GaN light-emitting diodes. Appl Phys Lett, 2006, 89(7): 071109 doi: 10.1063/1.2337007
|
| [23] |
Erchak A A, Ripin D J, Fan S, et al. Enhanced coupling to vertical radiation using a two-dimensional photonic crystal in a semiconductor light-emitting diode. Appl Phys Lett, 2001, 78(5): 563 doi: 10.1063/1.1342048
|
| [24] |
Wierer J J, David A and Megens M M. III-nitride photonic-crystal light-emitting diodes with high extraction efficiency. Nat Photon, 2009, 3(3): 163 doi: 10.1038/nphoton.2009.21
|
| [25] |
Gay P, Hirsch P B, Kelly A. The estimation of dislocation densities in matals from X-ray data. Acta Metall, 1953, 1: 315 doi: 10.1016/0001-6160(53)90106-0
|
Journal of Semiconductors © 2017 All Rights Reserved 京ICP備05085259號-2